Учёные из Индии провели уникальное исследование рентгеновской двойной системы GX 9+1. Эта система, находящаяся на расстоянии около 16 300 световых лет от Земли, представляет собой маломассивную рентгеновскую двойную систему с нейтронной звездой.
Исследование позволило получить новые данные о спектрополяриметрических свойствах GX 9+1. Команда астрономов под руководством Валлиатту Пракаша из Индийской организации космических исследований (ISRO) провела наблюдения с помощью космического рентгеновского поляриметрического телескопа IXPE и космического «исследователя состава нейтронных звёзд» NICER.

Источник: arXiv (2025). DOI: 10.48550/arxiv.2502.02078
GX 9+1 была открыта и классифицирована как источник ещё в 1965 году. Несмотря на то, что система известна уже более полувека, многие её параметры оставались плохо изученными. Именно поэтому индийские астрономы решили провести детальное исследование этого объекта.
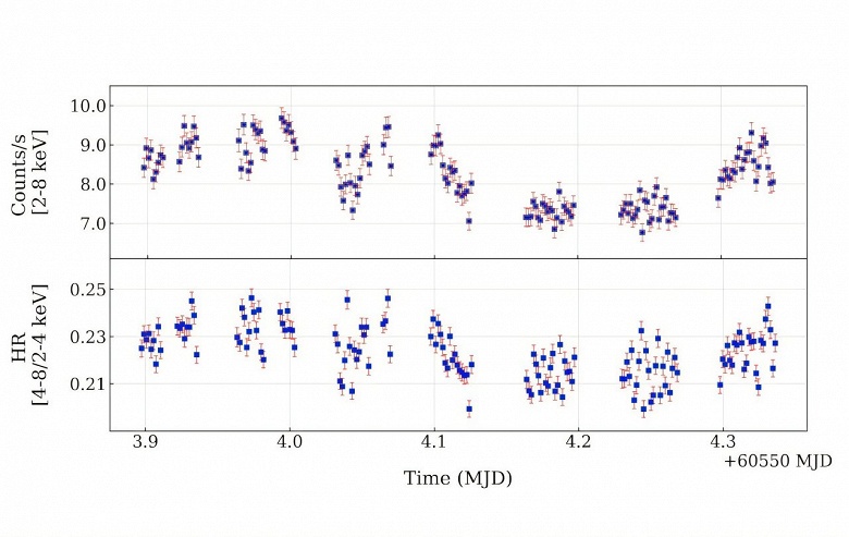
Наблюдения показали, что GX 9+1 оставалась в мягком состоянии на протяжении всего периода наблюдений, который начался в августе 2024 года. При этом были обнаружены значительные вариации скорости счёта в кривой блеска. «Мягкое состояние» в контексте рентгеновских двойных систем характеризуется преобладанием низкоэнергетического рентгеновского излучения, исходящего преимущественно от аккреционного диска вокруг компактного объекта.
Обнаружение значительной поляризации в узком диапазоне энергий 2-3 кэВ с степенью поляризации 3,3% и углом поляризации 11 градусов, при отсутствии заметной поляризации в более широком диапазоне 2-8 кэВ, указывает на наличие специфических физических процессов в исследуемой системе GX 9+1. Это может быть связано с особенностями геометрии магнитного поля, структурой аккреционного диска или механизмами ускорения частиц вблизи нейтронной звезды. Такие данные помогают астрофизикам лучше понять условия и процессы, происходящие в рентгеновских двойных системах, и могут указывать на уникальные характеристики излучающих областей вокруг компактного объекта.
Учёные отмечают, что спектральные свойства системы во время наблюдений соответствуют свойствам других известных ярких источников типа «атолл» в мягком состоянии. Источники типа «атолл» — это особый класс маломассивных рентгеновских двойных систем, содержащих нейтронную звезду и звезду-компаньон малой массы. Они характеризуются умеренной рентгеновской светимостью, наличием рентгеновских всплесков I типа, сменой спектральных состояний и часто транзиентным поведением. Название «атолл» происходит от характерной формы их треков на цветовых диаграммах рентгеновского излучения. Эти источники имеют некоторые общие характеристики с рентгеновскими двойными системами с чёрными дырами, но отличаются меньшей радиояркостью. Изучение таких источников важно для понимания физики аккреции на нейтронные звёзды и эволюции тесных двойных систем.
Это исследование расширяет знания о системе GX 9+1 и вносит вклад в общее понимание физики рентгеновских двойных систем и процессов, происходящих вблизи нейтронных звёзд. Дальнейшие наблюдения и анализ подобных систем помогут учёным лучше понять эволюцию и структуру этих экзотических космических объектов.
