- PVSM.RU - https://www.pvsm.ru -

Добрый день, уважаемые читатели. В данной статье я постараюсь рассмотреть основные принципы IP-телефонии, описать наиболее часто используемые протоколы, указать способы кодирования и декодирования голоса, разобрать некоторые характерные проблемы.
Под IP-телефонией подразумевается голосовая связь, которая осуществляется по сетям передачи данных, в частности по IP-сетям (IP — Internet Protocol). На сегодняшний день IP-телефония все больше вытесняет традиционные телефонные сети за счет легкости развертывания, низкой стоимости звонка, простоты конфигурирования, высокого качества связи и сравнительной безопасности соединения. В данном изложении будем придерживаться принципов эталонной модели OSI (Open Systems Interconnection basic reference model) и рассказывать о предмете “снизу-вверх”, начиная с физического и канального уровней и заканчивая уровнями данных.
"
Модель OSI и инкапсуляция данных
При осуществлении звонка голосовой сигнал преобразуется в сжатый пакет данных (подробнее этот процесс будет рассмотрен в главах “Импульсно кодовая модуляция” и “Кодеки”). Далее происходит пересылка данных пакетов поверх сетей с коммутацией пакетов, в частности, IP сетей. При достижении пакетами получателя, они декодируются в оригинальные голосовые сигналы. Эти процессы возможны благодаря большому количеству вспомогательных протоколов, часть из которых будет рассмотрена далее.
В данном контексте, протокол передачи данных — некий язык, позволяющий двум абонентам понять друг друга и обеспечить качественную пересылку данных между двумя пунктами.
В традиционной телефонии установка соединения происходит при помощи телефонной станции и преследует исключительно цель разговора. Здесь голосовые сигналы передаются по телефонным линиям, через выделенное подключение. В случае же IP-телефонии, сжатые пакеты данных поступают в глобальную или локальную сеть с определенным адресом и передаются на основе данного адреса. При этом используется уже IP-адресация, со всеми присущими ей особенностями (такими как маршрутизация).
При этом IP-телефония оказывается более дешевым решением как для оператора, так и для абонента. Происходит это благодаря тому, что:
Вместе с вышеперечисленным, IP-телефония позволяет улучшить качество связи. Достигается это, опять же, благодаря трем основным факторам:
Благодаря IP-телефонии очень элегантно решается проблема занятой линии, так как переадресация, либо перевод в режим ожидания могут быть осуществлены несколькими командами в конфигурационном файле на АТС.
На физическом уровне осуществляется передача потока битов по физической среде через соответствующий интерфейс. IP-телефония практически полностью опирается на уже существующую инфраструктуру сетей. В качестве среды передачи информации используются, как правило витая пара категории 5 (UTP5), одномодовое или многомодовое оптическое волокно, либо коаксиальный кабель. Тем самым в полной мере реализуется принцип конвергенции телекоммуникационных сетей.
Интересно рассмотреть технологию PoE (Power Over Ethernet) — стандарты IEEE 802.3 af-2003 и IEEE 802.3at-2009. Ее суть заключается в возможности обеспечения питанием устройств посредством стандартной витой пары. Большинство современных IP-телефонов, в частности, модельный ряд Cisco Unified IP Phones 7900 Series, поставляются с поддержкой PoE. Согласно стандарту 2009 года, устройства могут получать ток мощностью до 25,5 Ватт.
При подаче питания используются лишь две витых пары кабеля 100BASE-TX, однако некоторые производители задействуют все четыре, достигая мощности до 51 Ватт. Необходимо заметить, что технология не требует модификации уже существующих кабельных систем, в том числе и кабелей Cat 5.
Для определения того, является ли подключаемое устройство питаемым (PD — powered device) на кабель подается напряжение 2,8 — 10 В. Тем самым вычисляется сопротивление подключаемого устройства. Если данное сопротивление находится в диапазоне 19 — 26,5 кОм, то процесс переходит на следующий этап. Если же нет — проверка повторяется с интервалом ≥2 мс.
Далее происходит поиск диапазона мощностей питаемого устройства путем подачи более высокого напряжения и измерения тока в линии. Вслед за этим на линию подается 48 В — питающее напряжение. Также осуществляется постоянный контроль перегрузок.
Согласно спецификации IEEE 802 канальный уровень разделяется на два подуровня:
На канальном уровне работают коммутаторы — устройства, обеспечивающие соединение нескольких узлов компьютерной сети и распределение фреймов между хостами на основе физической (MAC) адресации.
Необходимо упомянуть механизм виртуальных локальных сетей (Virtual Local Area Network). Данная технология позволяет создавать логическую топологию сети без оглядки на ее физические свойства. Достигается это тегированием трафика, что подробно описано в стандарте IEEE 802.1Q.

