
Несколько лет назад мы – авторы данного материала – изрядно покопавшись в патентах, дневниках и лекциях Н.Теслы (благо, образование позволяло) пришли к выводу, что пресловутая Башня Тесла по передаче энергии не «фейк», а вполне рабочая конструкция.
В результате нескольких лет исследований, размышлений, изучения первоисточников, сопоставления данных, формирования и отсеивания гипотез и т.п. – появилась красивая и, по сути, простая модель, которая строго вписалась в классическую физику и была подтверждена численным моделированием в пакете Ansoft HFSS. С момента начала проекта, мы провели некоторое количество дискуссий в различных сообществах, где от нас требовали «статью для технарей» — в результате появился данный материал.
Этот материал не является строгой теорией (т.е. теорией, учитывающей все возможные аспекты работы Башни Теслы). Тем не менее, мы постарались достаточно полно осветить предлагаемую концепцию и привести адекватные численные оценки основных характеристик процесса. Так что, если Вам интересно разобраться в модели и поучаствовать в конструктивной дискуссии – приглашаем ознакомиться с материалами.
Итак, в нашей науч-поп статье изложено начало концепции – по сути, отправная точка исследований (на формулирование которой, к слову, потребовалось изрядное кол-во времени).
Если совсем кратко, то мы досконально изучили режим работы Башни Тесла следуя его записям и патентам. А из этого уже родилось понимание – какие физ-процессы может вызывать такое устройство в планете Земля, и из этого понимания – возникла уверенность, что передача энергии предложенным (и апробированным) Теслой путем вполне возможна. При этом, мы отталкиваемся от того, что в патенте Теслы присутствует вся полнота описания и нет «скрытых/спрятанных» параметров/процессов. Так что “идеи”, активно муссируемые желтой прессой и СМИ – о том, что Тесла с помощью своей Башни пытался “качать энергию эфира”, использовать “радиантную энергию” и т.п. – полагаем являются лишь фантазиями журналистов, далеких от физики. По нашему мнению, работа Башни полностью укладывается в известные физические законы, не требует привлечения каких бы то ни было новых концепций или физических эффектов, и в этом смысле наша работа (и будущий планируемый эксперимент) носит сугубо прикладной характер – а не характер фундаментальных исследований. Если материал ниже сложен для понимания, то можно ознакомиться со статьей по ссылке выше (она написана для гуманитариев, и содержит ряд неточностей, граничащих с некорректностью, но дает хорошее качественное понимание).
За сим, приступим.
Башня Тесла: характеристики работы

Если отсечь все невозможное, то Башня Тесла (за вычетом не существенных здесь технических нюансов) есть не что иное, как заземленный одним концом спиральный четвертьволновой резонатор (характеризующийся распределенными параметрами), с дополнительной ёмкостью на верхнем конце спирали. Этот резонатор раскачивается задающим генератором (синусоидальный сигнал, частота ниже 20 кГц — если исходить из патентов Тесла, US787412 и US1119732).
Иначе говоря, принципиальная схема башни выглядит следующим образом:

Слева показана физическая уединенная ёмкость на вершине башни (дополнительная к собственной ёмкости катушки), справа – условная эквивалентная схема, где отдельно подчеркнуто, что ёмкость – уединенная, т.е. формально – ёмкость между Башней и бесконечностью, а не между Башей и Землей (т.к. в противном случае получим банальный LC-контур, замкнутый через землю). Для того чтобы минимизировать паразитную ёмкость между башней и землей — т.е. замыкание LC-контура Башни через землю — очевидно, необходимо поднять уединенную ёмкость от грунта (простая оценка показывает, что достаточно поднять ёмкость на высоту, равную нескольким средним диаметрам такой ёмкости — при выполнении такого условия, ёмкость между Башней и Землей уменьшится до значения сопоставимого с собственной уединенной ёмкости Башни).
Как известно из классической электротехники, в режиме резонанса такого резонатора ёмкостное и индуктивное сопротивления взаимно компенсируют друг друга, так что генератор “видит” только активное сопротивление резонатора. В спирали возникает стоячая волна – с узлом напряжения в точке генератора, и пучностью тока там же (при этом на конце резонатора наоборот – пучность напряжения и узел тока). Подробную аналитическую теорию работы такого резонатора можно посмотреть например вот здесь. Если материал по этой ссылке сложен для понимания – то можно упростить без потери сущности: спиральный резонатор такого рода это не что иное как просто четвертьволновая длинная линия, свернутая в спираль – т.е. как и в “вытянутой” длиной линии, в таком резонаторе на резонансной частоте будет существовать стоячая волна токов-напряжений, с узлом напряжения на одном конце линии, и узлом тока – на противоположном конце линии; существенное отличие от “вытянутой” длинной линии – только в усиленной индуктивной и ёмкостной связи между соседними участками такой линии в силу их геометрической близости в спиральной конфигурации, что немного (не в разы) — меняет резонансную частоту и скорость распространения волны вдоль линии.

На рисунке — стоячие волны в длинной линии. Распределение волн: а – напряжения; б – тока в однопроводниковой линии в различные моменты времени (иллюстрация с сайта)
Иначе говоря, Башня является буфером заряда – уединенной ёмкостью, в которую задающий силовой генератор “гоняет” заряд из земли.
При этом, ЭМ-излучение в смысле радиоволн (т.е. поле в дальней, волновой зоне Башни) для нашего диапазона рабочих параметров – фактически отсутствует. Покажем это.
В радиофизике есть понятие спиральных антенн, которое, на первый взгляд, можно соотнести с таким спиральным резонатором. Однако, в отличие от антенн, электрическая длина витка Башни на 3-5 порядков меньше длины волны (т.е. кол-во витков исчисляется тысячами – при том, что вся длина обмотки примерно равна четверти длины волны). При этом, бОльшая часть токов (пучность тока) сосредоточена в нижней половине башни. Иначе говоря, в смысле внешнего ЭМ-излучения, такая структура работает как обычная классическая сосредоточенная индуктивность. Т.е. обычный магнитный диполь.
Известна формула, задающее сопротивление излучения электрически короткой магнитной рамки (магнитного диполя) с длиной волны λ (сопротивление излучения характеризует потери проводника на излучение ЭМ-волн — т.е. потери энергии тока на излучение рассматриваются как формальное активное сопротивление, потери на котором равны потерям на излучения):
(формула 4.30 по ссылке выше)
Где эквивалентная длина диполя lэ связана с радиусом «а» рамки соотношением:

