В данном материале я попытаюсь вникнуть в суть методики А.П. Журавлёва предназначенной для анализа эмоционального восприятия слов. Анализ слов может быть произведён компьютером по соответствующему алгоритму и позволяет «машине» понять эмоциональную составляющую отдельных слов или текста в целом.
Прошу не «пинать» меня за этот пост, т.к. материал может быть воспринят весьма спорно, а результаты применения алгоритма, порой выдают не совсем достоверный результат. Даже сам Артемий Лебедев в своём «ководстве» однажды раскритиковал программу ВААЛ в которой применяется этот алгоритм, а я никак не буду оспаривать его личное мнение, а всего-лишь попытаюсь донести суть методики, а на ваш суд останется либо принять, либо отвергнуть вменяемость всего сказанного и применяемости методики.
Материал построен в основном на книге А.П. Журавлёва «Звук и смысл» поэтому в посте будут присутствовать цитаты из книги в достаточном количестве для понимания материала.
Итак начнём…
Каждое слово в русском языке несёт какой-то смысл, что-то обозначает и имеет своё особенное восприятие. Кто-нибудь из вас задумывался почему то или иное слово произносится так как оно произносится, почему, например цветок лилия называется именно лилия, а не как-то иначе? Почему старика, например, называю словом хрыч? Почему то или иное слово воспринимается как нечто грубое или нежное или яркое? Вы можете парировать это тем, что у каждого слова есть своё значение! Что оно потому так и называется потому, что обозначает что-то конкретное и воспринимаем мы его именно так, но как тогда быть со словами у которых нет какого-либо определённого значения? Возьмём, например, имена «мамлына» и «жаваруга». Какое из имён воспринимается, по вашему мнению, как что-то добродушное, толстенькое? Каждое из имён не несёт какого-то чёткого определения или значения, но бесспорно Мамлына воспринимается более добродушно, нежели злая и колючая Жаваруга.
Древнегреческий философ Платон считал, что люди вольны в выборе имени предмета, но свобода выбора ограничена свойствами предмета и свойствами звуковой речи, а М. В. Ломоносов считал, что звуки речи обладают некоторой содержательностью и даже рекомендовал использовать эти свойства звуков для придания художественным произведениям большей выразительности.
Постулируется, что значение слова определяется свойствами отдельных звуков и их сочетаний.
Был проведён эксперимент — группе людей давали для оценки пары слов с разными звуками (бод — буд, быд-бед) и просили оценить каждое из слов по разным шкалам «Большой-Маленький», «Хороший-Плохой» в результате была составлена статистическая закономерность звука в слове и его значения.
Журавлев предложил оценивать звуки по шкалам и в результате множественных экспериментов были составлены шкалы и оценены все звуки русского языка, в результате чего была составлена обширная таблица с оценкой каждого звука по 25 шкалам
| хороший | плохой |
| красивый | отталкивающий |
| безопасный | страшный |
| радостный | печальный |
| светлый | темный |
| легкий | тяжелый |
| безопасный | страшный |
| добрый | злой |
| простой | сложный |
| гладкий | шероховатый |
| округлый | угловатый |
| большой | маленький |
| грубый | нежный |
| мужественный | женственный |
| сильный | слабый |
| холодный | горячий |
| величественный | низменный |
| громкий | тихий |
| могучий | хилый |
| веселый | грустный |
| яркий | тусклый |
| подвижный | медлительный |
| быстрый | медленный |
| активный | пассивный |
| храбрый | трусливый |
Звуки оценивались по шкале от 1 до 5 и в результате множественных опросов выводилось среднеарифметическое значение. Значимыми считались показатели больше 3,5 и меньше 2,5, если оценка для звука попадала в интервал >=2.5 и <=3.5 считалось, что звук не оказывает ярко выраженного значения в конкретной паре из шкал.
Чаще всего мы не воспринимаем осознанно звуковой образ слова, сосредотачивая всё внимание на его смысле. Тем не менее, поскольку отдельные звуки, как мы убедились, значимы, то и сочетание звуков обладает фонетической значимостью.
Журавлевым было предложено оценивать слово целиком, а не отдельные звуки, по тем же шкалам что и для звуков. Но т.к. вклад отдельных звуков разный, то и суммарный вклад должен быть разный. Например первая буква слова в 4 раза более значима чем остальные, а ударная в 2 раза. Также было замечено, что важную роль играет частота встречаемости звуков. Например в русской речи наиболее часто встречаются звуки А, О, Т, Н и значительно реже Ф, Х. Для учёта вклада частотности была разработана таблица в которой указано сколько в среднем раз употребляется звукобуква на 1000 звукобукв.

