Даже опытные биологи порой заблуждаются на счёт павлиньего хвоста. Мол мешает летать, делает павлина более заметным для хищников. Но на практике - выживание дикой твари ( любой) это просто процесс выживания и оставления после себя нового поколения. Всё. Если тварь выживает успешно с тремя рогами на спине, значит в своей среде выживания рога ей либо не мешают, либо вообще помогают.
Первая важная пометка - хвосты у самцов павлинов не круглый год максимально длинные, а только в период размножения. То бишь самая красота и тяжесть, это только что бы самку завлечь и самцов подавить красотой. Так, вне размножения хвост у них длиной 40-50 см, а в период размножения до 160 см. А то многие думают, что павлины реально круглый год с хвостяками рассекают. В этом заблуждении виноваты и биологи, они зачастую забывают важнейший факт указать.

1 - Павлины полигамные, у них несколько самок у каждого самца. И значит павлину суммарно, математически выгоднее наплодить кучу детей от каждой самки и чёрт с ним - если даже дикая кошка тебя сожрала. Ну сожрала и что? Павлин не человек, он вообще не рассуждает ( не может физически) он выживает вот прям сейчас, каждую секунду и модели поведения либо выгодны в плане оставления потомства, либо не выгодны.
Не надо так же думать, что павлин это курочка-рябушка со двора у бабушки. В дикости эта птаха весит 5 - 6 кило, имеет острые шпоры, сильна, быстра и агрессивна. https://www.themarthablog.com/2020/03/breeding-season-for-the-peafowl.html - вот, женщина содержит много павлинов и там есть фото павлинов в обычное время. Это именно самец, самки буквально коричневые.

Самка на фоне павлина. Заметьте - хвост крайне убористый по длине, потому что самец просто красуется вне размножения, это уже его жена, радует чем есть.

2 - Заметность для павлинихи - смертельно опасна, поэтому лучше выживали вот такие тварюшечки и павлинята такие же. Для павлина заметность - фактор риска такой же, как как красивые рога для большого оленя. С одной стороны конечно заметнее, с другой на павлина и кинется кошка, с большей долей вероятности. Самец убежит-не убежит, это вопрос, а вот самки и дети спасутся в этот раз. И даже если сожрали павлина плодовитого - он сожран, его дети живы, значит эволюционно-математически выгоднее снова и снова иметь большой хвост.

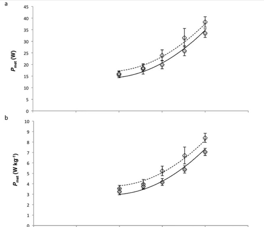
3 - А ещё, вопреки поверхностному мнению - павлиний хвост не мешает движению так, как думается. Наоборот, хвостатые павлины ещё и быстрее взлетать могут. https://bmcbiol.biomedcentral.com/articles/10.1186/s12915-022-01496-9 - это общая громадная статья. А эта - https://www.nature.com/articles/srep36512 - прям вот про павлиний хвост, в плане того - как он мешает-помогает передвижению.
Оказалось - вообще не мешает, а помогает. Парадокс? Не будем забывать - эволюция это в корне - математика, столько то особей родилось, они такими то признаками обладают - выжили такие то особи, затем дали успешно потомство и сохранили его - такие то. И если б реально хвосты мешали, плохо было бы их носителям в дикости.
Штрихованные символы - когда хвост длинный. Не штрихованные - когда нет периода размножения и хвосты менее пышные. Общая суть графиков - с длинными хвостами затраты на движение-взлетание ниже, чем без длинных хвостов.


Ещё есть вид - шпицбергенская тундровая куропатка Lagopus muta hyperborea. Самцы в период размножения тоже имеют хвосты длиннее нормы. Так вот - в период размножения у них падает обмен веществ и хвост не тратит энергии больше нормы. Напомню заодно - павлины это отряд курообразные, как и куропатки.

