Ученые из Российского квантового центра, ВШЭ и МФТИ изучили фазовый переход в одномерных системах с беспорядком в присутствии коррелированного перескока частиц. Работа опубликована в Physical Review Journals. Она открывает возможности для создания устойчивых одномерных атомных ловушек, квантовых нитей и кристаллов с одномерной проводимостью.
В одномерных проводниках, таких как квантовые провода, взаимодействие электронов проявляется совершенно иным образом, чем в более привычных трехмерных и двумерных системах. В трехмерной среде поведение электронов хорошо описывается теорией Ферми-жидкости, основанной на модели Ферми-газа, которая предполагает слабое взаимодействие между частицами. В приближениях классической физики электроны в проводнике часто рассматриваются как идеальный газ.
Однако в одномерных системах ситуация значительно усложняется. Здесь проявляются уникальные особенности, связанные с квантовыми эффектами и сильным взаимодействием между частицами. Для анализа таких систем ученые применяют теорию жидкости Латтинжера (или Томонаги — Латтинжера). Эта теория описывает низкоэнергетические возбуждения в электронном газе как взаимодействие бозонов, что позволяет эффективно моделировать коллективные явления, такие как квазичастицы Латтинжера. Эти квазичастицы возникают благодаря корреляциям между электронами в узких одномерных структурах.
Ключевым аспектом теории Латтинжера является то, что электроны могут проявлять коллективное поведение, схожее с поведением бозонов на низких энергиях — это происходит за счет квантовых флуктуаций. Эта уникальная характеристика позволяет исследовать такие явления, как фазовые переходы и другие коллективные эффекты, которые невозможно объяснить традиционными моделями.
Для создания и эксплуатации углеродных нанотрубок, квантовых проводов, атомных ловушек и тому подобных одномерных квантовых систем важно суметь удерживать жидкость Латтинжера от фазового перехода в локализованное состояние в присутствии беспорядка. Для этого необходимо исследование условий, при которых происходит этот фазовый переход.
В данной работе российские физики изучили, как интенсивность парных перескоков частиц (одновременного обмена местами пар частиц в цепочке) в одномерной цепочке влияет на сохранение делокализованного состояния жидкости Латтинжера. Большое количество таких прыжков характерно для высокого уровня квантовых корреляций между частицами, и следовательно в объеме одномерной системы доминируют сверхпроводящие корреляции. Они приводят, как правило, к формированию коллективного поведения в квантовой системе.
Ученым удалось показать, что если парные корреляции и прыжки достаточно сильные, то жидкость Латтинжера сохраняется лишь при достаточно высокой упорядоченности расположения частиц (слабом беспорядке). Но если они расположены весьма хаотично (беспорядок достаточно сильный), то происходит фазовый переход в локализованную фазу Бозе-стекла.
Рисунок 1. Полупроводниковая гетероструктура с квантовой нитью, полученная с помощью субмикронной литографии за счет вытравливания узкой полоски из самой структуры. 1 — полупроводник с широкой запрещенной зоной (например AlGaAs), 2 — полупроводник с узкой запрещенной зоной (например GaAs). Источник: Соросовский образовательный журнал
Для расчетов ученые использовали разные значения параметра κ, равного отношению количества парных прыжков к количеству одиночных прыжков. В зависимости от преимущественного направления этих прыжков параметр может иметь знак минус или плюс. Расчеты проводились для систем различных размеров.
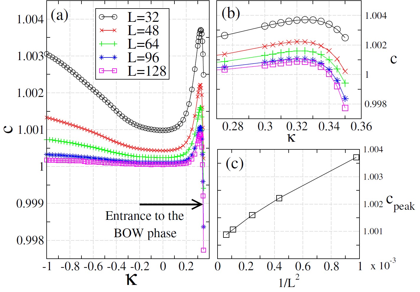
Сначала было исследовано, как ведет себя центральный заряд одномерной системы частиц в чистой системе. Оказалось, что если доля парных прыжков частиц по отношению к одиночным прыжкам превышает одну треть, то наблюдается переход в особое неустойчивое состояние, которое происходит по механизму Березинского — Костерлица — Таулесса.
Рисунок 2. a) Численная оценка центрального заряда в зависимости от отношения парных прыжков к одиночным. b) Выраженные пиковые значения центрального заряда перед фазовым переходом c) Сравнение пиковых значений центрального заряда для систем разных размеров. Источник: Physical Review Journals
Затем ученые построили фазовую диаграмму, которая показывает, при каких уровнях беспорядка и доли парных прыжков частиц наблюдаются фазы жидкости Латтинжера, Бозе-стекла и неустойчивого состояния.
Рисунок 3. Фазовая диаграмма состояний одномерной системы в зависимости от степени беспорядка h и от доли парных прыжков по отношению к одиночным прыжкам частиц. Источник: Physical Review Journals
Оказалось, что если парные прыжки достаточно частые и происходят в направлении, противоположном одиночным прыжкам, то может наблюдаться состояние жидкости Латтинжера. Если парные прыжки достаточно редки, то реализуется только фаза Бозе-стекло. А если парные прыжки происходят часто и в том же направлении, что и одиночные прыжки, то наблюдается особое неустойчивое состояние.
«Результаты нашего исследования могут быть применены для защиты квантовых состояний от декогеренции, что крайне важно для создания квантового компьютера. Упорядоченность расположения частиц в одномерной системе при достаточно сильных квантовых корреляциях между частицами позволяет сохранить сверхтекучее состояние квантового провода», — объясняет Мурод Баховадинов, научный сотрудник РКЦ.
Автор: master_program
