Как известно, в формулах LaTeX греческие буквы и интегралы являются наклонными. В старой советской литературе в формулах греческие буквы и интегралы были прямые и некоторые люди требуют, чтобы в статьях, диссертациях, авторефератах и прочих документах греческие буквы тоже были прямым шрифтом.
Далее предлагается пакет, который может реализовать такое в LaTeX. Данный пакет я сделал в процессе работы над диссертацией, когда от меня попросили, чтобы греческие буквы в формулах были прямым шрифтом.
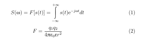
Это картинка, которая показывает, как будут выглядеть формулы, написанные в LaTeX, если подключить мой пакет:

Если кому-то такое вдруг понадобилось, то см. под кат.
Готового пакета для LaTeX, реализующего такую функцию, я не нашёл. Поиск решения привёл к использованию пакета mathptm, но с этим пакетом формулы начинают выглядеть как в Word'e. Латинские символы становятся промежуточными между обычным и полужирным начертанием. Также теряется полужирное начертание у заголовков section, subsection.
Вобщем, пришлось делать свой собственный велосипед.
Идея, положенная в основу моего пакета заимствована здесь. По ссылке рассказано, как переопределить греческие буквы в преамбуле документа.
Всё оформлено в виде трёх пакетов:
- rumathgrk — определяет прямые греческие символы
например alphaup — прямая буква «альфа» betaup — прямая буква «бета» и т.д. - rumathgrk1 — переопределяет стандартные греческие символы ( alpha, beta и т.п.), чтобы они были прямыми
- fixint — переопределяет интегралы, чтобы они были прямыми. Нужно заметить, что класс disser с опцией fixint делает то же самое.
Для использования подключить в преамбуле любой из этих пакетов в любых сочетаниях. Чтобы использовать пакет fixint, нужно подключить пакет amsmath. Пакеты совместимы с популярным набором стилей для оформления диссертаций disser.
Вот пример минимального документа:
documentclass[a4paper,12pt]{article}
usepackage[koi8-r]{inputenc}
usepackage[russian]{babel}
usepackage{hyperref}
usepackage{mathtext}
usepackage{amsmath}
usepackage{fixint} % здесь подключили наши пакеты
usepackage{rumathgrk1} % теперь греческие буквы и интегралы будут переопределены
begin{document}
% В этих формулах греческие буквы печатаются прямым шрифтом
begin{equation}
S(omega)=F[s(t)]=intlimits_{-infty}^{+infty}s(t)mbox{e} ^{-jomega t} dt
end{equation}
begin{equation}
F=frac{q_1 q_2}{4pi varepsilon_0 varepsilon r^2}
end{equation}
end{document}
Если прямые интегралы и греческие буквы в документе станут больше не нужны, то нужно просто убрать из преамбулы пакеты rumathgrk1 и fixint.
Забирать готовые пакеты можно с Гитхба: отсюда В Linux если установлен git, это можно сделать командой:
git clone https://github.com/ra3xdh/rumathgrk
Для установки в Linux и TeXlive в консоли перейти в директорию с пакетом и выполнить команду:
make install
В Windows пакеты не тестировались, но тоже должно работать. Устанавливать для MiKTeX их надо вручную. Допускается использование с любыми целями.
И в заключение замечу, что мне больше нравятся стандартные наклонные греческие буквы и интегралы из LaTeX.
Автор: vv_kuznetsov
