
В статье изложен методологический подход к определению степени влияния человеческого фактора на функционирование больших информационных систем.
Введение
Современные информационные технологии и инновационные компьютерные и телекоммуникационные аппаратно-программные решения позволяют по-новому подойти к проблемам создания, сопровождения и модернизации больших корпоративных информационных систем.
Рассматривая такие системы, нельзя не учитывать роль человека, для облегчения труда которого, собственно, и создаются подобные системы. Человеко-машинная система, в которой человек или группа людей взаимодействует с техническим устройством в процессе производства материальных ценностей, управления, обработки информации, выполняет свои задачи благодаря совместной работе устройств и людей, которые рассматриваются как неотъемлемые составляющие части всей системы. При этом следует отметить, что любая такая система является уязвимой в силу своей зависимости от множества разнородных факторов.
По данным за период с 1996 г. Корпорации по исследованиям в области планирования на случай возникновения чрезвычайной ситуации в банках МВФ 10% угроз отказов информационных систем исходит от обслуживающего персонала. По другим данным американских источников, в целом степень влияния человеческого фактора на информационные системы еще выше и составляет до 30%, причем до 18% из них приходится на небрежное и халатное отношение к обработке или вводу информации.
Не менее важен вопрос защиты информационных систем от угроз, которым они могут подвергаться, и участия человека в этом вопросе. Согласно одному из проводимых опросов, проводимых в 2005 году, в России самой серьезной угрозой названы непреднамеренные ошибки сотрудников [5].
Человеко-машинная система — не автомат, поэтому одним из решающих факторов, влияющих на работу системы, является непредсказуемый человеческий фактор, оценке роли и важности которого и посвящена данная работа.
1. Основные понятия и определения
Любая большая информационная система не может полностью работать в автоматическом режиме. Всегда найдутся операции, которые в силу своей специфики невозможно или слишком «дорого» автоматизировать. Чем больше таких операций, особенно в основной технологической цепочке работы информационной системы, тем более зависимой она становится от индивидуальных свойств человека. Отметим ряд типичных характеристик человека, взаимодействующего с информационной системой, от которых зависит и его способность принимать решения в штатных и аварийных ситуациях.
- способность к адаптации,
- способность к утомлению,
- способность к отдыху,
- возможность совершения ошибки,
- способность принимать решения,
- способность запоминания информации,
- способность переносить информационную перегрузку,
- способность к обучению [1].
Рассмотрим количественную оценку влияния человеческого фактора на такое важное свойство, как доступность (или, что то же самое, коэффициент готовности) информационной системы.
Коэффициент готовности Кг – вероятность того, что система окажется в работоспособном состоянии в произвольный момент времени. Это комплексная характеристика безотказности и ремонтопригодности системы, которая характеризуется показателями ремонтопригодности: То – среднее время наработки на отказ и Тв – среднее время восстановления после отказа.
Коэффициент готовности определяется как: 
Доступность (D) обычно в отличие от коэффициента готовности выражается в процентах, или D = Кг * 100 %.
Человеческий фактор влияет также на достоверность, своевременность и полноту обработки информации, вводимой и хранящейся в базе данных информационной системы. При длительном монотонном вводе данных, в процессе утомления человек начинает делать ошибки при вводе, пропускать данные, перестает укладываться во временные регламенты.
Учет такой характеристики, как способность к утомлению оценивается следующим образом. При работе в благоприятных условиях, средняя выработка в последние часы уменьшается на 6-7% за каждый час удлинения рабочего дня свыше 6 часов (т.е. за седьмой час производительность составляет 94%, за восьмой – 88%, за девятый – 81% и т.д.).
Степень влияния человеческого фактора на достоверность данных, вводимых в информационную систему при монотонном выполнении операции ввода, можно оценить, используя значения, приведенные в Таблице 1.
