Галактики растут за счёт слияний и притока газа, и когда астрономы хотят понять, как галактика развивалась на протяжении миллиардов лет, одним из лучших способов сделать это является изучение её химического состава. Изучение этих химических «отпечатков» называется галактической археологией и основано на том факте, что звёзды сохраняют химический состав газовых облаков, в которых они образовались. В этом деле также задействованы кинематика и астрометрия, а также такие методы, как моделирование и машинное обучение.
Для таких крошечных существ, как люди, попытка воссоздать картину формирования и эволюции огромной галактики на протяжении миллиардов лет — задача поистине грандиозная. Именно это удалось сделать группе исследователей под руководством учёных из Центра астрофизики Гарвардского университета и Смитсоновского института в отношении спиральной галактики NGC 1365. Галактика находится на расстоянии около 56 миллионов световых лет в скоплении Печи. Иногда её называют «Великой спиральной галактикой с перемычкой», поскольку её впечатляющая форма так характерна для галактик этого типа.
Результаты их работы представлены в статье в журнале Nature Astronomy под названием «История формирования NGC 1365 через химическую археологию». Ведущим автором является Лиза Кьюли, австралийский астрофизик, профессор Гарварда и директор Центра астрофизики.
«Отследить динамическую историю галактики по одному-единственному снимку в определённый момент времени — задача, как известно, чрезвычайно сложная», — пишут авторы. «Здесь мы показываем, что динамическую историю галактики можно проследить, используя содержание кислорода в качестве археологического индикатора».
Кислород является эффективным индикатором, поскольку массивные звёзды быстро производят его и выбрасывают в межзвёздное пространство. Звёзды массой более 8 солнечных быстро синтезируют кислород, и, поскольку такие звёзды живут всего несколько миллионов лет, прежде чем взрываются в виде сверхновых, кислород в кратчайшие сроки выбрасывается в космос. Несколько миллионов лет — это лишь крошечный миг в жизни такой галактики, как NGC 1365, поэтому измерение накопления кислорода — это способ определить, как быстро формировались звёзды в разных частях галактики. Там, где звёзды формируются быстро, быстро накапливается и кислород.
Представьте себе гипотетическую галактику, которая не сливалась с другими. В такой галактике галактические археологи ожидали бы найти больше кислорода в центре, где плотность высока и образуется больше звёзд. Содержание кислорода уменьшалось бы по мере того, как они исследовали бы области, удалённые от центра.
Если содержание кислорода не уменьшается по мере удаления от центра, это означает, что произошло что-то необычное. Произошло какое-то слияние, случился массивный поток газа, упавший внутрь, или какое-то другое событие, повлиявшее на рост этой галактики.
Исследователи уже использовали содержание кислорода для изучения истории Млечного Пути, но это первый случай, когда этот метод был применён для изучения другой галактики.
«Это первый случай, когда метод химической археологии был применён с такой высокой степенью детализации за пределами нашей Галактики», — говорит ведущий автор исследования Кьюли. «Мы хотим понять, как мы оказались здесь. Как сформировался наш Млечный Путь и как мы в итоге стали дышать тем кислородом, которым дышим сейчас?»
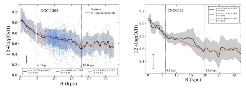
Отдельные звёзды в NGC 1365 или любой другой столь удалённой галактике пока не удаётся разглядеть. Но астрономы способны измерить содержание кислорода в отдельных областях далёких галактик. Именно этим и занимается проект TYPHOON. Это совместная работа Карнеги-института наук, Института фундаментальных наук в Корее и Австралийского национального университета. В рамках проекта создаётся карта высокого разрешения 44 крупных ближайших галактик, включая Великую спиральную галактику с перемычкой. Это позволило получить довольно подробную картину звездообразования без необходимости видеть отдельные звёзды.
«Мы вычисляем содержание кислорода в газовой фазе для 4546 пространственных пикселей (spaxels) поперёк спиральной галактики NGC 1365, расположенной к нам лицом, с пространственным разрешением 175 пк, получая таким образом одну из самых подробных химических записей о спиральной галактике за пределами нашего Млечного Пути», — объясняют исследователи. Затем они обратились к симуляции Illustris TNG. Это продолжающаяся серия крупномасштабных магнитогидродинамических симуляций космоса, а также формирования и эволюции галактик.
Исследователи проанализировали 20 000 симуляций Illustris TNG, пока не нашли одну, которая соответствовала свойствам NGC 1365. Результаты показали, что рост галактики определялся тремя отдельными факторами.
Полученные градиенты содержания кислорода показывают, что основной диск галактики сформировался первым — 11,9–12,5 миллиарда лет назад — в результате слияний с несколькими карликовыми галактиками. За последние 12 миллиардов лет сформировался крутой градиент содержания кислорода во внутренней части перемычки (бара), поскольку приток газа в центральные области вызвал усиление звездообразования. Затем, 5,9–8,6 миллиарда лет назад, небольшое слияние привело к образованию «протяжённого диска ионизированного газа с плоским распределением содержания кислорода».
«Очень интересно видеть, что наши модели так точно совпадают с данными о другой галактике», — сказал соавтор исследования Ларс Хернквист, профессор астрофизики в Гарварде и астроном Центра астрофизики (CfA). «Это исследование показывает, что астрономические процессы, которые мы моделируем на компьютерах, формируют галактики, подобные NGC 1365, на протяжении миллиардов лет».
Эта работа подтверждает целесообразность использования внегалактической археологии для понимания истории далёких галактик. Несмотря на то, что невозможно различить отдельные звёзды, наблюдения линий эмиссии кислорода по всей галактике служат своего рода индикатором звездообразования. Важно отметить, что этот метод работает только в том случае, если его результаты можно перепроверить с помощью симуляций, таких как Illustris TNG. Существуют и другие причины, по которым галактика может демонстрировать градиент кислорода по всей своей структуре, и Illustris TNG может подсказать исследователям, какие из возможных вариантов истории галактики являются правдоподобными, а какие — нет.
«Это исследование наглядно демонстрирует, как можно проводить наблюдения, непосредственно опираясь на теорию, — сказала Кьюли. — Я думаю, что оно также повлияет на то, как мы будем взаимодействовать как теоретики и наблюдатели, ведь этот проект на 50 процентов состоял из теории и на 50 процентов — из наблюдений, и одно без другого было бы невозможно. Чтобы прийти к таким выводам, нужно и то, и другое».
Естественный вопрос, который возникает в связи с этой работой, касается других спиральных галактик, включая нашу собственную, и того, сформировались ли они аналогичным образом.
«Все ли спиральные галактики формируются одинаково?» — спрашивает Кьюли. «Есть ли различия в их формировании? Как сейчас распределён их кислород? Является ли наша Галактика, Млечный Путь, в каком-либо смысле уникальной? Вот на эти вопросы мы и хотим ответить».
Автор: SLY_G