Для случая N витков формула домножается на коэффициент N2 (из очевидных соображений – плотность энергии излучения пропорциональна квадрату амплитуды поля рамки, т.е. квадрату кол-ва витков в рамке).
Итого,

Подставляя наши параметры (частота 10 кГц, т.е. длина волны 30 000 м, радиус катушки – пусть 2 метра, длина обмотки – 10 км, кол-во витков около 800) получаем сопротивление излучения равное 390 наноом. Что пренибрежимо мало по сравнению с потерями на активном сопротивлении системы (составляющем, как минимум, единицы Ом).
Но, помимо тангенциальной составляющей тока в таком резонаторе, есть и осевая компонента (результирующий вертикальный ток) благодаря которой Башня дает, в том числе, излучение обычного короткого электрического диполя, для которого сопротивление излучения связано с диной диполя l и длиной волны λ как:
(формула 4.27 по ссылке выше)
При этом, очевидно, что осевая компонента тока относится к тангенциальной как диаметр провода витка к длине витка. Т.е. примерно на 2 порядка меньше тангенциальной составляющей (при диаметре катушки в 2 метра, и диаметре проводника обмотки в 2 см). И, аналогично логике учета кол-ва витков, эффективное сопротивление излучение уменьшится на квадрат этой величины – т.е. на 4 порядка.
Таким образом, эффективное сопротивление излучения (относительно тока, идущего через генератор) можно с достаточной точностью оценить как:

Что для наших параметров (высоте башни в десятки метров – пусть будет 20 метров для конкретики) дает величину около 35 наноОм, т.е. на порядок меньше, чем излучение от тангенциальной составляющей тока.
В итоге видим, что оба вида излучения (и от тангенциальной, и от осевой составляющих тока) пренебрежимо малы относительно потерь на активном сопротивлении контура, при том что это оценки сверху (т.к. для них величина тока полагается одинаковой на всём протяжении обмотки катушки, в то время как на самом деле ток падает по синусу – и на “горячем конце” катушки имеется узел тока – т.е. ноль тока, и реальное излучение будет в разы меньше оценок выше). Так что любые идеи о том, что Башня работает как антенна – не имеют под собой абсолютно никаких оснований (во всяком случае, до тех пор, пока мы следуем патентам Теслы, а не занимаемся фантазированием). Башня не является антенной в классическом понимании – её радиоизлучение (те. ЭМ-поле в дальней, волновой зоне) пренебрежимо мало, и всё что она позволяет делать – это быть эффективным накопителем для заряда, который генератор заводит-выводит из почвы на частоте работы генератора. Так что “гениальные” возражения вида “у вас обычная спиральная антенна – КПД передачи энергии будет ниже плинтуса”, и прочие “аргументы” исходящие из радиоизлучения такой структуры – лишь демонстрируют полное непонимание оппонентом самых базовых концепций радиофизики.
С Башей разобрались, теперь идем к Земле
Для простоты, начнем с элементарных аналогий – от которых постепенно перейдем к итоговой концепции.
Пусть у нас есть электрически-длинный проводник с разрывом на одном конце, заземленный вторым концом через источник переменного напряжения (электрически длинный — означает, что длина проводника сопоставима/больше длины волны от генератора, исходя из частоты генератора и скорости распространения волны — близкой к скорости света в вакууме):

В такой длинной линии, в случае если потери в линии малы – возникает стоячая волны токов-напряжений (т.е. суперпозиция падающих волн от генератора и волн, отраженных от свободного конца длинной линии). Характерным примером таких линий и таких волн являются обычные электрические вибраторы (то бишь классические антенны), как показано на рисунке ниже.
Распределение тока в симметричных вибраторах различной длины.
Суть стоячих волн в длинной линии достаточно простая для понимания. Можно мысленно разбить весь проводник на отрезки в половину длины волны. Каждый такой отрезок является ёмкостью (т.к. у проводника есть распределенная вдоль него ёмкость) и индуктивностью (аналогично). Соответственно стоячие волны это не что иное как волны токов, заряжающих такие ёмкости — т.е. энергия в такой стоячей волне попеременно запасается то в виде заряда, распределенного вдоль проводника (по синусу) — и в этот момент токи равны нулю, то в виде токов распределенных вдоль проводника (так же по синусу) — и в этот момент поверхностная плотность зарядов вдоль проводника равна нулю. Что по сути повторяет режим работы обычной LC-цепи (катушка индуктивности последовательно соединенная с ёмкостью-конденсатором), но только с учетом распределенного характера ёмкости и индуктивности. Токи в полуволне «стекаются» к центру такого выделенного отрезка — создавая пучность напряжения (т.е. появление поверхностного заряда на проводнике), а в соседнем отрезке «растекаются» от аналогичного центра — создавая заряд противоположного знака, далее этот процесс повторяется (в противоположную сторону — создавая противоположные по знаку заряды на поверхности проводника). Разумеется вышесказанное относится к идеальной линии (без потерь) разомкнутой на конце, в реальной линии с потерями (и/или линии с нагрузкой на конце) процессы несколько сложнее — но принципиальная суть от этого не меняется.
Если переходить к элементарным механическим аналогиям, то наиболее близким процессом будут волны сжатия-растяжения в длинной пружине, возникающие в том случае когда такую пружину (лежащую на опоре с нулевым трением) начинают качать туда-сюда вдоль оси пружины на одном из концов пружины — при закрепленном втором конце. При этом току — соответствует скорость движения соответствующего участка пружины, а напряжению — соответствует степень сжатия пружины. Т.е. в какой-то момент времени все участки пружины будут иметь нулевую скорость — а степень растяжения пружины будет меняться по синусу вдоль ней (эдакие чередующиеся сгустки и разряжения) — чему соответствует нулевой ток в стоячей волне и одновременно максимум напряжения (т.е. максимум поверхностной плотности заряда на проводнике), а в другой момент времени — через четверть периода колебания — наоборот вся пружина будет не деформированной, но мгновенная скорость её участков будет изменяться по синусу вдоль оси пружины (чему соответствует момент нулевой плотности заряда вдоль проводника длинной линии — но максимуму тока в нем).
Потери для такой ситуации в целом можно разделить на 2 составляющих: омические потери, и потери на излучение.
В случае большой длины проводника, и его малом омическом сопротивлении, основной вклад в потери будет давать излучение (т.е. сопротивление излучения).
Как известно, если окружить такую линию заземленным проводящим экраном, то потери на излучение будут нивелированы, и такая структура носит название коаксиального волновода – причем, в нашем примере, волна в таком коаксиальном волноводе будет существовать в виде ТЕМ-моды (портом возбуждения при этом, по сути, является генератор, подключенный через землю — к внутреннему и внешнему проводникам волновода).

