В существенном влиянии кабелей на звук в АС уверено подавляющее большинство аудиофилов. На эту тему написано немало статей как сторонников, так и противников данной теории, впрочем, мне не встретилась ни одна статья, содержащая реальные технические расчёты, которые доказывали бы ту или иную точку зрения. В текстах обычно приводятся собственные домыслы, которые порой далеки от реальности. Я использовал технические знания и расчёты, чтобы разобраться в данной теме.
Чаще всего, помимо активного сопротивления проводника, аудиофилы упоминают три фактора, якобы влияющие на конечные параметры электрической цепи:
- ёмкостное сопротивление (поскольку кабель состоит из пары проводников);
- индуктивное сопротивление;
- скин-эффект.
Рассмотрим первые два фактора в совокупности, поскольку они имеют очень тесную связь.
Дело в том, что существует эквивалентная схема бесконечно малого отрезка длинной линии электропередач, которая представляет собой четырёхполюсник, содержащий погонные сопротивление, ёмкость, индуктивность и проводимость (Рисунок 1). Таким образом, любая длинная линия представляет собой совокупность данных четырёхполюсников, подключённых последовательно.

Рисунок 1 – Эквивалентная схема бесконечно маленького отрезка длинной линии
Однако, здесь следует учитывать, что речь идёт именно о длинной линии. По определению, длинная линия представляет собой регулярную линию электропередач, длина которой во много раз превышает длину волны колебаний, распространяющихся в ней, а расстояние между проводниками и поперечный размер проводников во много раз меньше длины волны, т.е. выполняются соотношения

где λ – длина волны, L – длина линии, a – поперечное сечение проводника, b – расстояние между проводниками. Для верхней граничной частоты ν = 20000 Гц слышимого диапазона длина волны λ = c⁄ν, где c – скорость света, будет равна 300000000/20000=15000 м, или 15 км. Для частоты в 50 Гц длина волны будет достигать шести тысяч километров. Естественно, такие длины акустических кабелей не используются, и поэтому модель длинной линии для них явно не подходит.
Для линий, длина которых много меньше или соизмерима с длиной волны колебаний, существует эквивалентная схема короткой линии (Рисунок 2).

Рисунок 2 – Эквивалентная схема бесконечно маленького отрезка короткой линии
Как видно из рисунка, здесь уже не учитываются проводимость и индуктивность линии, поскольку их значения пренебрежимо малы (для короткой линии). Значит, второй фактор рассматривать смысла нет. Остаётся только ёмкость.
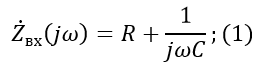
Рассчитаем теперь входное и выходное сопротивление нашего пассивного четырёхполюсника и посмотрим его передаточную характеристику.
Входное сопротивление для первого контура будет равно:

Выходное сопротивления для второго контура:

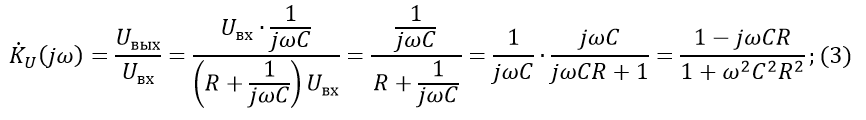
Передаточная характеристика по напряжению:

Модуль передаточной характеристики:

Теперь возьмём для расчёта один метр какого-нибудь реального кабеля. Я зашёл на сайт audiomania.ru и нашел дешевый микрофонный кабель Onetech Rapid Two INT0107. Один проводник такого кабеля имеет сечение 0,21 кв.мм, что примерно соответствует калибру AWG 24, согласно американскому стандарту. Из книги Fundamentals of Telecommunications воспользуемся таблицей, в которой указаны погонные сопротивления и ёмкости (Рисунок 3).
Рисунок 3 – Таблица параметров кабелей (для 1 кГц)
Для AWG 24 C=40 нФ⁄км=40 пФ⁄м; R=170 Ом⁄км=0,17 Ом⁄м,ν=1000 Гц. Подставим эти значения в формулу (4):

Я специально оставил более 15 знаков после запятой, чтобы показать, насколько мизерно изменение напряжения при прохождении через четырёхполюсник. К слову, трудно даже сыскать прибор, который покажет такую точность.
Посмотрим теперь граничное значение спектра частот, воспринимаемых человеческим ухом (ν_н=20 Гц, ν_в=20000 Гц):

Скептики скажут: «Это же расчёт всего лишь для одного метра кабеля». Что ж, посмотрим, что произойдёт с модулем передаточной характеристики по напряжению для, скажем, пяти метров кабеля (для 1 кГц).

