Проблематика
Итак, вы принимаете аналоговый сигнал, смотрите на результаты показаний и видите, что сигнал совершенно далек от идеального: шумы, искажения, колебания. На рисунке показана разница между реальным и идеальным сигналом. Все из-за шумов, которые он принимает. Чтобы выделить и выровнять полезный сигнал и не слушать бесконечное шипение, важно понять, как различные схемы фильтрации могут влиять на качество сигнала.
ФВЧ vs. ФНЧ
Частотные фильтры — электрическая цепь, которая эффективно пропускает только одну область частот. Устройство позволяет «игнорировать» лишние частоты. Тем самым выделять и выравнивать сигналы любой формы.
Фильтр нижних частот — пропускает частоты ниже частоты среза.
Фильтр верхних частот — пропускает частоты выше частоты среза.
Частота среза — это такая частота, на которой ослабление фильтра равно -3 дБ в логарифмическом масштабе (в линейном это 0,707).
Принцип работы ФНЧ:
-
При высоких частотах конденсатор начинает действовать как проводник, так как его реактивное сопротивление
уменьшается с увеличением частоты. Это приводит к тому, что высокочастотный сигнал "шунтируется" через конденсатор на землю, а на выход поступает ослабленный сигнал.
-
При низких частотах конденсатор имеет высокое реактивное сопротивление и фактически блокирует ток, позволяя низкочастотным компонентам сигнала пройти на выход через резистор.
Так, получаем следующие АЧХ и ФЧХ ФНЧ. А также частота среза равна .
Принцип работы ФВЧ:
-
При низких частотах, конденсатор имеет большое реактивное сопротивление
, поэтому он не пропускает низкочастотный сигнал, создавая высокое сопротивление цепи.
-
При высоких частотах, реактивное сопротивление конденсатора уменьшается, и он начинает пропускать сигнал. Таким образом, высокочастотный сигнал может пройти через конденсатор и попасть на выход.
-
Резистор помогает создать правильное распределение напряжений на низких и высоких частотах, регулируя передачу сигнала.
Так, получаем следующие АЧХ и ФЧХ ФВЧ. Частота среза также равна .
Мост Вина
А что если скомбинировать ФВЧ и ФНЧ. Получим мост Вина, который подавляет низкие и высокие частоты, пропуская только сигналы в определённом диапазоне. Настройка частоты отсечки осуществляется подбором номиналов резисторов и конденсаторов, что позволяет точно регулировать диапазон частот, который фильтр будет пропускать. Обычно номиналы резисторов порядка кОм, а конденсаторов - нФ, но более точные показания рассчитываются по формуле частоты среза.
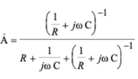
Коэффициент передачи: , где
и
- импедансы.
Также введем безразмерную нормированную частоту. Тогда можно выразить коэффициент передачи следующим образом.

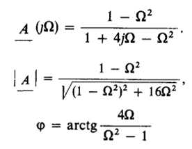
Согласно данным формулам получим следующие АЧХ и ФЧХ. Максимальный коэффициент
передачи при квазирезонансной частоте
или
.
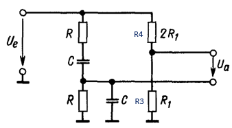
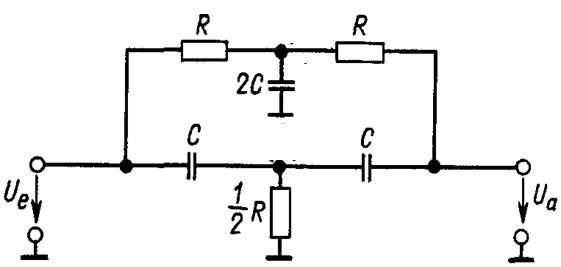
Мост Вина-Робинсона
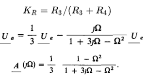
Если полосовой фильтр дополнить сопротивлениями R1 и 2R1, то получится мост Вина-Робинсона, который подавляет сигналы в определенной частотной области.