По сути, режим ТЕМ-моды можно трактовать, как режим индуктивной связи внутреннего и внешнего проводников волновода через поле ближней зоны токов на этих проводниках (изменение тока на внутренней жиле — вызывает соответственно ЭДС на внешнем экране, причем наведенный на внешнем экране ток направлен против изменения тока на внутренней жиле — т.е. по сути обычная индукция в ближнем поле тока), так что поперечные потоки энергии не просто нулевые в среднем по времени (как для ТЕ или ТМ мод), но нулевые в любой момент времени. Не происходит переотражений от границ волновода – поток энергии носит только продольный характер (т.е. направлен вдоль оси, и соответственно вектор Пойнтинга направлен так же строго параллельно направлению распространения волны – вдоль оси такого коаксиального резонатора).
Поэтому режим ТЕМ-моды в коаксиальном волноводе характеризуется хорошими параметрами (относительно режимов ТЕ или ТМ мод) в части передачи энергии и в части малости коэффициента затухания волны в волноводе, и при необходимости передачи энергии по коаксиальному волноводу – как правило, стремятся использовать именно режим ТЕМ-моды.
Однако, даже если мы удалим заземление внешнего экрана такого волновода, по всей длине экрана кроме его концевых участков – экран будет отлично выполнять свою функцию.

Ведь такой экран в любом случае есть длинная линия, в качествен генератора для которой выступает ЭДС от переменного тока на внутреннем проводнике-жиле. И только на краях экрана – в силу очень малой ёмкости таких краев, будет существовать некоторая пучность напряжения, а на всей остальной длине такого экрана – он будет нормально функционировать. Что подтверждается элементарным моделированием в HFSS.
Далее, что будет, если мы не просто уберем заземление внешнего экрана – но “замкнем” края как показано на рисунке ниже (так что внешний экран станет этакой “капсулой”)? Ответ вполне ясен – эта ситуация не будет отличаться от рассмотренной выше. Экран будет работать по всей длине, а на таких вот окончаниях внешней “капсулы” – будут пучности напряжений (и узлы тока соответственно).

Далее, если внутренний и внешний проводники сделать уже в виде сфер – то мы придем к общей модели предполагаемого эксперимента (пропорции на рисунке, разумеется, не соблюдены):

Как не трудно догадаться, внутренняя проводящая сфера – это Земля, внешняя проводящая сфера – это верхние слои атмосферы (в основном ионосфера). А общая геометрия такого резонатора – это обычный концентрический сферический резонатор (в котором говорить про ТЕМ моду, в строгом смысле – уже нельзя, т.к. в нем существуют только ТЕ и ТМ моды), только с немного необычным способом возбуждения ТМ-моды (т.е. порт возбуждения – не связывает между собой внешнюю и внутреннюю обкладки, как это делается в «классической» электротехнике).
Хотя, в силу переменного сечения внутреннего и внешнего проводников, амплитуды стоячих волн токов и напряжений будут уменьшаться по мере удаления от генератора, общая суть при этом остается той же самой – ТЕМ мода коаксиального (или же ТМ-мода сферического) резонатора, возбуждаемая соответствующим источником (Башней Тесла).
На первый взгляд, идея странная: известно, что проводимость грунта Земли, и ионосферы (в ясный день на освещенной стороне) около 0.001 См/м (плюс-минус порядок), в то время как проводимость например меди – около 58 000 000 См/м. Однако, давайте посмотрим на этот вопрос исходя из численных оценок, а не из интуитивных соображений. И для начала разберемся с сопротивлением грунта Земли. Общая мысль состоит в том, что с точки зрения процессов протекания тока, деление на диэлектрики, полупроводники и проводники – достаточно условно по своей сути, т.к. при достаточно большом сечении диэлектрика – он становится вполне хорошим проводником (т.е. обладает малым итоговым сопротивлением).
Как известно, при достаточной толщине проводника, ток имеет существенное значение только на некоторой глубине, называемой глубиной скин-слоя, которая рассчитывается по формуле:
Где
— удельное сопротивление,
— относительная магнитная проницаемость,
— частота.
Разумеется, это упрощенная формула, применимая для проводника, а не диэлектрика – однако на наших сверхнизких частотах потери связанные с диэлектрической проницаемостью грунта — малы, так что в качестве оценки – такая формула вполне применима.
Для диапазона частот 1-10 кГц, и диапазона проводимостей 0.001-0.00001 См/м глубина скин-слоя лежит в диапазоне от сотни метров до нескольких километров. При этом, чем ниже будет частота – тем больше толщина скин-слоя, т.е. тем меньше омические потери в планетарном резонансе (обратно пропорционально корню из частоты).
Таким образом, мы приходим к выводу, что, рассматривая чисто активное сопротивление Земли (как шара из грунта, т.е. материала имеющего проводимость на уровне 0.01-0.0001 См/м), и подразумевая диапазон частот не ниже 1 кГц (т.к. еще меньшие частоты не реализуемы с практической точки зрения — исходя из требуемых технических параметров Башни Тесла) необходимо ограничиться километровым слоем. Отметим, что Тесла, видимо, не вполне отдавал себе в этом отчет – и искренне полагал, что токи от его установки идут вглубь земли (а не бегут по поверхности оной), как это указано в нашей научно-популярной статье. Согласно современным данным по электродинамике – этого, разумеется, не может быть.
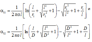
Сопротивление между двумя стержнями, погруженными в плохо проводящую среду (например в грунт) задается формулой:

