Ученый из МФТИ создал новый метод расчета взаимодействия ультракоротких лазерных импульсов с оптической плотной средой. Работа опубликована в Journal of Optics. В исследовании были проведены расчеты зависимости коэффициента поглощения среды от частоты и длительности лазерного импульса и толщины среды.
Ультракороткими импульсами физики называют импульсы с длительностью, которая выражается фемтосекундами (0.000000000000001 секунды), и еще более короткими. За последние два десятилетия фемтосекундные лазеры произвели настоящую революцию во многих сферах науки и техники. Изначально эти мощные инструменты использовались в основном для фундаментальных исследований, но с течением времени сфера их применения значительно расширилась. Теперь фемтосекундные лазеры активно применяются для решения множества прикладных задач, например в таких областях, как высокоточная обработка материалов и биомедицинские технологии. С развитием технологий стал возможен не только более глубокий анализ физических процессов, но и создание инновационных решений, которые открывают новые перспективы в различных науках. Эти лазеры обеспечивают непревзойденную точность и скорость, что делает их незаменимыми в современных научных экспериментах и промышленных приложениях.
Аттосекундная физика возникла благодаря сочетанию двух научных дисциплин: лазерной физики и физики взаимодействия лазерных импульсов с атомами и молекулами. Это направление науки исследует волновые процессы на масштабах, измеряемых в аттосекундах. Аттосекунда в тысячу раз меньше фемтосекунды и соответствует одной секунде, деленной на 10^(-18). Чтобы лучше понять это время, можно провести параллель: за одну секунду проходит такое количество аттосекунд, какое количество секунд прошло за всю историю Вселенной, которая составляет примерно 14 миллиардов лет. Или, например, свет, испускаемый Солнцем, достигает Земли за восемь минут, а за одну аттосекунду он едва сможет пролететь мимо одного атома. Электрон в атоме водорода движется с огромной скоростью (в 100 раз меньшей скорости света, то есть около трех тысяч километров в секунду), и обходит ядро за 150 аттосекунд. Аттосекундная физика начала развиваться около 20 лет назад с первых экспериментов по созданию лазерных импульсов, длительность которых измерялась в аттосекундах.
На начальном этапе ученые смогли генерировать импульсы длительностью одну фемтосекунду (тысяча аттосекунд), затем добились создания импульсов, продолжительностью 800 аттосекунд, и в 2016–2020 году достигли значений в 100 аттосекунд. Сегодняшние лучшие результаты измеряются уже десятками аттосекунд.
В 2023 году Нобелевская премия по физике была вручена за экспериментальные методы генерации аттосекундных импульсов излучения для изучения динамики электронов в веществе. Но одних экспериментальных исследований недостаточно. Требуются новые эффективные методы вычислений, чтобы управлять подобными лазерами и использовать их в различных целях.
Два основных метода расчета взаимодействия электромагнитных импульсов с веществом основаны на золотом правиле Ферми и численном решении уравнения Шредингера. Первый метод очень удобен и эффективен, но не работает для ультракоротких импульсов. Второй требует слишком много вычислений.
В новом исследовании, посвященном поглощению ультракоротких лазерных импульсов в оптически плотной среде, заслуженным профессором МФТИ Валерием Астапенко найден «срединный путь» между этими двумя методами, что позволило построить более прозрачную и эффективную модель явления. Используя полный коэффициент поглощения для всей длительности импульса и учитывая эффекты отражения и распространения на границе раздела вакуум / среда, удалось разработать универсальный подход к описанию этих процессов.
Обобщая предыдущие работы, в которых был установлен мост между микро- и макроописанием процессов излучения, ученый представил новое выражение для полного коэффициента поглощения, зависящее от комплексного показателя преломления среды.