Таблица 1. Влияние человеческого фактора на достоверность ввода информации
| Время работы (часы работы) | ||||||
|---|---|---|---|---|---|---|
| 1-ый – 6-ой | 7-ой | 8-ой | 9-ый | 10-ый | 11-ый | |
| Производительность (% от нормы) | 100 | 94 | 88 | 81 | 74 | 67 |
| Процент безошибочности | 0,96 | 0,9 | 0,85 | 0,78 | 0,71 | 0,64 |
| Реальное время операции с учетом повторных работ (часов) |
6,25 | 1,11 | 1,18 | 1,28 | 1,4 | 1,56 |
| Достоверность результатов ввода (процент ошибок с учетом логических проверок и повторного ввода) |
0,999 | 0,996 | 0,994 | 0,991 | 0,988 | 0,985 |
| Верхняя граница достоверности | 0,9995 | 0,998 | 0,997 | 0,995 | 0,993 | 0,991 |
| Нижняя граница достоверности | 0,997 | 0,993 | 0,991 | 0,987 | 0,983 | 0,979 |
Одним из важных вопросов в обсуждаемой проблеме является вопрос «квалификации» сотрудника, обслуживающего информационную систему. Сотрудники с низкой квалификацией и новички должны обязательно проходить этапы обучения и тренировки работы с системой, которая, в свою очередь, должна быть хорошо документирована.
2. Методологический подход к определению влияния человеческого фактора на работоспособность информационной системы
Человек, как звено любой человеко-машинной системы, безусловно, влияет на показатели надежности и эффективности (полноты, достоверности, своевременности обработки информации) информационной системы в целом и ее отдельных подсистем и задач.Методология оценки влияния человеческого фактора на работу информационной системы является смешанной дисциплиной, в которой необходимо учитывать влияние ошибок человека на ее надежность, а также психологические особенности человека как звена это информационной системы.
Влияние человеческого фактора, а именно операторов, обслуживающего персонала сервисных центров и пр., на работу информационной системы может быть количественно определено степенью воздействия ошибок персонала на безопасность и производительность информационной системы.
Многие процессы в человеко-машинных системах содержат потенциальные возможности для ошибок персонала, в особенности в тех случаях, когда время, которым располагает оператор для принятия решений, ограничено. При этом вероятность того, что проблемы будут развиваться негативным образом, зачастую мала. Порой действия со стороны персонала ограничиваются возможностью предотвращения начальной неисправности, прогрессирующей в направлении аварийной ситуации.
Тем не менее, необходимо идентифицировать разнообразные типы ошибочных действий, которые могут иметь место, в том числе:
а) ошибка по оплошности, недосмотр, выразившийся в невыполнении требуемого действия информационной системы;
б) ошибка несоответствия, которая может предусматривать:
- положение, когда требуемое действие не выполняется должным образом (например, не выполнение регламента администрирования базы данных);
- действие, выполняемое слишком большим или слишком малым усилием, либо без требуемой точности (например, неточности при заполнении форм ввода, ошибки неточного ввода данных и т.д.);
- действие, выполняемое в неподходящее для него время (например, несвоевременный ввод информации, задержка обработки информации и т.д.);
- действие, выполняемое с нарушением очередности исполнения (например, подготовка итогового аналитического отчета при незавершенном процессе обработки данных);
в) лишнее действие, выполняемое вместо требуемого действия или в дополнение к нему (например, повторные вводы одних и тех же сведений, что может привести к расхождениям в сведениях или появлением дублирующих данных).
Степень влияния человеческого фактора на надежность системы можно оценить по вероятности проявления ошибок в процессе ручного ввода данных. Ошибка оператора всегда связана с неверной интерпретацией поступивших и анализируемых им данных. Считается, что для сложных технических приборов и сложных компьютерных задач вероятность ошибки может достигать 15%, для простых технических устройств и несложных компьютерных задач вероятность ошибки составляет от 1% до 5% [1].