При расчёте фонетической значимости слова нужно увеличить вес средних оценок не только для первого и ударного звуков, но и для всех звуков, кроме максимально частотного в слове. Иначе говоря, нужно считать не просто средне арифметическое средних оценок всех звуков, а сначала приписать каждому звуку свой вес, свой весовой коэффициент, в зависимости от места в слове и частотности, а уж затем вычислять среднее арифметическое.
Коэффициент учитывающий разницу частотностей звуков слова (ki) можно вычислить по формуле

где Pi — частотность любого i-того звука, Pmax — максимальная частотность звука в слове.
Далее учитываем место каждого звука в слове. Коэффициент первого звука увеличиваем в 4 раза:
Коэффициент ударного звука вычисляется по формуле:

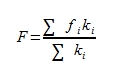
Общую фонетическую значимость слова можно вычислить по формуле:

где F — фонетическая значимость слова, fi — фонетическая значимость очередного i-того звука слова, ki — коэффициент для очередного звука.
По такому же принципу можно вычислить фонетическую окраску всего текста, суммируя фонетическую значимость отдельных слов.
Таким образом можно сделать оценку окраски значения слова или текста по 25 шкалам и сделать соответствующие выводы.
Пример такой оценки (с помощью программы ВААЛ) слова «Любовь»:

Какие можно сделать выводы из такого анализа? Достаточно очевидные — слово любовь нами воспринимается как нечто положительное, доброе и никак не отталкивающее. Результат анализа нам это весьма очевидно подтверждает. Так например программа нам говорит о том, что слово любовь воспринимается нами как нечто хорошее, красивое, доброе, женственное и нежное. И ведь это действительно так. Отбросив веру в достоверность результатов, мы всё равно осознаём, что это слово вызывает именно такие чувства в нас.
Проанализируем слово «печаль»:

Очевидно, что слово печаль вызывает у нас более негативную окраску и программа это подтверждает.
Вполне очевидно, что результаты нельзя понимать буквально. Ведь никому не придет в голову
пытаться потрогать звук, когда говорят, что он «мягкий» или «твердый», никто не выстраивает
звуки по «росту», когда речь идет о «высоких» и «низких» звуках. Точно так же признак
«страшный» вовсе не означает, что звук Р представляет для нас какую-то опасность, признак
«горячий» отнюдь не говорит о возможности обжечь руку о звук Ж, а признак «веселый» не
значит, что звук И вызывает у нас смех.Все обнаруженные у звуков признаки нужно понимать так, что впечатления от звуков как-то
соотносятся с впечатлениями о предметах и явлениях. Если среди характеристик звука О есть
признак «большой», это означает только то, что впечатление от звука О в чем-то сходно с
впечатлением от восприятия какого-либо большого предмета или явления. Если звук Ш оказался
«темным», значит, впечатление от него чем-то напоминает нам впечатление от темного предмета
или явления.
Поэтому прошу не воспринимать весь материал сугубо критично.
Вы можете попробовать сами проанализировать слово или текст и посмотреть на результаты и их реалистичность.
Практический потенциал у этого метода весьма велик. Это может быть как составляющая часть обучаемости компьютера понимания смысла, сути слова и текста. Так и просто позволяет оценить тот или иной текст на воспринимаемость человеком. Например вы придумали рекламный слоган, почему бы его не проверить на воспринимаемость… вдруг всё звучит красиво, а воспринимается совсем не так как ожидалось.
Автор: darau
