Белые карлики — это останки звёзд главной последовательности (наше Солнце тоже принадлежит к этой группе звёзд), у которых закончился водород. Их жизнь с термоядерным синтезом подошла к концу, но они будут излучать остаточное тепло ещё триллионы лет. А их продолжительность жизни превышает текущий возраст Вселенной.
Белые карлики — интереснейшие объекты по нескольким причинам. Около 97% звёзд становятся белыми карликами, поэтому они могут многое рассказать нам об эволюции звёзд. Поскольку они остывают с предсказуемой скоростью, и служат своеобразными «хранителями времени», помогая астрономам определять возраст звёздных скоплений, в которых они находятся. Кроме того, иногда они взрываются как сверхновые типа 1a, которые уже являются стандартными свечами на лестнице космических расстояний. И, наконец, это экстремальные объекты, позволяющие астрофизикам проверять такие вещи, как теория квантовой механики.
Не все белые карлики одинаковы. Предел Чандрасекара устанавливает верхнюю планку массы белых карликов на уровне 1,44 массы Солнца. Выше этого значения они не могут поддерживать собственную массу и либо взрываются, либо коллапсируют в нейтронные звёзды. Большинство белых карликов сильно не дотягивают по массе до этого значения, и масса лишь немногих из них превышает одну солнечную. Такие белые карлики называются высокомассивными.
Один из известных высокомассивных белых карликов называется WD 0525+526. Он находится на расстоянии около 130 световых лет от нас и он на 20% массивнее Солнца. Новое исследование, основанное на ультрафиолетовых данных космического телескопа «Хаббл», предполагает, что этот белый карлик является результатом слияния с другой звездой.
Новое исследование называется «Горячий остаток слияния белых карликов, обнаруженный с помощью ультрафиолетового обнаружения углерода». Оно опубликовано в журнале Nature Astronomy, а его ведущим автором является доктор Снехалата Снаху, научный сотрудник Уорикского университета (Великобритания).
WD 0525+526 отличается от других белых карликов не только своей большей массой. Его химический состав также необычен.
Белые карлики обычно состоят из углеродно-кислородного ядра, а в их атмосферах преобладают водород или гелий. Когда учёные обнаруживают в атмосфере белого карлика «металлы»,- на языке астрономов это любой элемент тяжелее водорода или гелия,- они обращают на это внимание. Это может означать, что белый карлик поглотил планету-гигант.
Но астрономам известны шесть белых карликов большой массы, которые имеют некоторые загадочные особенности. У них преобладают водородные атмосферы с признаками лишь крошечного количества углерода, который, вероятно, был извлечён из ядра конвекцией. Такие звёзды могут быть результатом слияния звёзд и называются белыми карликами класса DAQ.
«Эти редкие белые карлики, вероятно, происходят от слияния звёзд, что делает их неопровержимыми доказательствами одной из ветвей эволюции двойных систем, приводящей к термоядерным сверхновым», — пишут авторы. (Термоядерная сверхновая — это сверхновая типа 1a). «Однако оптическая спектроскопия позволяет обнаружить только самые обогащённые углеродом объекты, что даёт основания полагать, что гораздо больше остатков слияний могут маскироваться под обычные белые карлики с чистой водородной атмосферой».
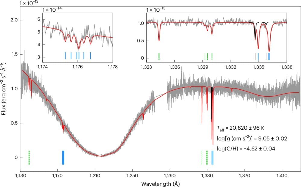
В то время как оптическая спектроскопия с трудом обнаруживает более слабые сигналы углерода, ультрафиолетовой спектроскопии это вполне по плечу. В данном исследовании астрономы использовали возможности ультрафиолетового зондирования «Хаббла» для изучения WD 0525+526.
«В оптическом свете (тот свет, который мы видим глазами) WD 0525+526 выглядит как массивный, но в остальном обычный белый карлик», — говорит первый автор исследования доктор Снехалата Саху (Snehalata Sahu) в пресс-релизе. Однако благодаря ультрафиолетовым наблюдениям, полученным с помощью „Хаббла“, мы смогли обнаружить слабые углеродные сигнатуры, которые не были видны в оптические телескопы».
