Как я уже писал, к сожалению даже на geektimes количество специалистов незначительно. Большинство не верит в формулы, а полагается только на свои здравые рассуждения. При этом мы так любим посмеяться над подрастающим поколением. Мы-то лучше, мы учились по книжкам, не сидели целыми днями в планшетах.
До последнего надеюсь, что мне не повезло с выборкой и всё не так плохо.
Столкнулся со следующим массовым заблуждением:
чем выше точность ориентации космического аппарата, тем менее мощным должен быть двигатель

Казалось бы из этого утверждения следует: а зачем нам вообще двигатели? Самая лучшая ориентация достигается вообще без них. Почему уже на этом этапе никому не приходит в голову: Товарищи! нам пудрят в Роскосмосе. Человек полетит силой мысли ©Mightywill
Теория
Непосредственно после приведения ориентации к заданной следует режим поддержания заданной ориентации. Характерным для космического полета является отсутствие демпфирующих сил. Поскольку в процессе поддержания заданной ориентации технически невозможно обеспечить нулевое значение угловой скорости КА, то даже незначительные остаточные угловые скорости в условиях отсутствия демпфирующих сил будут постоянно уводить КА от заданного углового положения. Для удержания требуемого углового положения необходимо периодически включать УРД для парирования отклонений КА. В результате поддержание заданной ориентации представляет собой процесс автоколебаний около требуемого углового положения.
Основными требованиями к характеристикам режимов приведения и поддержания заданной ориентации являются:
— Ограничение на максимальный угол отклонения КА от требуемого углового положения φmax. Данное требование обусловлено следующим обстоятельством. Оптические датчики, используемые в системах ориентации (например, астровизорные датчики, инфракрасный построитель местной вертикали и др.), имеют ограниченный угол обзора. В процессе приведения ориентации к заданной, вследствие действия инерционных сил, КА неизбежно будет проходить требуемое угловое положение на некоторый угол. При этом, чтобы оптический ориентир (звезда, Солнце, Земля и др.) не ушел из поля зрения датчика, ограничивается максимальный угол отклонения КА от требуемого углового положения после захвата ориентира оптическим датчиком. Реальные значения φmax составляют величины порядка нескольких десятков градусов.
— Требуемая точность ориентации КА φт, представляющая собой максимальное отклонение КА от требуемого углового положения в процессе поддержания заданной ориентации. Требования к зависят, в основном, от решаемых космическим аппаратом задач и вида используемой целевой системы. Для большинства КА требуемая точность ориентации лежит в диапазоне 0,5 — 15 град.
— Требуемое время поддержания заданной ориентации.
При реализации режимов приведения ориентации к заданной и поддержания заданной ориентации используется информация, получаемая от датчиков углового положения КА и датчиков угловой скорости КА. Датчики имеют определенную зону нечувствительности. Обозначим зону нечувствительности датчика угла φ0, зону нечувствительности датчика угловой скорости — ω0. Если угол отклонения КА от требуемого углового положения φ и угловая скорость КА ω будут находиться соответственно в диапазонах -φ0<φ<φ0 и -ω0<ω<ω0, то система ориентации будет получать от этих датчиков нулевые сигналы. Для реальных датчиков зоны нечувствительности имеют следующий порядок величин: φ0=10-2 — 10-3 рад, ω0= 10-3 — 10-4 рад/с.

Для определения потребной тяги УРД в режиме приведения ориентации к заданной воспользуемся уравнением углового движения КА
Iε=PL
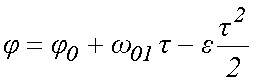
Величина углового ускорения, создаваемого УРД, определяется из ограничения на величину φmax. Для получения соответствующей зависимости воспользуемся уравнением равнозамедленного углового движения, описывающим движение КА на участке ВСD.

τ — время, отсчитываемое от момента включения УРД в точке В.
В точке С φ=φmax и τ= ω0/ε. Подставив эти значения угла и времени в уравнение, получим выражение для требуемого углового ускорения КА: 
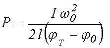
Получаем выражение для потребной тяги УРД в режиме поддержания заданной ориентации: 
Есть ещё много буков про программные повороты. Увеличение углового ускорения при повороте увеличивает массу УРД, но уменьшает массу топлива, что в конечном итоге лучше.
Вывод
Чем меньше отклонение КА от требуемого углового положения в процессе поддержания заданной ориентации (выше точность), тем больше потребная тяга УРД.
Выполнять программные повороты целесообразно при максимальных значениях углового ускорения. Величина углового ускорения ограничивается прочностными характеристиками элементов конструкции КА.
Если кто до сих пор не верит, мне всё равно. Только не ходите работать в Роскосмос. Там и своих хватает.
Автор: paul_155