В работе также были проведены численные расчеты, которые показали, как полный коэффициент поглощения варьируется в зависимости от параметров лазерных импульсов и толщины слоя среды. Использовались модели взаимодействия лазерных импульсов с пластинами арсенида галлия (GaAs), часто используемого в электронике, разной толщины, рассматривались различные значения как частоты лазера (соответствующей энергии фотона излучения, измеряемой в электрон-вольтах), так и длительности одного лазерного импульса. Численные расчеты показали, что полученные приближенные аналитические формулы могут быть успешно использованы для выражения зависимости показателя преломления и полного коэффициента поглощения при разных значениях всех этих параметров.
Полный, или общий коэффициент поглощения — это главный параметр, исследование которого было целью работы. Он равен отношению поглощенной энергии к полной энергии лазерного импульса, которая проходит через пластину арсенида галлия.
Рисунок 1. Зависимость вещественной и мнимой части показателя преломления арсенида галлия (GaAs) от частоты лазерного импульса, выраженной в электрон-вольтах. Источник: Journal of Optics
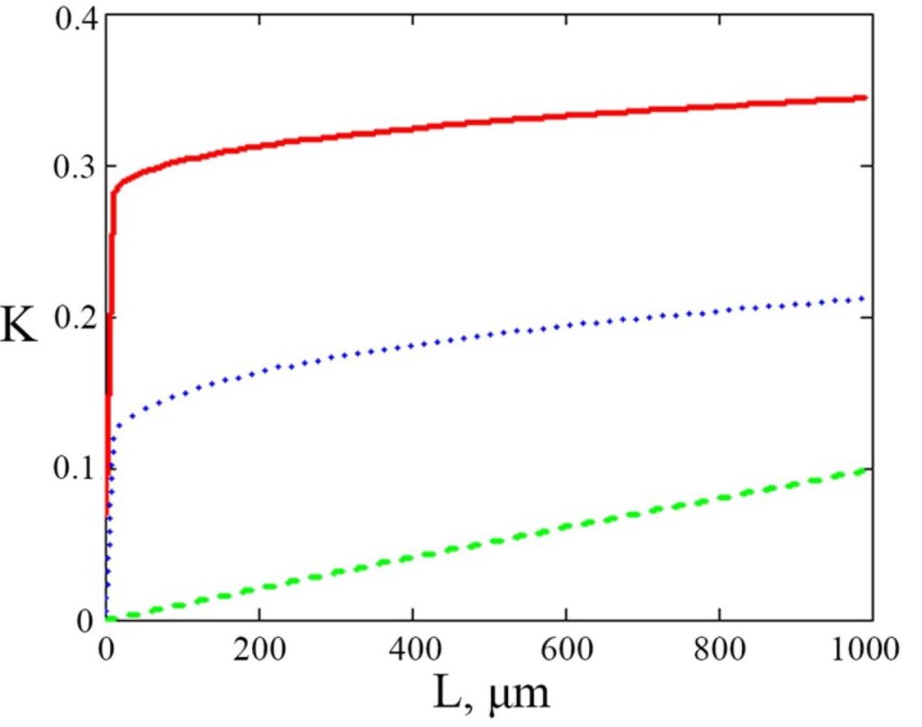
Рисунок 2. Зависимость общего коэффициента поглощения от длины лазерного импульса при частоте, соответствующей энергии 1 электрон-вольт, для пластин арсенида галлия разной толщины. Сплошная линия соответствует толщине пластины L = 10 мкм, пунктирная линия толщине L = 100 мкм, штриховая линия — L = 1 мм, штрихпунктирная линия — L = 3 мм. Источник: Journal of Optics