Безошибочность действий оператора зависит от многих факторов:
- дефицит времени (частота совершения ошибок при обработке информации является логарифмической функцией скорости поступления информации);
- перегрузка информацией (количество ошибок возрастает при перегрузке, в частности, при увеличении числа источников информации);
- степень подготовки (более подготовленные специалисты совершают в среднем меньше ошибок);
- психологические особенности человека (кроме того, работа, выполняемая с интересом, как правило, менее ошибочна);
- «сенсорный голод» (увеличение частоты ошибок при длительном выполнении монотонной работы из-за малой нагрузки органов чувств).
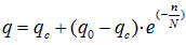
Важную роль в вопросе уменьшении количества ошибок играет степень подготовленности оператора. Считается [1], что в процессе обучения частота возникновения ошибок имеет тенденцию к уменьшению, причем эту зависимость можно аппроксимировать формулой:

, где
- q – частота ошибок после обучения;
- q0 – начальное значение частоты ошибок (до обучения);
- qc – установившееся стационарное значение частоты ошибок (для обученных операторов);
- n – накопленная сумма операций ввода, выполненных оператором в предыдущих циклах обучения (работы);
- N – «постоянная обучения», характеризующая продолжительность обучения оператора.
При n = N, разность (q0> – qc) уменьшается на 63%. Считается [1], что значение qc достигается через 4 – 5 N. При этом если обозначить за n1 – количество вводов информации, при котором выполняется q = qc, то:

Полученное значение N определяет необходимое количество вводов информации, составляющее один цикл обучения (тренировки) работы с информационной системой.
По экспериментальным данным, полученным при отработке операторами зрительных сигналов [3], вычислены следующие значения перечисленных выше параметров:
- q0 = 0,27 (новички, не умеющие работать с информационной системой),
- qc = 0,018 (операторы, прошедшие 4 и более тренировок)
В предположении, что совсем не обученных работе с информационной системой операторов, как правило, нет, процент ошибок q0 = 0,27 не достигается. За максимальное значение может быть принят показатель q01 = 0,15 (см. [2]).
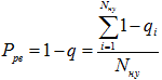
Тогда коэффициент учета ошибок этапа ручного ввода можно вычислить по формуле:

, где Pрв – вероятность безошибочности этапа ручного ввода оценивается для каждого ручного процесса отдельно; если процессы последовательные, коэффициенты перемножаются, т.е.

, где
- M – количество последовательных процессов ручного ввода,
- Nн.у.– количество операторов, по которым собрана статистика об ошибках.
Вероятность появления ошибки оператора существенно зависит от скорости поступления информации. Согласно [1], вероятность проявления ошибки в зависимости от скорости поступления информации V (бит/с) можно представить следующей формулой:
qрв = 9,7 10-4 V1,77
Важность задачи оценки влияния человеческого фактора может быть проиллюстрирована хотя бы аварийной ситуацией, имевшей место при эксплуатации одной из крупных распределенных информационных систем в августе 2005 года, когда ошибочные действия оператора привели к уничтожению рабочей базы данных, а ее восстановление заняло несколько дней. Ситуация была вызвана тем, что оператор в нарушение инструкции не создавал каждую неделю резервные копии базы данных, мотивируя это тем, операция резервного копирования требует длительного времени. Такого рода аварии (авторам известны более двух десятков подобных ситуаций, возникавших в разное время на реальных больших информационных систем) являются предостережением от тех оценок риска, которые концентрируют внимание исключительно на технических и программных средствах информационных систем и игнорируют ошибки персонала.
Кроме определения возможности возникновения катастрофических ситуаций вследствие влияния человеческого фактора, полезно определить ошибки, снижающие производительность, эффективность решения поставленной задачи в информационной системе.
Методологический подход к определению влияния человеческого фактора может включать в себя следующие этапы:
- анализ задачи или подсистемы информационной системы;
- определение степени загруженности задач и подсистем «ручными» операциями, выполняемыми персоналом;
- определение возможных ошибок персонала;
- количественное или качественное определение влияния человеческого фактора на надежность информационной системы и достоверность хранящейся в ней информации;
- рекомендации по автоматизации задач информационной системы, направленные на снижение влияния человеческого фактора.