Где

Здесь L – длина стержней, D – расстояние между ними, r1 – радиус сечения стержней,
— удельная проводимостью среды.
Интересно отметить, что исходя из этой формулы, начиная с расстояния между стержнями много большего длины стержней – сопротивление между стержнями фактически становится константой (перестает расти по мере роста расстояния).
Так, например, для двух стержней длиной 30м, диаметром 0.2 м, и проводимости грунта около 0.04 См/м (что корректно для верхних слоев почвы) характерное сопротивление (между ними) лежит в диапазоне 1-3 Ом – начиная с расстояния в метры, и далее (без ограничения дальности расстояния) остается таковым при любом увеличении расстояния между стержнями. Так что идея о том, что Земля – плохой проводник (как объект в целом) – это, разумеется, интуитивное заблуждение, и будь так – заземление просто не имело бы смысла.
Так же особенностью данной формулы является тот факт, что начиная с некоторой длины стержней – дальнейший рост длины стержня не приводит к заметному уменьшению сопротивления между стержнями (т.е. иначе говоря, итоговое сопротивление между приёмником и передатчиком – слабо зависит от глубины скин-слоя). Что в целом является известным фактов в части заземляющих систем (данный характерный график взят с этой страницы).

Таким образом, у нас есть все основания для оптимизма по части сопротивления всей поверхности Земли.
Сделаем теперь более строгие оценки
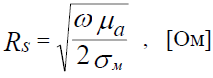
Постоянная затухания, характеризующая потери на стенках волновода в силу активного сопротивления, для ТЕМ-моды коаксиального волновода

(к которому близка большая, центральная часть Земли-резонатора как показано на рисунке выше) задается формулой (см. например тут):

где Rs1 и Rs2 — поверхностные сопротивления металла внутреннего и внешнего цилиндров волновода, которые можно определить по формуле:

Здесь мю – это абсолютная магнитная проницаемость (для подавляющей части поверхностного грунта – это соответственно просто магнитная постоянная).
Сразу отметим, что под корнем стоит отношение частоты и проводимости – т.е. меньшая по сравнению с металлами проводимость во многом компенсируется килогерцевым диапазоном частот (в то время как коаксиальные волноводы применяют для частот в гигагерцы), а то что отношение стоит под знаком корня – еще больше “улучшает” ситуацию. Итого, для наших параметров (f=3 кГц, и σ=0.01 См/м получаем величину в 1.06 Ом) характерная величина поверхностного сопротивления (и земли и ионосферы) порядка одного Ома, плюс-минус порядок.
Один Ом – это, казалось бы, всё еще достаточно большая величина. Однако, добротность объемного резонатора пропорциональна его линейным размерам (т.к. кол-во энергии в резонаторе пропорционально объему оного, а потери – пропорциональны площади стенок резонатора). Что находит отражение в формуле в числителе. Радиусы D и d в нашем случае имеют колоссальное значение (D=6 600 000 м, d = 6 400 000 м,), что с лихвой перекрывает относительно большую величину поверхностной проводимости стенок волновода, так что постоянная затухании для наших параметров может быть оценена по формулам выше как 10-8-10-9 1/м.
В реальности, бОльшая часть поверхности планеты покрыта хорошим электролитом (соленая океаническая вода) – т.е. данная оценка это оценка сверху.
Постоянная затухания равная 10-9 означает, что за всю длину пути «x» волны до противоположной точки Земного Шара (примерно 20 000 км) амплитуда волны упадет на величину
=2%.
Чему соответствует крайне высокая добротность резонатора Земля-Ионосфера (на порядки выше, чем сотня) для такой моды, в отличие от механизма распространения обычных радиоволн через переотражение от границ земли-ионосферы. И даже ухудшение оценочной проводимости на 1-3 порядка (что имеет смысл для ионосферы) не приводит к фатальным последствиям в части самой возможности существования такого резонанса.
Мы убедились, что в принципе, искомый резонанс (исходя из фактических параметров резонатора) может иметь место, хотя реальная добротность такого резонанса может иметь вилку примерно в 2-3 порядка (но даже при самом худшем сочетании параметров – не должна быть ниже сотни).
Аналогичные оценки возможной высокой добротности ТМ-мод в резонаторе Земля-ионосфера даны в работе М.В. Давидовича – “моды многослойного концентрического сферического резонатора”.
Если говорить про строгий подход, то разумеется необходимо рассматривать полноценный концентрический резонатор в режиме ТМ-мод (например, неплохой обзор по этому вопросу можно найти по этой ссылке, для интересующихся более глубокими теоретическими аспектами — можно порекомендовать вот эту и вот эту работы).
Первые гармоники нулевой ТМ-моды – соответствуют явлению т.н. резонанса Шумана. Однако, если говорить про частоты в районе нескольких килогерц, то помимо нулевой моды – так же будут возбуждаться и следующие за ней моды (для 10 кГц – это номера мод в диапазоне 0-6).
Действительно, из формулы

для первой моды – низшая гармоника будет иметь частоту около 1.5 кГц, для второй моды – 3 кГц, и т.п.
При этом, как следует из формулы задающей частоты гармоник для каждой из таких мод, начиная с первой моды и далее – “плотность” расположения гармоник по частотной оси крайне велика (если для нулевой моды гармоники идут с шагом порядка 10 Гц, то для остальных мод попадающих в диапазон ниже 10 кГц – с шагом порядка 0.01-0.1 Гц). Так что, осуществляя возбуждение ТМ-мод такого резонатора на частотах в диапазоне нескольких килогерц, по сути невозможно говорить о какой-то конкретной моде/гармонике: итоговая картина стоячих волн будет соответствовать чрезвычайно большому количеству гармоник, сразу для нескольких мод. Что принципиально отличает такой резонанс от резонанса Шумана.
Есть и другое принципиальное отличие. Как известно (например, см. здесь – стр. 8), для пассивного резонатора, добротность гармоник растет с ростом частоты – примерно пропорционально корню из оной. Однако, резонатор Земля-ионосфера не является пассивным. В самом деле, электрическая машина Земли поддерживает примерно постоянную разность потенциалов между обкладками планетарного конденсатора (грунт-атмосфера). В случае удара молнии, данный потенциал уменьшается – однако восстанавливается за характерное время измеряемое секундами, при этом характерная плотность тока дозарядки – составляет порядка 0.1-1 ампера (стр. 6-8) на квадратный километр. Иначе говоря, Земля работает по сути как источник ЭДС, выравнивающий (впрочем, весьма медленно) разность потенциалов на некоем среднем уровне. Очевидно, что в случае сверх-низкочастотных колебаний, соответствующих резонансу Шумана (первые гармоники нулевой ТМ-моды резонатора), наличие такого источника ЭДС приводит к резкому ухудшению добротности резонанса: в случае отклонения потенциала от среднего уровня, этот источник ЭДС стремится скомпенсировать отклонение, что означает активное подавление ТМ-моды – а учитывая планетарные масштабы явления, это подавление может носить значительный характер. К сожалению, данный фактор не учитывает ни в одной из известных нам моделей резонанса ТМ-мод в резонаторе Земля-ионосфера – и причины этого понятны: до сих пор нет единой однозначной модели механизма возникновения этого источника ЭДС, и более того – как и всякие явления связанные с атмосферным электричеством, данный механизм существенно нелинеен, так что сколь-нибудь адекватное моделирование (учет) этого фактора для ТМ-мод резонатора пока не возможен – не достаточно данных.
Тем не менее, известны данные по добротности первых гармоник нулевой ТМ-моды резонатора Земля-ионосфера (данные свежие – 2011 год):

