В современной физике существует несколько нерешённых загадок, одна из которых — природа тёмной материи. Новое исследование предлагает неожиданное решение этой проблемы, связывая её с квантовыми эффектами чёрных дыр.
Согласно классической теории, небольшие чёрные дыры должны испаряться через излучение Хокинга — квантовый эффект, при котором виртуальные частицы на границе горизонта событий превращаются в реальные. Одна частица падает в чёрную дыру, а другая улетает, унося энергию и постепенно уменьшая массу объекта.
Однако недавно открытый эффект квантовой памяти может изменить понимание эволюции чёрных дыр. Согласно новой теории, после того как чёрная дыра теряет половину своей начальной массы, процесс испарения останавливается. Это происходит потому, что информационная структура внутри чёрной дыры оказывается энергетически более выгодной, чем состояние частиц снаружи.
Это открытие важно для понимания первичных чёрных дыр — гипотетических объектов, которые могли образоваться в ранней Вселенной. В отличие от обычных чёрных дыр, возникающих при коллапсе звёзд, первичные чёрные дыры могут иметь массу от нескольких граммов до сотен тысяч солнечных масс.

Источник: Phys. Rev. D 111, 023509 (2025). DOI: 10.1103/PhysRevD.111.023509
Исследователи предполагают, что именно первичные чёрные дыры могут составлять тёмную материю — субстанцию, которая не взаимодействует со светом, но влияет на структуру Вселенной через гравитацию. Эта гипотеза объясняет, почему многочисленные эксперименты по поиску частиц тёмной материи на Земле не дали результатов.
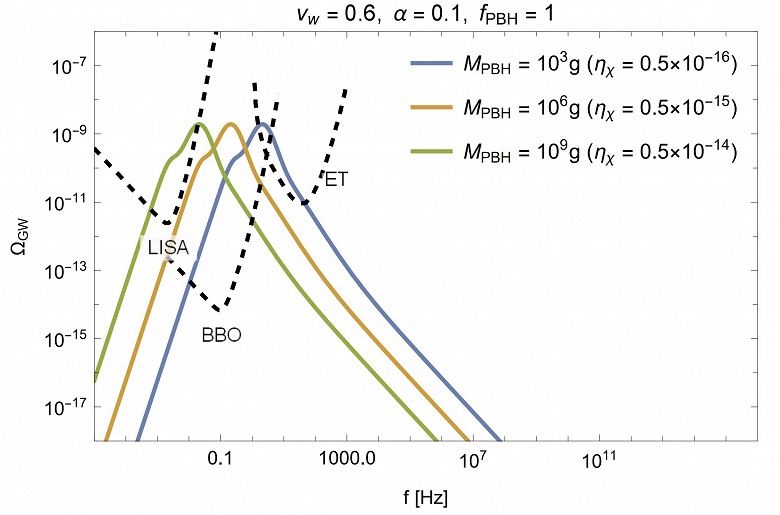
Проверить эту теорию можно будет с помощью детекторов гравитационных волн следующего поколения, таких как LISA, BBO и ET. Если первичные чёрные дыры действительно образовались в ранней Вселенной, то этот процесс должен был создать характерный спектр гравитационных волн с пиком на частотах 0,01–1 Гц и амплитудой порядка 10??.
Обнаружение предсказанного спектра гравитационных волн станет весомым доказательством существования эффекта квантовой памяти и подтвердит гипотезу о том, что первичные чёрные дыры составляют тёмную материю.