На стадиях обследования «ручных» операций и выявления ошибок персонала идентифицируются и описываются возможные ошибочные действия при исполнении задачи. Определение ошибок персонала может включать выявление возможных последствий и причин ошибочных действий, а также предложение мер по снижению вероятности этой ошибки, совершенствованию перспектив для исправления и/или уменьшению последствий ошибочных действий. Результаты обследования «ручных» операций и рекомендации по их автоматизации, таким образом, обеспечивают ценный вклад в управление рисками в информационных системах даже в случае, если не проводится никакая количественная оценка влияния человеческого фактора.
Количественная оценка влияния человеческого фактора на надежность и эффективность информационной системы имеет целью оценить вероятности правильного выполнения той или иной задачи (P) или вероятности ошибочных действий (Q = 1 – P). Можно также предусматривать шаги по оценке вероятности или частоты определенных последовательностей нежелательных событий или нежелательных исходов.
Вероятность правильного выполнения оператором своей задачи Pрв во время выполнения ручной операции с обязательной проверкой в зависимости от степени подготовленности к работе с информационной системой, составляет
0,985 <= Pрв <= 0,999
или в среднем Pрв = 0,995
Другими словами, вероятность безошибочного выполнения ручной операции человеком (Pрв) будет находиться в диапазоне от 0,985 до 0,999 в зависимости от квалификации, степени утомления, степени перегруженности работой и пр. Вероятность совершения ошибки (Qрв) будет находиться в диапазоне от 0,001 до 0,015 (от 0,1% до 1,5% вводимых данных). Более полную зависимость Pрв от длительности выполнения монотонной работы можно посмотреть в Таблице 1.
Для ручных операций ввода данных, выполняемых в сложной задаче (большая информационная нагрузка, сложный интерфейс) без контрольной проверки, значения Pрв будут лежать в диапазоне от 0,85 до 0,982 [1, 2]. Иными словами, вероятность совершения ошибки (Qрв) будет находиться в диапазоне от 0,018 до 0,15 (от 1,8% до 15%). В простых задачах Qрв будет находиться в диапазоне от 0,01 до 0,05 (от 1% до 5%) .
В целом же для информационной системы и ее основных частей важно выявить степень зависимости ее отдельных задач и подсистем от операций, выполняемых «вручную», определить, можно ли автоматизировать ручные операции. Для операций, которые по каким-то причинам автоматизировать трудно (принципиальная невозможность, дороговизна работ по автоматизации), необходимо разработать организационные или другие меры, снижающие возможность влияния индивидуальных свойств человека на работу информационной системы (документирование, обучение, разработка кратких памяток и аварийных инструкций).
Основной возможностью снизить влияние человеческого фактора на систему, является автоматизация операций в системе, максимальное сокращение обязательных операций, выполняемых человеком.
Безусловно, имеются операции, которые автоматизировать невозможно или дорого по затратам ресурсов (например, не автоматизируемая семантическая операция и др.), но в этом случае, как правило, можно принять организационные и другие меры для снижения влияния человеческого фактора.
В случае отсутствия данных для точного определения уровня автоматизации можно использовать грубую качественную оценку степени загруженности задачи «ручными» операциями: «очень высокая», «высокая», «средняя», «низкая», а также оценку хорошо это или плохо для данной задачи или подсистемы. Предлагаемые оценки характеризуются оценкой процента выполняемых в задаче ручных операций, а также трудоемкостью ввода данных, сложностью работы с пользовательским интерфейсом, темпом выполнения работы.
Применение математического аппарата оценки достоверности данных в зависимости от ошибок ручного ввода, приведенного в [2], позволяет составить таблицу зависимости ошибок ручного ввода от степени загруженности задачи «ручными» операциями (см. Таблица 2). Вероятность ввода ошибочных сведений лежит в указанном диапазоне и зависит от квалификации оператора, степени усталости и скорости ввода информации.