Рисунок 3. Зависимость общего коэффициента поглощения от длины лазерного импульса при частоте, соответствующей энергии 1,5 электрон-вольт, для пластин арсенида галлия разной толщины. Сплошная линия — L = 10 мкм, пунктирная линия — L = 100 мкм, штриховая линия — L = 1 мм, штрихпунктирная линия — для импульса бесконечной длительности. Источник: Journal of Optics
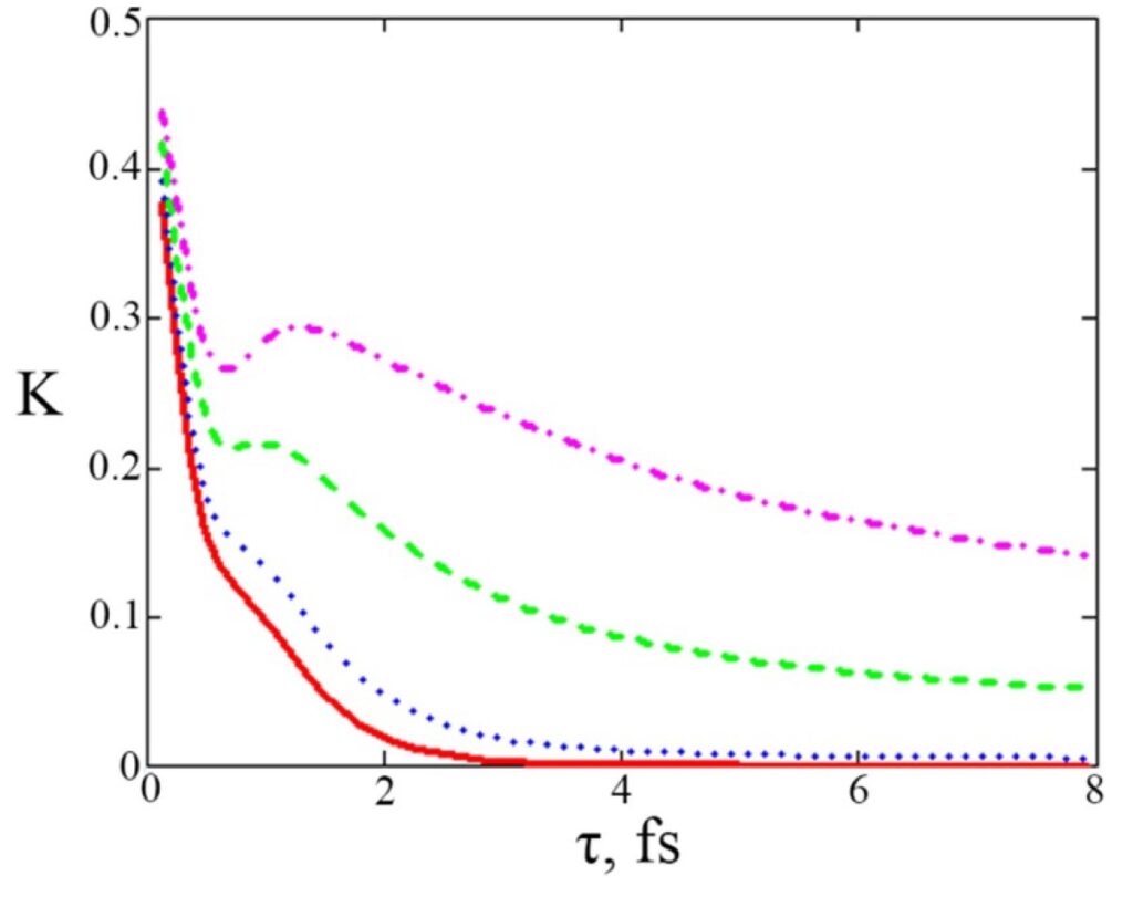
Рисунок 4. Зависимость общего коэффициента поглощения от толщины пластины арсенида галлия при частоте, соответствующей энергии 1 электрон-вольт. Сплошная линия соответствует длительности лазерного импульса 0,24 фемтосекунды, пунктирная линия — 0,72 фемтосекунды, штриховая линия — 24 фемтосекунды. Источник: Journal of Optics
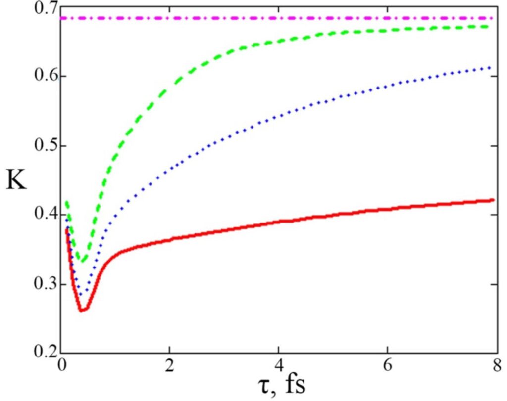
Рисунок 5. Зависимость общего коэффициента поглощения от толщины пластины арсенида галлия при частоте, соответствующей энергии 1,424 электрон-вольт, которая равна ширине запрещенной зоны материала. Сплошная линия соответствует длительности лазерного импульса 0,24 фемтосекунды, пунктирная линия — 0,72 фемтосекунды, штриховая линия — 24 фемтосекунды. Источник: Journal of Optics
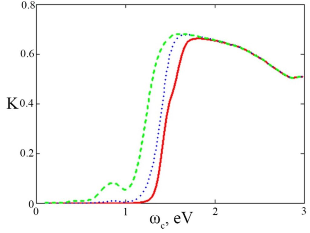
Рисунок 6. Зависимость общего коэффициента поглощения пластины арсенида галлия толщиной 100 микрометров от частоты лазера для различных продолжительностей лазерного импульса. Сплошная линия соответствует длительности лазерного импульса 0,24 фемтосекунды, пунктирная линия — 0,72 фемтосекунды, штриховая линия — 24 фемтосекунды. Источник: Journal of Optics