Формат фрейма
В контексте IP-телефонии отметим Voice VLAN, широко применяющуюся для изоляции голосового трафика, генерируемого IP-телефонами, от других данных. Ее использование целесообразно по двум причинам:
На сетевом уровне происходит маршрутизация, соответственно основными устройствами сетевого уровня являются маршрутизаторы (Router). Именно здесь определяется, каким путем данные достигнут получателя с определенным IP-адресом.
Основной маршрутизируемый протокол — IP (Internet Protocol), на основе которого и построена IP-телефония, а также всемирная сеть Интернет. Также существует множество динамических протоколов маршрутизации, самый популярный среди которых OSPF (Open Shortest Path First) — внутренний протокол, основанный на текущем состоянии каналов связи;
На сегодняшний момент существуют специальные VoIP-шлюзы (Voice Over IP Gateway), обеспечивающие подключение обычных аналоговых телефонов к IP-сети. Как правило, они имеют и встроенный маршрутизатор, позволяющий вести учет трафика, авторизовать пользователей, автоматически раздавать IP-адреса, управлять полосой пропускания.
Среди стандартных функций VoIP-шлюзов:
Для борьбы с возможными задержками передачи IP необходимо дополнять дополнительными средствами, например протоколами установления очередности (чтобы голосовые данные не конкурировали с обычными).
Как правило, в этих целях на маршрутизаторах используется очередность с малой задержкой (LLQ — Low-Latency queuing), либо взвешенная организация очередей на основе классов (CBWFQ — Class-Based Weighted Fair Queuing).
Кроме того, необходимы схемы маркировки с заданием приоритетов для рассмотрения голосовых данных, как наиболее важных для передачи.
Для транспортного уровня характерны:
Основные протоколы транспортного уровня — TCP (Transmission Control Protocol), UDP (User Datagram Protocol), RTP (Real-time Transport Protocol). Непосредственно в IP-телефонии используются протоколы UDP и RTP, причем основное их отличие от TCP заключается в том, что они не обеспечивают надежность доставки данных. Это является более приемлемым вариантом, нежели осуществление контроля за доставкой (TCP), так как телефонная связь чрезвычайно зависима от задержек передачи, но менее чувствительна к потерям пакетов.
UDP
UDP базируется на сетевом протоколе IP и предоставляет транспортные услуги прикладным процессам. Его главное отличие от TCP — обеспечение негарантированной доставки, то есть при отправке и получении данных никаких подтверждений не запрашивается. Также при отправке информации не обязательно установление логического соединения между модулями UDP (источник и приемник).
RTP
Несмотря на то, что RTP принято считать протоколом транспортного уровня, как правило он работает поверх UDP. С помощью RTP реализуется распознавание типа трафика, работа с метками времени, контроль передачи и нумерация последовательности пакетов.
Основное назначение RTP состоит в том, что он присваивает каждому исходящему пакету временные метки, обрабатывающиеся на приемной стороне. Это позволяет принимать данные в надлежащем порядке, снижает влияние неравномерности времени прохождения пакетов по сети, восстанавливает синхронизацию между аудио и видео данными.
Три последних уровня модели OSI рассмотрим совместно. Такое объединение допустимо, так как процессы, происходящие на данных уровнях тесно связаны между собой, и описывать их безотносительно разделения на подуровни будет логичнее.
H.323
Первым делом необходимо описать стек протоколов H.323, разработанный в 1996 году. Данный стандарт содержит описание оборудования, сетевых служб и терминальных устройств, предназначенных для осуществления аудио- и видеосвязи в сетях с коммутацией пакетов (Интернет). Для любого устройства стандарта H.323 обязательна поддержка обмена голосовой информацией.
Рекомендации H.323 предполагают:
Отметим очень важный факт: в рекомендациях не определены физическая среда передачи, транспортный протокол и сетевой интерфейс. Это значит, что устройства, поддерживающие стандарт H.323 могут работать в любых существующих сегодня сетях с коммутацией пакетов.
Согласно H.323 четырьмя основными компонентами VoIP-соединения являются:

Пример структурной схемы сети в IP-телефонии
1. Управление соединением и сигнализация:
1.а. H.225.0: протоколы сигнализации и пакетирования мультимедийного потока (использует подмножество протокола сигнализации Q.931).
1.б. H.225.0/RAS: процедуры регистрации, допуска и состояния.
1.в. H.245: протокол управления для мультимедиа.
2. Обработка звуковых сигналов:
2.а. G.711: импульсно-кодовая модуляция тональных частот.
2.б. G.722: кодирование звукового сигнала 7 кГц в 64 кбит/с.
2.в. G.723.1: речевые кодеры на две скорости передачи для организации мультимедийной связи со скоростью передачи 5.3 и 6.3 кбит/с.
2.г. G.728: кодирование речевых сигналов 16 кбит/с с помощью линейного предсказания с кодированием сигнала возбуждения с малой задержкой.
2.д. G.729: кодирование речевых сигналов 8 кбит/с с помощью линейного предсказания с алгебраическим кодированием сигнала возбуждения сопряженной структуры.
3. Обработка видеосигналов:
3.а. H.261: видеокодеки для аудиовизуальных услуг со скоростью 64 кбит/с.
3.б. H.263: кодирование видеосигнала для передачи с малой скоростью.
4. Конференц-связь для передачи данных:
4.а. T.120: стек протоколов (включает T.123, T.124, T.125) для передачи данных между оконечными пунктами.
5. Мультимедийная передача:
5.а. RTP: транспортный протокол реального времени.
5.б. RTCP: протокол управления передачей в реальном времени.
6. Обеспечение безопасности:
6.а. H.235: обеспечение безопасности и шифрование для мультимедийных терминалов сети H.323.
7. Дополнительные услуги:
7.а. H.450.1: обобщенные функции для управления дополнительными услугами в H.323.
7.б. H.450.2: перевод соединения на телефонный номер третьего абонента.
7.в. H.450.3: переадресация вызова.
7.г. H.450.4: удержание вызова.
7.д. H.450.5: парковка вызова ( park ) и ответ на вызов ( pick up ).
7.е. H.450.6: уведомление о поступившем вызове в состоянии разговора.
7.ж. H.450.7: индикация ожидающего сообщения.
7.з. H.450.8: служба идентификации имен.
7.и. H.450.9: служба завершения соединения для сетей H.323.
Сценарий установки соединения на основе протокола H.323
SIP — протокол сигнализации, предназначенный для организации, изменения и завершения сеансов связи. SIP независим от транспортных технологий, однако при установлении соединения предпочтительно использовать UDP. Для передачи самой голосовой и видеоинформации рекомендовано применять RTP, но возможность использования других протоколов не исключена.
В SIP определены два типа сигнальных сообщений — запрос и ответ. Также существует шесть процедур:

Сценарий сеанса связи SIP
Аудиокодеком называют программу или алгоритм, который сжимает, либо разжимает цифровые звуковые данные, позволяя снизить требования к пропускной способности канала передачи данных. В IP-телефонии на сегодняшний день наиболее распространено преобразование посредством кодека G.729, а также сжатие G.711 по А-закону (alaw) и μ-закону (ulaw).
G.729 является кодеком, который сжимает исходный сигнал с потерей данных. Основная идея, заложенная в G.729 — передача не самого оцифрованного сигнала, а его параметров (спектральной характеристики, количества переходов через ноль), достаточных для последующего синтезирования на принимающей стороне. При этом все основные характеристики голоса, такие как амплитуда и тембр сохраняются.
Пропускная способность канала, на которую рассчитан данный кодек — 8 кбит/с. Длина кадра обрабатываемого G.729 — 10 мс, частота дискретизации — 8 кГц. Для каждого из таких кадров определяются параметры математической модели, которые в дальнейшем и передаются в канал в виде кодов.
При использовании кодирования G.729 задержка составляет 15 мс, из которых 5 мс тратится на заполнение предварительного буфера. Отметим также, что кодек G.729 предъявляет достаточно высокие требования к ресурсам процессора.
G.711 — голосовой кодек, который не предполагает никакого сжатия, помимо компандирования — метода уменьшения эффектов каналов с ограниченным динамическим диапазоном. В основе данного метода лежит принцип уменьшения количества уровней квантования сигнала в области высокой громкости, сохраняя при этом качество звука. Две широко использующиеся в телефонии схемы компандирования — alaw и ulaw.
Сигнал в данном кодеке предоставлен потоком величиной 64 кбит/с. Частота дискретизации — 8000 кадров по 8 бит в секунду. Качество голоса субъективно лучше, нежели при применении кодека G.729.
alaw или А-закон — алгоритм сжатия звуковых данных с потерей информации. В основном используется на территории Европы и России.
Для сигнала x преобразование по алгоритму alaw выглядит следующим образом:

Где А — параметр сжатия (обычно принимается равным 87,7).
ulaw или μ-закон — алгоритм сжатия звуковых данных с потерей информации. В основном используется на территории Японии и Северной Америки.
Для сигнала x преобразование по алгоритму ulaw выглядит следующим образом:

