
Как сварить яйцо? Поместить в кипяток и держать несколько минут (некоторые кладут яйца в холодную воду и ставят на огонь, но такой метод дополнительно осложняет расчеты, поэтому мы рекомендуем класть яйца в сильно кипящую воду). Есть лайфхаки: например, чтобы яйцо легче было чистить, можно добавить в кипяток уксус или разбить готовое яйцо и погрузить ненадолго в холодную воду, чтобы вода проникла между белком и скорлупой и последняя легче отделялась. Но главное — время варки. разный состав белка и желтка определяет их разную реакцию на нагревание: белок сворачивается чуть быстрее. Передержав яйца в горячей воде, можно получить неаппетитную зеленоватую пленку сульфида, которая образуется, когда перегрев высвобождает связанную серу белка, и та реагирует с железосодержащими солями, содержащимися в желтке.
С точки зрения физики варка яиц — довольно сложный процесс, на агрегатное состояние желтка и белка по завершении варки влияет множество факторов: температура воды при погружении и скорость закипания, начальная температура яйца (разная в зависимости от того, хранили вы яйца в холодильнике или при комнатной температуре), высота вашей кухни над уровнем моря (это влияет на температуру кипения воды, в горах она будет ниже и варить придется дольше).
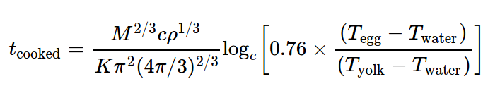
Учесть большинство этих факторов можно вручную с помощью уравнения, составленного физиком Чарльзом Уильямсом из университета Экстера. Вот оно:
t — это время варки, m — масса, K — коэффициент теплопроводности яйца, ywr — соотношение масс желтка и белка. Кроме того, вам нужно точно знать температуру яйца (Tegg) и температуру желтка (T), плюс владеть логарифмами.
Если логарифмы остались в школе, а яиц всмятку и вкрутую хочется, можно воспользоваться онлайн-калькулятором (или другим онлайн-калькулятором). Для расчетов вам понадобятся кухонные весы (правда, можно вместо веса яйца указать категорию) и вот этот сайт, он позволяет довольно точно определить высоту над уровнем моря в Москве (находясь выше первого этажа, не забудьте к данным карты прибавить число этажей, умноженное на три метра). Если вы находитесь не в Москве, расчитайте свою высоту над уровнем моря другим способом.
Первый калькулятор сообщил, что на севере Москвы отборное яйцо из холодильника надо варить 11 минут (всмятку — семь). Мы сначала не поверили, но оказалось, что расчеты верны, если яйцо класть в кипящую воду. Результат второго калькулятора был на пару минут меньше, и яйцо, сваренное в соответствии с этой рекомендацией, оказалось слегка сыроватым.