«Обнаружение небольшого количества углерода в атмосфере — верный признак того, что этот массивный белый карлик, скорее всего, является остатком слияния двух столкнувшихся звёзд», — говорит доктор Снаху. «Это также говорит нам о том, что таких остатков слияния, маскирующихся под обычные белые карлики с чисто водородной атмосферой, может быть гораздо больше. Только ультрафиолетовые наблюдения смогут открыть нам их».
Густая водородная и гелиевая атмосфера белого карлика плотно обволакивает ядро. В белых карликах очень мало конвекции, поскольку они поддерживаются не тепловым давлением, а давлением вырождения электронов. Конвекция в них слабая и ограничена тонкими слоями атмосферы вблизи их поверхности. Это означает, что белому карлику очень сложно «вычерпать» углерод из своего ядра.
Но когда белый карлик сливается с другой звездой, слои водорода и гелия почти полностью сгорают. В результате у звезды остаётся лишь очень тонкий слой водорода и гелия, и тогда углерод может выходить на поверхность из её недр. Таков WD 0525+526.
Соавтор работы Антуан Бедар, также из Уорикского университета, сказал: «Согласно нашим измерениям, слой водорода и гелия у данного тела в десять миллиардов раз тоньше, чем у типичных белых карликов. Мы думаем, что эти слои исчезли во время слияния, и именно это позволило углероду появиться на поверхности».
«Но этот остаток звезды также необычен: на его поверхности примерно в 100 000 раз меньше углерода по сравнению с другими телами, оставшимися после слияний. Низкий уровень углерода, а также высокая температура звезды (почти в четыре раза горячее Солнца) говорят о том, что WD 0525+526 находится на гораздо более раннем этапе эволюции после слияния, чем те, которые были обнаружены ранее. Это открытие помогает нам лучше понять судьбу двойных звёздных систем, что очень важно для таких связанных с ними явлений, как взрывы сверхновых».
Астрофизики не ожидали, что углерод выйдет на поверхность такой горячей звезды. Это обычно происходит позже, когда звезда остывает и конвекция более эффективно вытесняет углерод на поверхность, где его легко обнаружить. Вместо этого исследователи обнаружили в звезде тип конвективного перемешивания, называемый полуконвекцией. Полуконвекция позволяет некоторому количеству углерода проникать во внешние слои и достигать поверхности, и это первый случай, когда она наблюдается у белого карлика. Она создаёт гораздо более медленное перемешивание, чем обычная конвекция, и является лишь частичной; она не создаёт гомогенизации. Полуконвекция имеет место и в других звёздах, кроме белых карликов, но её очень трудно моделировать.
«Обнаружение чётких свидетельств слияний у отдельных белых карликов — редкость», — добавил профессор Борис Генсике с факультета физики Уорикского университета, который получил данные «Хаббла» для этого исследования. «Но ультрафиолетовая спектроскопия даёт нам возможность обнаружить эти признаки на ранней стадии, когда углерод ещё невидим в оптических диапазонах волн. Поскольку атмосфера Земли блокирует ультрафиолетовый свет, эти наблюдения должны проводиться из космоса, и в настоящее время только „Хаббл“ может выполнить эту работу».
Авторы отмечают, что существуют и другие потенциальные объяснения углерода, наблюдаемого на поверхности WD 0525+526. «Другим возможным источником фотосферного углерода является аккреция материала из межзвёздной среды, разрушенной планетарной системы или близкого (суб)звёздного компаньона», — пишут они. «Однако во всех случаях наряду с углеродом в УФ-спектре белого карлика будут обнаружены и другие тяжёлые элементы». В зависимости от источника аккреции астрономы ожидают обнаружить присутствие таких элементов, как кремний, азот, фосфор и сера.
Проверив свои данные на соответствие всем этим сценариям, авторы отвергли все из них.
«Мы не обнаружили фотосферного кремния или какого-либо тяжёлого элемента, кроме углерода, в спектре COS WD 0525+526», — заключают авторы. «Поэтому все варианты сценария аккреции кажутся крайне маловероятными».
Автор: SLY_G
