Принудительное охлаждение электроники это часто применяемая практика. У вас есть мощный элемент на плате? Нет проблем! Поставьте радиатор побольше, да вентилятор помощнее и вот вам решение вашей задачи. Но оказывается не все так просто. Мало того, что мощные вентиляторы создают высокий уровень шума, так ведь и у самого электронного устройства есть сопротивление воздушному потоку. Здесь не работает правило «больше, значит лучше». Почему, будет рассказано в этой статье. Кроме того, на самые крутые из вентиляторов, которые ввозятся из-за рубежа, нужно получать лицензию на импорт.
Постановка проблемы
Скажем, вы нашли мощный вентилятор постоянного тока с объемным расходом воздуха порядка 30фт3мин. Вашей радости нет предела, ведь чем больше расход воздуха, тем больше скорость потока воздуха внутри устройства, что в свою очередь дает возможность лучше охладить элементы. Однако 30фт3мин – это тот расход воздуха, который мы бы получили, если бы на пути потока воздуха не было никаких воздушных сопротивлений, что, скорее всего, не реалистично.
Наверняка вы видели такие (Рис.1) кривые в даташитах на вентиляторы (если вы, конечно, когда-нибудь заглядывали в них. Дует и дует). Попробую объяснить ее значение. По оси абсцисс отложен гидравлический напор (hydraulic heads в англ. литературе) в мм (или чаще в дюймах) водяного столба. Максимальное значение давления можно получить, если закрыть, скажем, ладонью, вентилятор. В этом случае потока воздуха не будет, а вся энергия пойдет на создание давления. Если препятствий воздушному потоку нет, то у нас разовьется максимальный объемный расход, что есть хорошо.

Рис. 1. Типичная кривая производительности вентилятора PMD1204PQB1-A.(2).U.GN.
Реальность же обычно такова, что система имеет конечное воздушное сопротивление и нужно выбрать точку на кривой, чтобы получить реальное значение объемного расхода. Зависимость в системе имеет квадратичный вид.

R – общее воздушное сопротивление системы. G – объемный расход воздуха. Сопротивление обычно складывается из потерь на взаимодействие воздушного потока с печатной платой, корпусом, входными и выходными отверстиями, различными расширениями и сужениями в корпусе. Для всех для таких элементов в специальной литературе имеются приближенные формулы для расчета сопротивления.

Рис. 2. Кривая производительности вентилятора и сопротивление системы.
Способы включения вентиляторов
Часто, для охлаждения системы используются несколько вентиляторов. Есть разница в том, как вы собираетесь их поставить – параллельно или последовательно. Параллельно – это когда вы ставите два вентилятора рядом, а последовательно – это два вентилятора друг за другом. Последовательная установка увеличивает статическое давление и больше подходит к системам с высоким внутренним сопротивлением (например, когда у вас очень плотная установка элементов в корпусе и вентиляционная перфорация не впечатляет)(Рис.3), а параллельная )(Рис.4), наоборот, для систем с низким сопротивлением воздушному потоку и используется для увеличения массового расхода.

