В школах и университетах при изучении математики определяют операцию дифференцирования функции и производную. Это фундаментальные понятия, на которых в дальнейшим строится весь аппарат математического анализа.
Обычную производную и её обобщения используют повсеместно, например в машинном обучении, при обучении нейронных сетей.
Если продифференцировать функцию - то получится её производная. Если сделать это дважды - получится вторая производная. Но есть ли что-то “между”? Конечно же есть, и именно про такие объекты написана эта статья.

Производные дробного порядка
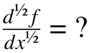
Понятие производной целого порядка обобщается на дробный порядок - например можно “придумать” производную порядка . Хорошую интуицию о том что такое производная порядка
и как она “действует” на функции дает операторный взгляд на взятие производной.
Рассмотрим производную как оператор - отображение из пространства дифференцируемых функций в пространство их производных. Назовем оператор обычной производной , а применение оператора к функции обозначим
. Тогда разумная задача - найти в пространстве операторов новый оператор - такой, который при применении к функции дважды, даст такой же результат как и
, назовем его
. Это и будет производной порядка
.
Аналогично можно определить оператор для производной любого дробного порядка, а соответствующий оператор назвать . Напомню, что вещественные числа строго определяются как пределы последовательностей рациональных чисел, сходящихся к ним, по этому и оператор вещественного порядка можно определить так же, как предел операторов дробных порядков.
Есть несколько различных способов как найти точный вид (или формулу) производной дробного порядка, согласованных во первых со свойством, написаным выше, а во вторых дающих формулы, совпадающие в случае целых порядков, с классическими производными. Из них я выделю четыре и опишу одним-двумя предложениями.
-
Первый способ - аналогично определению обычной производной - через пределы. См формулы на картинках, первая соответствует обычной производной, а вторая её обобщает для дробного порядка альфа, при этом если подставить альфу равную 1, то получится обычная производная.

Определение обычной производной
Определение производной дробного порядка через предел -
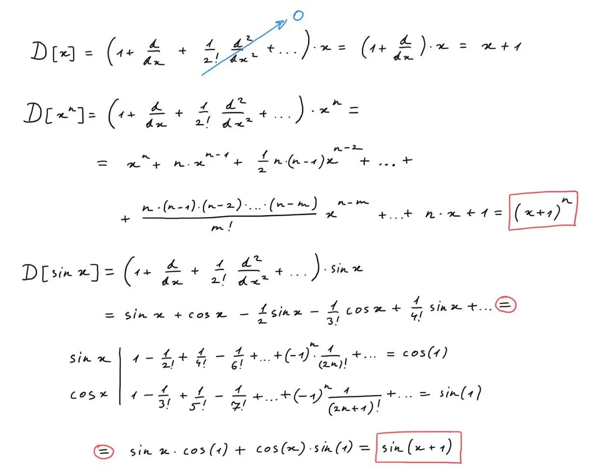
Второй способ - разложить саму функцию, которую будем дифференцировать, по базису, например, в ряд Тейлора или Фурье, посчитать как действует оператор на базисных функциях, применить оператор производной к каждому слагаемому и просуммировать ряд обратно. Важно отметить, что этот подход будет работать, потому что оператор
линейный, т.е. оператор примененный к сумме даст такой же результат как сумма результатов применения оператора к слагаемым. Осталось понять только то, как действует дробная производная на базисные функции. Это можно сделать посмотрев на паттерны обычного дифференцирования степенных функций (
) и синусов-косинусов с экспонентами (экспонента
это собственная функция у оператора дифференцирования). Такой подход используется вот в этой статье: https://habr.com/ru/articles/734000/
-
Третий способ - воспользоваться формулой Коши для повторного интеграла. Формула дает возможность выразить повторный интеграл порядка K через одинарный, и она включает в себя возведение аргумента функции в степень и факториал. Эту формулу можно аналитически продолжить и на не-целые и на отрицательные порядки повторного интеграла - именно так и получаются дробные производные. В формуле есть возведение в степень - оно не имеет никаких проблем с дробными показателями, и факториал - он обобщается с помощью Гамма-функции.
-
Четвертый способ - интегральные преобразования Фурье или Меллина. Оба эти преобразования позволяют очень легко выражать образ производной целой степени от функции через формулу, в которую без проблем можно подставить дробный (или даже комплексный) параметр степени производной. Идея практически такая же как и в предыдущем способе - воспользоваться готовой формулой или преобразованием и обобщить его на дробные степени производной.
Способов получить дробную производную очень много, например на википедии есть больше 15-ти типов такой операции:

У дробных производных есть много применений, а ещё ютуберы любят разбирать этот концепт, вот пара интересных видосов об этом:
Экспоненциальная производная
Операторный подход позволяет считать и другие “интересные штуки”, например функции от самой операции взятия производной. Простейший и не тривиальный пример функции от производной это экспонента: e^{d/dx}. Чтобы понять, что делает такой оператор, нужно взять обычное разложение экспоненты в ряд Тейловра и подставить туда d/dx вместо x. Получится:
То есть, это ряд взятия производных. А что будет непосредственно с функцией, если применить к ней этот оператор? Вот три ключевых примера, с функциями :
Видимый паттерн, что полученный оператор действует так - - работает для любых достаточно дифференцируемых функций. Это понятно уже даже по производной для
и линейности оператора - функцию, на которую он действует, можно разложить в ряд Тейлора, а производную синуса я посчитал ради примера прямого подсчета. Если применить этот оператор дважды, то получится
. Можно обобщить этот оператор до
, который делает сдвиг аругемента на любое вещественное число
.
Выходит, что exp(d/dx) это просто оператор сдвига - про это есть статья в википедии: https://en.wikipedia.org/wiki/Shift_operator
Более подробное видео с примерами про экспоненциальную производную: https://www.youtube.com/watch?v=04iWQHBWLxk
Автор: CherryPieHSE