В таблице, приведенной ниже, показана оценка возможного ошибочного ввода данных, в зависимости от внешних условий.
Таблица 2. Примерный процент сведений, содержащих ошибки в зависимости от степени загруженности задачи ручными операциями
| Степень загруженности задачи ручными операциями | Оценка процента ошибок ввода данных Qрв * | |
|---|---|---|
| Ручная операция выполнена с проверкой | Ручная операция выполнена без проверки | |
| Низкая | 0,0001 – 0,003 (0,01 – 0,3 %) |
0,01 – 0,05 (1 – 5 %) |
| Средняя | 0,001 – 0,010 (0,1 – 1,0 %) |
0,02 – 0,10 (2 – 10 %) |
| Высокая | 0,001 – 0,015 (0,1 – 1,5 %) |
0,02 – 0,12 (2 – 12 %) |
| Очень высокая | 0,003 – 0,022 (0,3 – 2,2 %) |
0,05 – 0,15 (5 – 15 %) |
* без учета влияния утомления на результаты работы
В свою очередь степень загруженности задачи (подсистемы) ручными операциями предлагается оценить следующим образом (см. Таблица 3). Таблицы ячейки заполняются по следующему принципу: в зависимости от оценки, указанной в заголовке колонки №3, строки колонки 3 заполняются нулем или единицей. Тогда последняя строка, содержащая сумму всех предыдущих, характеризует степень загруженности задачи ручными операциями.
Таблица 3. Оценка степени загруженности задачи ручными операциями
| № | Характеристика | Оценка: высокая – 1, низкая – 0 |
|---|---|---|
| 1 | Оценка количества выполняемых в задаче ручных операций | 0 или 1 |
| 2 | Трудоемкость ввода данных | 0 или 1 |
| 3 | Сложность работы с пользовательским интерфейсом | 0 или 1 |
| 4 | Темп выполнения «ручной» работы | 0 или 1 |
| 5 | Итого (степень загруженности): | 1 – Низкая 2 – Средняя 3 – Высокая 4 – Очень высокая |
Если каждую подсистему или задачу системы проанализировать согласно вышеприведенному алгоритму и заполнить для нее Таблицу 3, то можно оценить влияние человеческого фактора в рамках конкретной задачи (подсистемы) на достоверность вводимых данных (см. Таблица 2) и на показатели надежности системы в целом.
Используя данные, приведенные в Таблице 1, можно определить процент ошибок с учетом утомления человека в зависимости от времени работы.
Таким образом, приведенный выше методологический подход позволяет проводить оценку степени влияния человеческого фактора как для информационной системы в целом, так и для ее отдельных функций и подзадач используя данные, которые легко получить, не прибегая к методам статистического исследования.
Заключение
Общепризнано, что основные проблемы создания и внедрения информационных технологий в больших организационных системах сопряжены с влиянием человеческого фактора. [4] Более того, можно смело утверждать, что отсутствие оценки влияния этого показателя при проведении работ по анализу надежности, эффективности, целостности информационных систем, снижает точность получаемого результата.
Литература
-
Дружинин Г.В. Человек в моделях технологий. Часть I: Свойства человека в технологических системах. – М.: МИИТ. 1996 – 124 с.
Акимова Г.П., Соловьев А.В. Методология оценки надежности иерархических информационных систем. // Системный подход к управлению информацией. / Труды ИСА РАН. Т. 23. М.: КомКнига, 2006. С. 18 – 47.-
Цибулевский И.Е. Ошибочные реакции человека-оператора. – М.: Сов. Радио, 1979 – 208 с.
Киреенко В.Е. Человеческий фактор корпоративных информационных систем (на примере Томского горисполкома). — Вестник Томского государственного университета №275, апрель 2002 г.
Ветлугин К. Человеческий фактор. Computerworld №11, 2006
Автор: Angelina54