Из этих данных видно, что с ростом номера гармоники – фактическая добротность растет быстрее, чем корень из частоты (т.е. быстрее, чем для пассивного резонатора). Учитывая относительную “медленность” механизма дозарядки планетарного конденсатора, именно для низших гармоник нулевой моды данный механизм будет оказывать наиболее сильное влияние – т.к. с ростом частоты можно ожидать роста добротности резонанса с существенно большей скоростью, нежели корень из частоты.
Интересно отметить, что в 2011 году (что отражено в данных по ссылке выше) были обнаружены токи в ионосфере (соответствующие резонансу Шумана) на высотах (400-800 км), для которых все известные предыдущие модели давали полное отсутствие таких токов. Де-факто, существующие модели проводимости ионосферы оказались некорректными – и их нельзя использовать для построения моделей резонанса ТМ-мод в резонаторе Земля-Ионосфера.
Таким образом, есть основания для проведения прямых замеров добротности итогового резонанса на частотах в несколько килогерц – как исходя из теоретических предпосылок, так и исходя из фактических результатов, полученных Теслой. Прямой же аналитический (или численный) расчет невозможен – слишком сложным и плохо известным объектом является Земля сразу в большом кол-ве своих параметров/характеристик.
Предлагаемая же схема эксперимента фактически не имеет отношения ни к резонансу Шумана (принципиально другие добротности, а так же дополнительные ТМ-моды и гармоники резонанса), ни к передаче энергии радиоволнами (т.е. волнами ЭМ-поля дальней волновой зоны обычных радиоизлучателей) — о чем прямо и заявлял Тесла.
Разумеется, как уже упоминалось выше, поскольку сечение резонатора не является постоянным, то и волновое сопротивление (задающее отношение напряжения в линии — к току в ней же) будет так же переменным: максимум напряжения будет иметь место на пучностях вблизи от башни (и противоположного конца планеты), минимум – на “экваторе” от Башни, что подтверждается численным расчетом в HFSS (и соответствующими аналитическими формулами например для нулевой ТМ-моды такого резонатора).

На рисунке приведено распределение амплитуд электрического E и магнитного B полей для первых 3-х гармоник нулевой ТМ-моды резонатора Земля-ионосфера.
“Заземление” для резонатора Земля-Ионосфера
Откуда мы возьмем “заземление”, к которому подключается генератор для накачки такого резонатора на ранее приведенном рисунке?

Ответ прост – поскольку мы ранее уже провели анализ работы Башни Тесла. С точки зрения генератор, Башня Тесла с практической точки зрения ничем не отличается от некоей внешней земли (подключенной через активное сопротивление Башни). Т.к. генератор “видит” только активное сопротивление башни, но никак не реагирует на величину заряда, накопленного на башне (ибо ёмкостное и индуктивное сопротивления в режиме резонанса – компенсируют друг друга) — иначе говоря, для генератора башня это и есть “заземление” через сопротивление, равное активному сопротивлению башни.
Разумеется, как уже отмечалось выше, такой заряд вызывает перераспределение зарядов в грунте в окрестности от Башни – но чем выше поднят накопитель заряда Башни, тем менее значим этот фактор (т.к. уменьшается ёмкость Башня-Земля). Достаточно поднять накопитель заряда на высоту заметно большую, чем размер накопителя – чтобы Башня Тесла стала действительно “внешней землей” для задающего генератора (т.е. достаточно минимизировать ёмкость между башней и землей — так, чтобы собственная уединенная ёмкость Башни стала хотя-бы одного порядка с ёмкостью Башня-Земля).
КПД передачи энергии
После установления по всей планете стоячих волн напряжений и токов (при этом токи будут иметь крайне малую амплитуду – в отличие от напряжений) возможно эффективное снятие этой энергии аналогичной системой (Башней – но уже без генератора). Физ-процессы при работе приёмника характеризуются созданием связи между резонансными контурами (башни-приёмника), что позволяет получать высокий КПД передачи даже при крайне низком коэффициенте связи источника и приёмника (строго в соответствии с классической электротехникой).
Рассмотрим данный вопрос подробнее.
В случае расположения приёмника (т.е. аналогичного контура) в пучности напряжения (и узле тока) итоговой стоячей волны, переменный потенциал поверхности будет являться источником ЭДС для приёмника. При этом, в приёмнике будет возбужден резонанс – полностью аналогичный резонансу в источнике, соответственно приёмник будет генерировать стоячую волну так же полностью аналогично источнику. При этом, поскольку приёмник расположен в пучности напряжения (и узле тока), то генерируемая им волна будет, очевидно, создавать дополнительную нагрузку на источник – тем самым создавая систему в виде т.н. резонансных связанных контуров (беглый обзор по этому вопросу можно найти здесь и здесь). Действительно, в пучности напряжения внешней волны – приёмник имеет узел напряжения (и пучность тока), и работает на той же частоте, т.е. в области расположения источника – приёмник будет создавать пучность напряжения (и узел тока), которую источник и будет “видеть” как дополнительную нагрузку. Что отлично видно на видео (соответствующего моделировании в HFSS).

