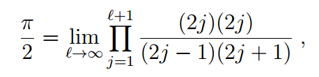
В 1655 году английский математик Джон Валлис опубликовал трактат «Арифметика бесконечного», где вывел формулу числа π из произведения бесконечного ряда дробей, которые постепенно сходятся.

Формула Валлиса мало пригодна для практических вычислений, но была полезна во многих теоретических исследованиях. Теперь математики из университета Рочестера (США) внезапно обнаружили, что та же самая формула подходит для описания квантово-механических энергетических уровней атома водорода. Это означает наличие прямой связи реального мира физики и абстрактного мира чистой математики.
«Мы не искали специально формулу Валлиса для π. Она сама попала к нам в руки, — говорит Карл Хаген (Carl Hagen), соавтор научной статьи "Quantum mechanical derivation of the Wallis formula for π", опубликованной в «Журнале математической физики».
«Для нас это стало полной неожиданностью — я буквально запрыгал в тот момент, когда мы вывели формулу Валлиса из уравнений для атомов водорода, — признался его коллега Тамар Фридманн (Tamar Friedmann) из университета Рочестера. Что главное в этом – наше открытие красивым образом соединяет физику и математику. Меня поражает то, как чисто математическая формула из 17 века характеризует физическую систему, которая была открыта только через 300 лет после её выведения».
Странную закономерность первым заметил Карл Хаген совершенно случайно. Он решал со студентами задачку по расчёту положений энергоуровней атома водорода. Для этого используются особые версии уравнения Шрёдингера. В то же время значения энергоуровней хорошо известны из реальных экспериментов.
Вместе со студентами преподаватель обратил внимание, что разброс в предсказанных и реальных положениях энергоуровней следовал некой математической закономерности, двигаясь от нижних к верхним уровням. К примеру, уровень ошибки для первого уровня, где находится единственный электрон водорода, составлял 15%, для второго — 10% и так далее.
Хакен обратился за помощью к Фридманну, математику по образованию. Тот и вспомнил о старой формуле Валлиса. Оказалось, что соотношение дробей в формуле в точности соответствует разбросу между реальными и вычисленными значениями энергетических уровней.

На низкоэнергетической орбите положение электрона нечёткое и размытое, а в более возбуждённом состоянии орбиты становятся более чётко определёнными и ошибка в предсказании положения электрона и радиуса орбиты уменьшается.
Теория квантовой механики была сформулирована в начале 20 века, а формула Валлиса известна веками, но связи между ними прежде никто не видел: «Природа хранила этот секрет последние 80 лет, — говорит Фридманн. — Я
Автор: alizar