На счёт павлинов ещё есть версия - у них подскакивает уровень тестостерона, что вкупе с активными движениями-ухаживаниями стимулирует рост мышц в теле и улучшает кинематику, то есть траты энергии и количество движений. В период конкуренции между павлинами чисто математически тот, кто медленный, будет меньше шансов иметь на самку и значит на детей.
4 - Это запускает буквально автокатализ - то есть процесс который сам себя копирует. Самки которые выбирали хвостатых в период размножения, имели каждый раз больше шансов выжить с птенцами, даже если хвостатого сожрали. Хвостатые в свою очередь рвали шпорами врагов, орали, трясли хвостами. А затем, даже имея 160 см хвост, после периода размножения - успешно отвлекали им же хищников от самок и детей.
5 - А когда процесс долгий, то могут подключаться и новые варианты от базового. Например - https://cosmosmagazine.com/science/biology/the-secret-signal-in-a-peacocks-tail/ - учёные вызнали, что и цвет важен и рисунок на хвостах, но и заодно ЗВУК КОТОРЫЙ ИЗДАЁТ ХВОСТ, КОГДА ИМ ТРЯСЁТ ПТИЦА. Вот это реально даже профи-биологи зачастую не знают. То что павлин орёт дурнилой - это тоже красиво, для самок. Но и хвост "старается" - он издаёт низкочастотные звуки или инфразвуки. Их люди не слышат, а павлины отлично слышат - звук от хвоста павлинов имеет мене 20 герц.
Первая догадка посетила учёных, когда заметили - в зоопарках иногда павлины просто трясут хвостом перед стеной, даже если самок нет. Затем проверили подробно - включали записанные звуки самцам и самкам. Те начали более активно и внимательно ухаживать.
Добавлю, что низкие звуки, которые не слышат люди, издают и глухари, но они не слышат свой инфразвук. Такой вот лёгкий парадокс. Но и намёк - павлины ранних видов тоже возможно звук не слышали, а однажды родился павлин который чуток услышал и... Снова автокатализ эволюции. Самка смогла услышать павлина, которого пока ещё не видела и пришла к нему. Заодно - инфразвуки меньше слышат хищники.
6 - https://bmcbiol.biomedcentral.com/articles/10.1186/s12915-022-01496-9 - очень подробно про энергозатраты в разных стилях ухаживания. Снова подтверждено - выгоднее "потратиться", то есть родиться с длинными хвостом ( точнее иметь такой в сезон размножения, чем не иметь.
Вообще, в базе своей - ухаживание и одобрение ухаживателя, это для размножения. И заодно это ТРАТА РЕСУРСА, особенно для того, кто ухаживает. А затем когда выбор сделан - ресурс активно тратит самка, принявшая ухаживания. Это снова математика затрат и выживания. Не все птицы красуются перьями, есть и "воробьиный стайл", когда ухаживатель активно прыгает вокруг и дерётся с конкурентами и снова прыгает вокруг самки.
И тут важен баланс - не родиться таким, что бы "перетратить энергон", а то после ухаживаний можно и помереть. И у выбирающей самки тоже важен баланс - выбирать будешь неудачно - сама и вымрешь, на детей сил не хватит. И скажем самец слишком рано склеит перья - не покормит, не защитит, даже не отвлечёт хищника. Каждый неудачный выбор - минус неудачная для выживания генетическая линия.
Общий вывод учёных, прямой гугло перевод - Наши результаты помогают понять, почему парадигма гандикапа должна быть отвергнута, и почему сигналы — их издержки, выгоды и компромиссы — лучше понять, используя дарвиновскую перспективу (и обычные инструменты, такие как эволюционная теория игр, модели оптимальности и теория жизненного цикла). Сигналы не должны быть дорогостоящими или расточительными, чтобы быть честными, и бесплатные или даже выгодные честные равновесия могут быть эволюционно стабильными. Вместо того, чтобы быть расточительными, мы должны ожидать, что сигналы будут эффективными . Сигналы могут быть как честными, так и эффективными, и обман может оказаться менее эффективным (более дорогостоящим и даже расточительным), чем честность. Их можно лучше понять из дарвиновского «принципа эффективности» , а не из ошибочного принципа гандикапа. На первый взгляд преувеличенные сигналы, такие как хвост павлина и оленьи рога, могут показаться расточительными, но они могут обеспечить минимальные или нулевые затраты на приспособленность для носителя — поскольку честные сигнализаторы могут производить их более эффективно, чем мошенники. Нет никаких оснований подозревать, что сигналы развиваются в рамках отдельного, недарвиновского процесса отбора, вопреки Захави ; и поскольку они развиваются посредством естественного отбора, как и другие признаки, они должны быть эффективными, а не расточительными.
7 - И про визуальную симметрию хвоста - https://pmc.ncbi.nlm.nih.gov/articles/PMC12022539/
Это совокупная часть общего образа павлина, который влияет на самку. Для начала - все павлины как и люди, рождаются разными и хвосты для размножения у них уникальные. Колебания не безграничны, но есть.
Диаграмма и рисунки-схемы. Количество перьев варьируется от 17 до 19.



Заметно, как колеблется хвост внутри видов и между видами. Хвосты у всех разные и от рождения и в силу возраста - рисунок из "глаз" богаче у старых павлинов, достигая 160 "глаз".
Автор: butivskiydm