На видео, и на рисунке выше – источник расположен в левой верхней области, область расположения приёмника выделена в правой около-центральной части. Видно, что в области приёмника постоянный минимум поля – что и означает эффективную откачку энергии из планетарного резонанса. Так же хорошо видна интерференционная картина волн, испускаемых приёмником и источником.
Для такого рода систем (т.е. резонансных связанных контуров), КПД передачи энергии определяется произведением коэффициента связи систем k и их добротности Q. Коэффициент связи — это, грубо говоря, коэффициент, определяющий — какую часть энергии резонанса контура-источника «видит» контур-приёмник. Например, для близко расположенных катушек индуктивности (особенно если они намотаны на одном сердечнике) коэффициент связи стремится к единице, и падает по мере разнесения катушек (т.к. по мере такого разнесения — падает ЭДС, наводимая катушками друг в друге). Типичный график зависимости КПД от произведения коэффициента связи на добротность – приведен ниже (взят из документа по ссылке выше):

Физический смысл этой зависимости очевиден: даже если за один период колебаний приёмник «забирает» лишь малый процент энергии источника, но за этот же период (в силу высокой добротности резонанса) потери энергии в суммарном резонансе малы – то КПД передачи (определяющий отношение переданной и рассеянной энергий) будет высоким. Т.е. для высокого КПД передачи в общем случае не требуется высокий коэффициент связи контуров — большая добротность резонанса может компенсировать малость коэффициента связи.
Оценим коэффициент связи между источником и приёмником – в предположении высокой добротности резонатора Земля-ионосфера (для чего, как указывалось выше – есть все основания).
Пусть частота — 10 кГц. Это значит, что Земля поделена на «кольца» шириной 30 км, коих соответственно на длину половины периметра — приходится около 700. Ёмкость Земли как уединенного проводника — около 700 мкФ. Пусть ток в Башне (источнике) — 1 кА (это соответствует мощности генератора как минимум в несколько мегаватт). Для длинной линии-Земли, наши «кольца» — это параллельные ёмкости. Т.е. ёмкость, приходящуюся на одну длину волны в районе «экватора» от башни — можно оценить в c1=1 мкФ (700 мкФ/700 волн). Что при токе в 1 кА (идущем на подзаряд каждой из таких ёмкостей) дает напряжение около 15 кВ (по стандартной формуле U=I*Rc=I/(c1*w) ). Всё поле (для ТМ-моды) сосредоточено примерно на длине, равной половине длины волны (перпендикулярно грунту), как это следует из моделирования в HFSS (и/или из соответствующих аналитических формул на которые приводились ссылки выше). Для 10 кГц — это 15 км.

Что означает напряженность поля около грунта — всего один вольт на метр (при фоновой напряженности вертикальной составляющей поля — около 130 вольт на метр). Это — «на экваторе», а в ближайших к башне пучностях (т.к. ёмкость меньше на 1-2 порядка) будет соответственно на 1-2 порядка больше. Т.е. башня-приёмник «увидит» напряжение в сотню киловольт (и напряженность поля будет около 10 в/м) — если расположена на дистанции в десятки км от источника. В данной ситуации — переменный потенциал грунта велик, но напряженность поля — мала, ибо поле распределено вертикально на большой дистанции — в десятки км (что вполне позволяет говорить даже при гигаватную мощность передатчика — так чтобы не выходить за фоновый уровень напряженности поля около поверхности Земли). В случае если мы говорим про «экватор», при указанных параметрах, и итоговом резонансном напряжении в источнике, например, в мегавольт (а на экваторе, как следует из оценки выше, в 10 киловольт) — коэффициент связи, соответственно, около 1% (и десятки % на дистанции в десятки км от источника), т.к. коэффициент связи можно определить как отношение напряжений на индуктивности приёмника (при разомкнутом контуре приёмника) – и работающего источника (разумеется, при одинаковых параметрах приёмника и источника). Исходя из возможной добротности резонанса в районе нескольких сотен, такой коэффициент связи означает КПД передачи как минимум в десятки % — для экватора, и вполне может дать цифру выше 90% — для дистанции в десятки км (что соответствует заявлениям, сделанным Тесла по соответствующим экспериментам). Однако, в силу проблем с моделирование и расчетом реальной добротности резонанса, пытаться сделать более точные оценки, по сути, смысла нет (по большому счету, всё зависит от реальной добротности резонанатора-Земли, и резонатора-башни – моделирование же может дать ошибки в порядки). Так что единственный адекватный вариант – это постановка полномасштабного эксперимента — для чего, очевидно, необходимо построить полный аналог башни Тесла. Это позволит как воспроизвести «ту самую Башню Тесла» и «тот самый эксперимент», так и расставить все «точки над и» в вопроса КПД передачи для больших расстояний. В то же время, у нас нет никаких сомнений в высоком КПД передачи для конфигурации эксперимента, соответствующей параметрам исходных экспериментов Тесла (т.е. для расстояния в сотню километров), что в любом случае интересно с практической точки зрения.
Дополнительные соображения
Помимо собственно патентов, посвященных Башне, Тесла так же запатентовал устройство для детекции стоячих волн напряжений в грунте, возникающих вследствие удара молний. Данное устройство описано в патенте US787412 . Суть данного детектора, переводя на современный язык — состоит в организации т.н. синхронного детектора (или lock-in amplifier). Вот что написано по этому поводу в википедии:
The lock-in amplifier is commonly believed to be invented by Princeton University physicist Robert H. Dicke who founded the company Princeton Applied Research (PAR) to market the product. However, in an interview with Martin Harwit, Dicke claims that even though he is often credited with the invention of the device, he believes he read about it in a review of scientific equipment written by Walter C Michels, a professor at Bryn Mawr College. This was probably a 1941 paper by Michels and Curtis, which in turn cites a 1934 paper by C. R. Cosens.
Очевидно, как и многие другие идеи и патенты Теслы по которым он объективно имел приоритет — его современники не разобрались в том, что и как делал Тесла, так что приоритет относят не к нему и датируют датой на пару — тройку десятилетий позже. Однако внимательный анализ устройства по детекции стоячих волн, использованного Теслой, не оставляет никаких сомнений в том, что приоритет изобретения синхронного детектора принадлежит именно Тесле.
В самом деле, суть устройства использованного Теслой состояла в том, что на заданной частоте (и заданной скважности — см. патент) он создавал поочередное замыкание одного из контактов конденсатора-накопителя с груном (в это время второй контакт конденсатора находился «в воздухе»), чисто механическим способом — используя скользящие контакты на соответствующем барабане (F на рисунке ниже).