Выходное напряжение снимается на диагонали моста между двумя его ветвями. Омический делитель напряжения обеспечивает частотно-независимое напряжение, равное . При этом на резонансной частоте выходное напряжение равно нулю, так как выходное напряжение снимается на диагонали моста (см. схему). В отличие от полосового фильтра амплитудно-частотная характеристика коэффициента усиления на резонансной частоте имеет минимум. Схема применима для подавления сигналов в определенной частотной области.
Для высоких и низких частот:
.
Резонансная частота
или
.
Двойной Т-образный мост
Двойной Т-образный фильтр обладает частотной характеристикой, идентичной характеристике моста Вина-Робинсона.
Он тоже пригоден для подавления определенной частотной области. В отличие от моста Вина-Робинсона выходное напряжение снимается относительно общей точки. Для высоких и низких частот . Сигналы высоких частот будут полностью передаваться через два конденсатора С, а сигналы низких частот — через резисторы R.
Для высоких и низких частот:
.
Резонансная частота
или
.
Применение Моста Вина
Генератор с мостом Вина — генератор синусоидальных колебаний.
Генератор представляет собой электронный усилитель, охваченный частотнозависимой положительной обратной связью через мост Вина. При изменении параметров моста Вина генератор может генерировать напряжение в широком перестраиваемом диапазоне частот и генерирует синусоидальное напряжение с малыми отличиями от идеального синусоидального сигнала.
В приведенной схеме примером в качестве активного усилительного элемента показан операционный усилитель (ОУ), включенный для генерируемого сигнала по схеме неинвертирующего усилителя. Коэффициент передачи по напряжению неивертирующего усилителя на ОУ:
Таким образом, устойчивая генерация синусоидального сигнала с малыми искажениями и без колебаний амплитуды обеспечивается при K=3: и следующими условиями:
При этом частота генерируемого напряжения тогда будет равной квазирезонансной частоте моста Вина
.
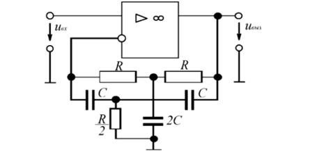
Применение двойного Т-образного моста
С помощью двойного Т-образного моста и операционного усилителя можно создать cпециальный избирательный усилителей с очень узкой полосой пропускания, предназначенных для выделения «полезных» сигналов определенной частоты.
Коэффициент усиления избирательного усилителя с двойным Т-образным мостом в цепи отрицательной обратной связи выражается через параметры усилителя и цепи обратной связи. где β — комплексный коэффициент передачи цепи обратной связи (коэффициент передачи Т-образного моста).
Избирательные усилители с двойным Т-образным мостом в цепи обратной связи хорошо работают на квазирезонансных частотах от единиц герц до нескольких мегагерц. Их избирательные свойства зависят от коэффициента усиления К: чем больше этот коэффициент, тем лучше усиливается полезный сигнал по сравнению с очень низкими и очень высокими частотами.
Коэффициент передачи данного устройства можно рассчитать следующим образом:
Выводы

Мост Вина и двойной Т-образный мост широко используются в электронике для генерации, фильтрации и обработки сигналов.
Выбор между мостом Вина и двойным Т-образным мостом зависит от конкретных требований устройства. Для обычных задач может быть достаточно моста Вина, в то время как для более сложных задач, требующих высокой стабильности и качества сигнала, лучше подойдет двойной Т-образный мост.
Источники
О фильтрах: https://habr.com/ru/companies/selectel/articles/721558/
Избирательный усилитель: https://bstudy.net/806879/spravochnik/izbiratelnye_usiliteli
Генератор с мостом Вина: https://ru.wikipedia.org/wiki/Генератор_с_мостом_Вина
Частотные характеристики: https://studfile.net/preview/16520089/page:7/
Автор: mmaxmos