где μ принимается равным 255 (8 бит) в стандартах Северной Америки и Японии.
Импульсно кодовая модуляция — передача непрерывной функции в виде серии последовательных импульсов.
Для получения на входе канала связи модулированного сигнала, мгновенное значение несущего сигнала измеряется АЦП с определенным периодом. При этом количество оцифрованных значений в секунду (иначе, частота дискретизации) должно быть большим или равным двукратной максимальной частоте в спектре аналогового сигнала.
Далее полученные значения округляются до одного из заранее принятых уровней. Заметим, что количество уровней необходимо принимать кратным степени двойки. В зависимости от того, сколько было определено уровней, сигнал кодируется определенным количеством бит.

Квантование сигнала
На данном рисунке представлено кодирование с помощью четырех битов (то есть все промежуточные значения аналогового сигнала будут округляться до одного из заранее заданных 16 уровней). Для примера, при времени равном нулю сигнал будет представлен подобным образом: 01112.
При демодуляции последовательность нулей и единиц преобразуется в импульсы демодулятором, уровень квантования которого равен уровню квантования модулятора. После этого ЦАП на основе данных импульсов восстанавливает сигнал, а сглаживающий фильтр окончательно убирает неточности.
В современной телефонии число уровней квантования должно быть большим или равным 100, то есть минимальное количество бит, которым может кодироваться сигнал — 7.
В сетях на основе стека TCP/IP высокое качество обслуживания трафика, чувствительного к задержкам передачи не обеспечивается по умолчанию. При использовании протокола TCP имеется гарантия достоверной доставки информации, но ее перенос может осуществляться с непредсказуемыми задержками. Для UDP характерна минимизация задержек, но гарантия верной доставки пакета отсутствует.
В то же время добротность речевого трафика сильно зависит от качества передачи, и в сети, где не реализованы механизмы, гарантирующие соответственное качество, реализация IP-телефонии может быть не удовлетворяющей требованиям пользователей.
Основными показателями качества обслуживания являются пропускная способность сети и задержка передачи. Задержка при этом определяется как промежуток времени, прошедший с момента отправки пакета, до момента его приема.
Также существуют такие характеристики, как готовность сети и ее надежность (оцениваются по результатам контроля уровня обслуживания в течение длительного времени, либо по коэффициенту использования).
Для улучшения качества связи используются следующие механизмы:
Как было сказано ранее, голосовой трафик чрезвычайно чувствителен к задержкам передачи. Максимальное время задержки не должно превышать 400 мс (сюда включается и продолжительность обработки информации на конечных станциях). Различают два основных типа задержек:
— Задержка при кодировании информации в голосовых шлюзах или терминальном оборудовании. Уменьшается путем улучшения алгоритмов обработки и преобразования голоса.
— Задержка, вносимая сетью передачи. Уменьшается путем улучшения сетевой инфраструктуры, в частности, сокращением количества маршрутизаторов и использованием высокоскоростных каналов.

Источники задержки в IP-телефонии
Еще одно явление, характерное для IP-телефонии — джиттер. Суть его состоит в том, что отправленные пакеты по ряду причин могут прибыть к получателю в неверном порядке. Вследствие этого возможны специфические нарушения качества передачи, такие как треск и щелчки.
Обуславливается джиттер тремя факторами:
Наиболее часто применяющийся метод борьбы с джиттером — джиттер-буфер, хранящий определенное количество пакетов и восстанавливающий их очередность на основе временных меток пакетов.
Обычно предусматривается динамическая подстройка длины буфера в течение всего времени существования соединения. Для выбора наилучшей длины используются эвристические алгоритмы.
Для компенсации неравномерной скорости поступления пакетов на приемной стороне создают временное хранилище пакетов, или так называемый джиттер буфер. Его задача, собрать поступающие пакеты в правильном порядке в соответствии с временными метками и выдать их кодеку с правильными интервалами и правильном порядке.