Таким образом, при условии совпадения частоты стоячей волны в грунте, и частоты замыкания контактов в приёмнике, конденсатор Т постепенно накапливал заряд — а затем принудительно разряжался через приёмник R (позволяющий регистрировать ток разряда такого конденсатора-накопителя). Что в явном виде и является логикой синхронного детектора. При этом, поскольку длина проводов соединяющих конденсатор с грунтом — была много меньше длины волны, то говорить об ЭМ-наводках на такие провода (от ударов молний) не приходится — они будут ничтожными.
Вот что писал по этому поводу сам Тесла — и с чего начался его путь в этой области:
The date I shall never forget — when I obtained the first decisive experimental evidence of a truth of overwhelming importance for the advancement of humanity. A dense mass of strongly charged clouds gathered in the west and towards the evening a violent storm broke loose which, after spending its fury in the mountains, was driven away with great velocity over the plains. Heavy and long persisting arcs formed almost in regular time intervals. My observations were now greatly facilitated and rendered more accurate by the experiences already gained. I was able to handle my instruments quickly and I was prepared. The recording apparatus being properly adjusted, its indications became fainter and fainter with the increasing distance of the storm until they ceased altogether. I was watching in eager expectation. Surely enough, in a little while the indications again began, grew stronger and stronger and, after passing thru a maximum, gradually decreased and ceased once more. Many times, in regularly recurring intervals, the same actions were repeated until the storm, which, as evident from simple computations, was moving with nearly constant speed, had retreated to a distance of about three hundred kilometers. Not did these strange actions stop then, but continued to manifest themselves with undiminished force. Subsequently, similar observations were also made by my assistant, Mr. Fritz Lowenstein, and shortly afterwards several admirable opportunities presented themselves which brought out still more forcibly and unmistakably, the true nature of the wonderful phenomenon. No doubt whatever remained: I was observing stationary waves.
Исходя из фактического устройства детектора, нет никаких сомнений в том, что факт работы такого детектора — а именно, периодическое синусоидальное изменение амплитуды энергетики процесса по мере хода и удаления грозы (на сотни миль), регистрируемого детектором — однозначно свидетельствовал именно о стоячих волнах напряжения на грунте Земли, что и было для Тесла отправной точкой его исследований.
По совокупности информации, приведенной выше — есть все основания для постановки полномасштабного эксперимента с целью окончательного подтверждения работоспособности Башни Тесла.
Если представленный материал слишком сложен для понимания — то более «гуманитарное» изложение (местами граничащее с некорректностью, но дающее хорошее понимание того, что мы собираемся сделать в плане эксперимента) можно найти, например, по этой ссылке.
Авторы: Сергей Плеханов, Леонид Плеханов
F.A.Q.
Ниже — список наиболее часто задаваемых вопросов, с ответами. Если у Вас есть вопрос — пожалуйста, прежде чем задавать его, убедитесь, что его нет в списке ниже, либо приведите аргументацию — почему приведенный ниже ответ на такой вопрос является неубедительным.
• Если эта идея рабочая — то не убьют ли токи в грунте земли всё живое что там есть?
Таких рисков нет. Просто потому, что плотность тока в поверхностном слое Земли будет мизерная (возьмем 2 килоампера в Башне, и распределим такой ток по периметру в 20 000 км длиной, и 100 метров глубиной; получим плотность тока — порядка 1 мкА на квадратный метр, что не ощутит ни один живой организм). Т.е. большой переменный внешний потенциал от заряда на грунте (киловольты и выше) — сочетается с очень малыми токам, и одновременно вертикальная составляющая напряженности электрического поля около грунта — мала (много меньше фоновой величины в 130 вольт на метр). По мере роста высоты — напряженность поля (и без того малая) будет падать, так что самолетам и спутникам -) тоже ничего не грозит.
• Вы делаете планетарную микроволновку.
К механизму нагрева вещества микроволновым излучением процессы связанные с Башней Тесла не имеют абсолютно никакого отношения. Омические потери, разумеется, будут — но даже гигаватт, распределенный на площадь всей планеты — это все равно, что спичкой греть море.
• У вас модель в HFSS некорректная — вы взяли две сферы из металла и конечно получили ТМ-моду.
Нет, мы не брали сферы из проводников — а честно заложили проводимости грунта и ионосферы, исходя из их табличных значений. Соответственно и размер модели — большой (чтобы благодаря площади сечения диэлектрика-грунта, его можно было рассматривать как проводник).
• Понятно, что ТМ-моду можно возбудить. Но как на практике можно пробросить порт от грунта до ионосферы?
А этого и не надо делать — см. в статье выше. Достаточно подключения генератора только к грунту, остальное будет автоматически наведено переменными токами в окрестности Башни. Т.е. формально можно считать антенной — круговую область грунта около башни, с радиусом порядка длины волны.
• Земля — диэлектрик, так что ток не проводит, и ничего не получится.
Грунт отлично проводит ток, см выше. На заре ЖД индустрии обратным проводником служила как раз Земля, и совершенно замечательно работала в качестве такового (не внося сколь-нибудь заметного сопротивления). К тому же, будь грунт в целом — плохим проводником, обычное заземление было бы бесполезно (т.е. не работало бы — а практика показывает обратное).
• У вас обычная радиоантенна, КПД передачи будет ничтожным.
Как показано выше, к радиоантеннам Башня не имеет ни малейшего отношения — т.к. собственно радиоизлучение у неё в практическом смысле — отсутствует (т.е. оно на очень много порядков меньше потерь на омическое сопротивление Башни).
• Чем это всё отличается от Шумана? Обычный резонанс Шумана, все это знают и поэтому идея не работоспособна. И ничего нового в этом нет.