Изменения для пяти метров кабеля всё также пренебрежимо малы, чтобы их учитывать.
О скин-эффекте
По определению, скин-эффект – это эффект уменьшения амплитуды электромагнитных волн по мере их проникновения вглубь проводящей среды. В результате этого эффекта, например, переменный ток высокой частоты при протекании по проводнику распределяется не равномерно по сечению, а преимущественно в поверхностном слое. Именно за счёт неравномерного распределения тока эффективное сечение проводника уменьшается, а, следовательно, увеличивается сопротивление.
Такое представление о скин-эффекте заставляет аудиофилов покупать посеребрённые провода, которые, естественно, гораздо дороже обычных (с помощью тонкого слоя серебра действительно можно бороться со скин-эффектом для высоких частот, за счёт меньшего удельного сопротивления серебра). Но имеет ли это смысл?
Вывод формулы, описывающей скин-эффект, исходит из уравнения Максвелла. Расписывать его не имеет смысла, всю информацию можно найти в учебниках для вузов (например, в учебнике Сивухина). Вместо вывода, воспользуемся упрощённой формулой для расчёта толщины скин-слоя (слой в проводнике, где сосредоточен практически весь ток):

где ρ – удельное сопротивление, μ_m – относительная магнитная проницаемость, f – частота.
Для меди: ρ=0.018 (Ом∙кв.мм)/м; μ_m=0.999994 при частоте f=20000 Гц:

Посчитаем площадь сечения, в котором у нас наблюдается скин-эффект:

Таким образом, для любого калибра провода, который имеет площадь сечения меньшую, чем 2.95 кв.мм, скин-эффект вообще не оказывает никакого влияния.
О коэффициенте демпфирования
Многие любители хорошего звука часто ссылаются на коэффициент демпфирования (или демпфинг-фактор), якобы описанный в немецком стандарте DIN 45500 и определяющий его, как отношение сопротивления нагрузки к выходному сопротивлению усилителя. Считается, что система попадает под определение Hi-Fi, если её коэффициент демпфирования составляет более 20. При этом, коэффициент якобы учитывает и сопротивление кабелей (оно суммируется с выходным сопротивлением усилителя), причем только его активную часть. Если воспользоваться данным коэффициентом, то получается, что сопротивление проводников не только оказывает колоссальное влияние на АС, но и является чуть ли не одним из самых важных параметров АС. Для примера, примем выходное сопротивление усилителя равным 0.01 Ом, тогда, при подключении динамика в 4 Ом кабелем калибра AWG 24 длиной 1 метр, получим:

Коэффициент демпфирования едва ли перевалился за 20, и это только для одного метра кабеля! В чём же дело и кому верить?
Честно говоря, я не читал стандарт DIN 45500, поскольку он написан на немецком языке, коим я не владею. Однако, в российских национальных стандартах существует два аналога данному DIN 45500 для АС и усилителей – ГОСТ 23262-88 и ГОСТ 24388-88 соответственно. Ни в одном из них «коэффициент демпфирования» ни разу не упоминается, как и в других ГОСТах, ссылки на которые в них присутствуют. Этот термин также не встречается и в русскоязычной литературе. В англоязычных ресурсах информация об этом параметре есть, но довольно скудная, без ссылок на авторитетные источники.
Исходя из исследования, проведённого в начале статьи, я практически уверен, что «коэффициент демпфирования» – не более чем миф, придуманный маркетологами для повышения продаж толстенных и посеребрённых кабелей, стоимостью сотни и даже тысячи долларов. Они попытались подогнать согласование напряжений в акустических системах под некий параметр, однако коэффициент демпфирования не характеризует АС ни количественно, ни качественно.
Заключение
Расчёты, приведённые в данной статье, наглядно показывают, что влияние кабелей на передачу сигналов в спектре частот, слышимых человеческим ухом, пренебрежимо мало. Бессмысленно даже задумываться о ёмкостях, индуктивностях и длинах кабелей; кабели бывают двух типов: работающие и неработающие. Несомненно, они не вносят никакого «окраса», «настроения» и прочих вещах, о которой так любят говорить продавцы или аудиофилы.
Смею заметить, что я ни в коем случае не могу никак повлиять на вашу свободу выбора — вы можете покупать любые кабели по любой цене и по любой причине. Я написал всё это только в качестве акта сопротивления распространения технической ереси, которая слишком часто стала вноситься маркетологами ради зарабатывания лёгких денег.
Список использованных источников
1. Л.А. Бессонов. Теоретические основы электротехники. Электрические цепи. — М.: Высшая школа, 1996. — 638 с.
2. Д.В. Сивухин. Общий курс физики. Электричество. т. III — М.: Наука, 1977. — 704 с.
3. А.Н. Матвеев. Электричество и магнетизм. — М.: Высшая школа, 1983. — 463 с.
4. А.В. Максимычев. Физические методы исследования. Конспект лекций. Часть 2. Сигналы в длинных линиях. — М.: МФТИ, 2003. — 43 с.
5. ГОСТ 23262-88. Системы акустические бытовые. Общие технические условия.
6. ГОСТ 24388-88. Усилители сигналов звуковой частоты бытовые. Общие технические условия.
7. ГОСТ 16122-87. Громкоговорители. Методы измерения электроакустических параметров.
8. Roger L. Freeman. Fundamentals of Telecommunications. — John Wiley & Sons, Inc., 1999. — 676 p.
Автор: Sigizmund_III