Джиттер буфер
Размер буфера приемное VOIP устройство рассчитывает в процессе работы, либо принудительно задается в настройках. С одной стороны он не может быть слишком большим, чтобы не увеличивать транспортную задержку. С другой стороны, маленький размер буфера вызывает потери пакетов при изменениях времени задержки в IP сети.
Отсюда и происходит одно из главных противоречий, между интернет провайдерами и пользователями IP телефонии. С точки зрения провайдера все пакеты доставлены абоненту, то есть, потерь нет. А с точки зрения VoIP устройства, разница во времени между приходом пакетов значительно превышает джиттер буфер. Поэтому фактически потери есть. На практике потеря более 1% вызывает определенные неприятные ощущения. При 2% разговор оказывается затруднен. При значениях больше 4% разговор уже практически невозможен.
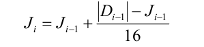
Случайная задержка распространения Ji для i-го пакета может определяться по формуле:

где:
Di – отклонение от ожидаемого времени прибытия i-го пакета.
Отклонение от ожидаемого времени прибытия i-го пакета Di определяется по формуле:
где:
R – время прибытия пакета в метках времени RTP,
S – временная метка RTP, взятая из пакета.
Приведем пример расчета ожидаемого размера случайной задержки распространения 5-го пакета, на основе двух предыдущих.
Пусть J4=10 мс; R4=10, R3=11, S4=6, S3=5, тогда D5 будет равно (10-11)-(6-5)=-2.

В среднем, случайная задержка времени распространения для одного пакета в текущем примере составит 10 мс (точнее можно посчитать по формуле, приведенной выше). Тогда для того, чтобы ни один пакет не был отброшен, размер джиттер буфера должен быть равным 10 мс.
Для определения требуемого размера джиттер буфера в мегабайтах, домножим полученное значение на 100 мбит/сек – среднюю пропускную способность сети: 10•10-3•100 = 128 кб.
Размер джиттер-буфера должен быть больше, чем флуктуация транзитного времени в сети. Например, если для 10 пакетов время транзита колеблется от 5 до 10 мс, то буфер должен быть хотя бы 8 мс, чтобы ни один пакет не был потерян. Лучше, если буфер еще больше, например 12 мс, тогда сможет работать механизм перезапроса потерянных пакетов.

Asterisk — программная АТС, способная коммутировать как VoIP вызовы, так и вызовы, осуществляемые между IP-телефонами и традиционной телефонной сетью общего пользования.
Поддерживаемые протоколы: IAX, SIP, H.323, Skinny, UNIStim.
Поддерживаемые кодеки: G.711 (ulaw и alaw), G.722, G.723, G.729, GSM, iLBC, LPC-10, Speex.
Asterisk — динамично развивающееся открытое программное обеспечение, которое может быть установлено без оглядки на лицензирование. Это делает данную программную АТС привлекательной для малого и среднего бизнеса. Количество абонентов в сети может достигать 2000 и ограничено только мощностью сервера.
Еще одно достоинство Asterisk — возможность гибкой настройки. Весь необходимый функционал либо уже реализован, либо может быть дописан самостоятельно без существенных временных и денежных затрат. Этому способствует принцип: одна задача — один программный модуль.
В сравнении с решениями от таких вендоров, как Cisco или Avaya, Asterisk привлекателен еще и стоимостью развертывания. Фактически все затраты сводятся только к покупке телефонных аппаратов и сервера, способного обеспечить требуемую нагрузку на сеть. Сама программа абсолютно бесплатна.

CallManager предназначен скорее для крупных сетей, включающих до 30000 абонентов. Данный программно-аппаратный комплекс обеспечивает надежность работы и позволяет конфигурировать множество параметров, таких как переадресация звонков или голосовое меню. Существует и “облегченная” express версия, предназначенная скорее для небольших офисов.
Из преимуществ Cisco CallManager следует отметить в первую очередь знаменитую техническую поддержку корпорации Cisco. При соответствующем уровне контракта на обслуживание, любая проблема, начиная с вопросов по настройке и заканчивая вышедшим из строя оборудованием, будет решена практически мгновенно. Поэтому Cisco CallManager подойдет компаниям, готовым платить немалые деньги, но и получать при этом высочайшее качество обслуживания.

Система IP Office может стать неплохим выбором для среднего размера телефонной сети. Количество абонентов здесь ограничено не только мощностью сервера, но и количеством приобретенных лицензий. Лицензировать необходимо практически все — платы расширения, используемые приложения и т.д., что может доставить определенные неудобства.
Конфигурирование может осуществляться через ряд программ, но наиболее популярная и простая в обращении — Avaya IP Office Manager. Также возможно управление через консоль с помощью Avaya Terminal Emulator.
В целом, продукция корпорации Avaya не ограничивается одним IP Office. Avaya, в 2009 году слившаяся с еще одним известным производителем Nortel, является признанным лидером на рынке оборудования для IP-телефонии.
Автор: Avtandilko
Источник [1]
Сайт-источник PVSM.RU: https://www.pvsm.ru
Путь до страницы источника: https://www.pvsm.ru/sip/36426
Ссылки в тексте:
[1] Источник: http://habrahabr.ru/post/183152/
Нажмите здесь для печати.