Резонанс Шумана — это не резонанс конкретной моды, а явление шума на первых гармониках нулевой ТМ-моды, связанное с наличием импульсной накачки резонатора Земля-Ионосфера на частоте около первой моды (10 Гц — т.к. в среднем в секунду происходит около 40-50 разрядов молний, из которых по статистике только 20%-25% бъют в землю), и с тем фактом что средняя частота разрядов распределена по поверхности планеты не равномерно (с характерным масштабом неоднородности такого распределения — порядка длины волны первых гармоник). Иначе говоря, шум резонанса Шумана — связан с наличием (хотя и слабой) пространственно-временной когерентности ударов молний. Т.е. если бы молнии били равномерно по всей поверхности — резонанса Шумана (т.е. шума на частотах первых гармоник) не было бы. Или если бы средняя частота удара молний была бы не 10 Гц, а 10 кГц, то максимум энергии был бы совершенно на других гармониках/модах. Кроме того, в резонансе Шумана возбуждается только нулевая ТМ-мода, а для наших частот — будут активно участвовать и следующие моды. Таким образом, хотя косвенная связь с резонансом Шумана и есть — но наш случай это не резонанс Шумана. Принципиально новых физических эффектов мы действительно не предлагаем – всё строго в рамках того, что уже давно известно в соответствующих разделах физики. Мы лишь “склеили” известные знания в объяснение работоспособности Башни Тесла.
• Добротность резонанса будет низкой — потому как у вас, по сути, Шуман, так что стоячей волны не получится, будет бегущая волна с большим затуханием.
Не верно, во-первых у нас не Шуман — см. вопросы выше, во-вторых даже для первых гармоник нулевой ТМ-моды (т.е. для резонанса Шумана) добротность доходит до 10-ки (см. пруфы выше), что означает время затухания энергии в несколько десятых секунды — т.е. очень много. И согласно фактически экспериментальным данным, добротность с ростом номера гармоники (т.е. с ростом частоты) — растет, причем быстрее, чем корень из частоты. Так что стоячая волна — будет, и ожидаемая добротность на нашем диапазоне частот составляет как минимум несколько сотен.
• Если в грунте будут проводники электрически-длинные относительно длины волны — у вас волна будет на них концентрироваться и затухать.
Не верно, проводники в грунте (например, трубы систем отопления и т.п.) означают локально улучшенную проводимость грунта, что приведет только к возрастанию добротности резонанса — т.е. увеличению КПД передачи энергии. Реально в качестве такого «оттягивающего» проводника может работать только проводник достаточной длины, находящийся не в грунте, но — заземленный одним концом. Таковых не наблюдается (провода линий ЛЭП, при том что они достаточной длины, разумеется не заземлены — т.е «не видят» переменного потенциала грунта, а наводки от внешнего поля грунта буду слабы — т.к. мала напряженность поля, см. выше — велик только переменный потенциал самого грунта, но не поле от такого потенциала).
• При таком подходе невозможна адресная доставка энергии, так что в такой технологии — даже если она заработает — нет никакого смысла.
Можно идти не путем адресной доставки, а путем контроля доставки. Любой приёмник будет генерировать волну, которую можно элементарно засечь. Для отбора сколь-нибудь высокого по плотности потока энергии — потребуется очень хорошее заземление и высокодобротный приёмник (т.е. фундаментальная и дорогая конструкция). Так что делать фундаментальную конструкцию, для того чтобы её функционирование было пресечено на следующий день — экономически не целесообразно.
• А вы не боитесь, что создадите второй Тунгусский метеорит? Можно ли как-то защититься от поля, создаваемого установкой?
Нет, не боимся. Чтобы всерьез об этом говорить, надо иметь четкую модель того что такое тунгусский метеорит и как его вызвать Башней. У нас такой модели нет. Если же есть острое параноидальное желание защититься от поля, создаваемого стоячей волной – то, разумеется, это можно сделать (например — заглубив объект под землю, т.е. по сути просто хорошо заземлив всю его внешнюю поверхность – что просто и недорого, либо же поставив отдельный приёмник — снимающий и отводящий энергию при достижении некоего порога плотности энергии).
• Вы не учли возможную электрохимию при протекании тока в грунте.
Да, разумеется. Как только вы дадите нам подробную карту (с разрешением хотя-бы в километр) электрохимических свойств грунта всех материков Земли (на глубину хотя-бы в 100 метров) — мы непременно учтем это в модели. Но в обозримом будущем таких данных не предвидится.
• Вы влезете в диапазон СДВ-связи, и/или связи подлодок, и «за вами придут».
Во первых, отдельный чистый синус — не сможет нарушить связь (т.е. фильтруется совершенно элементарно). Во вторых, при высоком значении переменного потенциала грунта Земли, напряженность поля будет малой (в силу достаточно большой области распределения поля в вертикальном направлении). В третьих, эксперимент разумеется нужно проводить под эгидой одного из НИИ, в этом случае соответствующие «разрешения» на эксперимент — проблемой не станут.
• Как будет сказываться факт работы нескольких башен/приёмников одновременно?
Никак. Если частоты башен одинаковы — то итоговая стоячая волна будет просто несколько более сложной формы (как результат интерференции волн от нескольких башен), чем от одной Башни — что никак не скажется на работоспособности системы. Если же частоты разные — то в силу очень высокой добротности контуров (у источника и приёмника), частотная избирательность контуров будет огромной, т.е. башни по сути просто «не будут видеть» никаких частот кроме собственной. Т.е. суммарное поле в резонаторе Земля-ионосфера будет существовать в форме биения частоты, но на работе системы это никак не скажется.
• Не возникнет ли большого шагового напряжения — аналогично тому как это происходит при падении на грунт оборванного конца ЛЭП?
Нет, не возникнет. Если, например, взять амплитуду переменного потенциала грунта в пучности напряжения стоячей волны равную 15 киловольт, и длину волны в 30 000 м (что соответствует частоте 10 кГц, и мощности источника много больше мегаватта), то это даст «шаговое напряжение» (т.е. градиент потенциала вдоль поверхности земли) около 2 вольта на метр. Что совершенно безопасно. Основное отличие от обрыва провода ЛЭП в том, что площадь контакта провода ЛЭП с грунтом минимальна — что дает очень большое сопротивление заземления. В результате подавляющая часть напряжения падает на небольшой (короткой) окрестности от конца провода, что и приводит к высокому шаговому напряжению для такого случая. В случае же стоячей волны от Башни Тесла, «область локализации» напряжения очень велика (половина длины волны — т.е. десятки км), так что шаговое напряжение — мало.
Автор: grekmipt