Рис. 3. Включение вентиляторов последовательно

Рис. 4. Включение вентиляторов параллельно
На графике (Рис. 4) видно, что при установке в параллель мы увеличиваем объемный расход, чтобы получить конечный результат мы просто должны прибавить к объемному расходу первого вентилятора объемный расход второго и перестроить график. Ситуация для последовательного включения та же самая, но тут мы складываем давления. Хочу отметить, что лучше использовать два одинаковых вентилятора (особенно в случае с последовательном включении). В противном случае, вы можете столкнуться с неприятными явлениями, например с тем, что воздух у вас пойдет в обратную сторону. Замечу, что использование дополнительных вентиляторов не приведет к N-кратной производительности системы охлаждения.
Как описать воздушное сопротивление электронного устройства
Для характеристики отклика устройства на воздушный поток можно воспользоваться аналогией с электрической цепью (тут применяется метод аналогий). Воздушное сопротивление – электрическое сопротивление. Воздушный поток – электрический ток. Падение напряжения – потери в давлении. Есть еще емкости и индуктивности, но они нам не нужны в данном случае. Поэтому для того, чтобы описать систему, нужно выделить отдельные части, которые оказывают существенное влияние на поток воздуха, записать для каждой выражение воздушного сопротивления. Они достаточно просты. Затем, записывается цепь сопротивлений воздушного потока, ищется общее сопротивление и, наконец, строится характеристическая кривая вашего устройства. Этим мы и займемся на основе примера. Но для начала я приведу основные составные элементы, на которые можно разложить ваше устройство, и записать для них воздушные сопротивления.
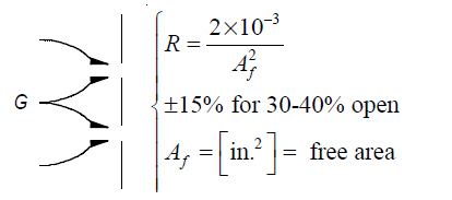
На следующем рисунке представлено выражение для перфорированной стенки. Или просто для отверстия. Можно описывать входные вентиляционные стенки.

Рис. 5. Перфорированная стенка и выражение для нее.
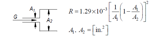
Часто, в устройстве есть отсеки с разными объемами. Так вот, да, они тоже имеют воздушное сопротивление.

Рис. 6. Расширение объема.
Резкий поворот.

Рис. 7. Поворот.
Взаимодействие между двумя поверхностями будь то ПП или поверхность корпуса.

Рис. 8. Трение
Возникает вопрос, а как нам описать воздушное сопротивление ПП с расположенными на ней элементами? Неужели плату нужно описывать подробно, разбивая ее на подэлементы? Нет, не нужно. В нашем случае умными людьми было проделано множество опытов, расчетов и моделирования. В принципе, все платы можно свести к тому или иному типовому случаю с точки зрения обтекаемости воздухом. Для каждого из них существует более или менее точная эмпирическая формула для расчета. В следующей таблице показаны эти формулы для различных конфигураций и расположений ПП внутри корпуса. Нам нужен случай (a) – одиночная ПП.

Пример расчета
Для примера запишем воздушное сопротивление для следующего корпуса с расположенной в ней ПП.

Рис. 9. Пример устройства, для которого был произведен расчет.
В данном случае присутствуют следующие воздушные сопротивления: входная перфорация, расширение на выходе вентилятора, сопротивление ПП, сопротивление между ПП и верхней крышкой корпуса, сопротивление выходной перфорации. Все эти сопротивления записываются последовательно, и тут нет ничего сложного. Расчет приведен в приложенном файле MathCAD, поэтому кому надо, может заглянуть и воспользоваться наработками. Вам нужно использовать свои геометрические размеры элементов, перфорации. Кроме того в этом файле приводится расчет воздушного сопротивления радиаторов, которые установлены на ЦП1 и ЦП2. Здесь я не привожу их расчет. Все расчеты взяты из книги Gordon N. Elison Thermal Calculations for Electronics.
Приведу получившиеся результаты. На графике (Рис. 9) показано красным воздушное сопротивление и включение дополнительного вентилятора последовательно, а на рисунке 10, параллельно.

Рис. 9. Результаты расчета для включенных последовательно вентиляторов

Рис. 10. Результаты расчета для включенных параллельно вентиляторов
Итог
Система получилось с низким воздушным сопротивлением, следовательно больший эффект даст параллельное включение вентиляторов. Теперь, зная параметры системы можно приступать к расчету теплового режима Вашего электронного устройства. Как это сделать при помощи инженерных приближений описано здесь, а также подтверждение результата здесь при помощи моделирования в Autodesk CFD.
Данная статья была написана при помощи книги Gordon N. Elison Thermal Calculations for Electronics.
Ссылка на файл MathCAD для расчетов.
Автор: human_being