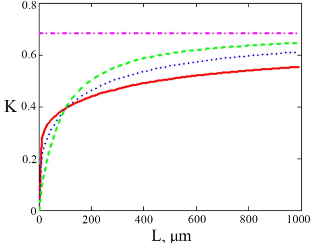
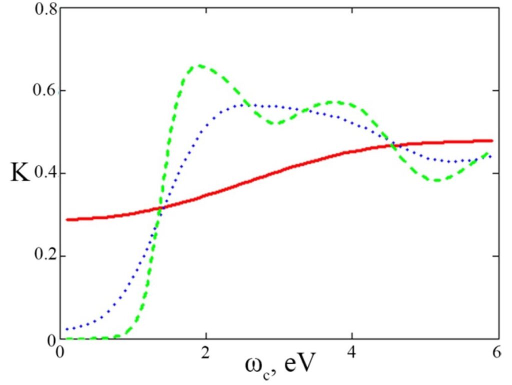
Рисунок 7. Зависимость общего коэффициента поглощения пластины арсенида галлия от частоты лазера, выраженной в электрон-вольтах, с длительностью импульса 7,2 фемтосекунды для различных значений толщины пластины. Сплошная линия соответствует толщине 10 микрометров, пунктирная линия — 100 микрометров, штриховая линия — 1 миллиметр. Источник: Journal of Optics.
«Результаты исследования могут быть применены для множества прикладных задач, — объясняет Валерий Астапенко, профессор ВАК, доктор физико-математических наук, заслуженный профессор МФТИ и главный научный сотрудник лаборатории квантово-каскадных лазеров МФТИ. — Аттосекундные лазеры имеют огромное значение в современной науке. Они дают возможность посмотреть, что происходит на уровне строения молекул, непосредственно заглянуть в глубь материи. Аттосекундные импульсы уже активно используются для диагностики состояний квантовых физических систем. За исследования в этом направлении только в последние шесть лет были присуждены две Нобелевские премии по физике. Одна из них в 2018 году, за создание приборов, усиливающих фемтосекундные лазерные импульсы, вторая — в 2023 году, за аттосекундные импульсы».
Проводя дальнейшие эксперименты в этой области, исследователи во всем мире надеются расширить возможности применения лазерных технологий в области оптики, материаловедения и квантовой физики. Результаты данной статьи могут оказать значительное влияние на развитие лазерной науки и технологий.
Автор: master_program
