
В современном мире системы связи играют важную роль в развитие нашего мира. Каналы передачи информации буквально опутывают нашу планету, связывая различные информационные сети в единую глобальную сеть Интернет. Дивный мир современных технологий включает в себя передовые открытия науки и техники, не редко связанные также с удивительными возможностями квантового мира. Можно с уверенностью сказать, что на сегодняшний день квантовые технологии прочно вошли в нашу жизнь. Любая мобильная техника в наших карманах оснащена микросхемой памяти, работающая с использованием квантового туннелирования заряда. Подобное техническое решение позволило инженерами компании Toshiba построить 1984 году транзистор с плавающим затвором, ставшим основой для построения современных микросхем памяти. Мы каждый день пользуемся подобными устройствами, не задумываясь, на чем основана их работа. И пока физики ломают голову пытаясь объяснить парадоксы квантовой механики, технологическое развитие берет на вооружение удивительные возможности квантового мира.
В данной статье мы рассмотрим интерференцию света, и разберем способы построения канала связи для мгновенной передачи информации с применением квантовых технологий. Хотя многие полагают, что невозможно передавать информацию быстрее скорости света, при правильном подходе даже такая задача становится решаемой. Думаю, вы сами сможете в этом убедиться.
Введение
Наверняка многие знают о явлении под названием интерференция. Пучок света направляется на непрозрачную ширму с двумя параллельными прорезями, позади которого устанавливается проекционный экран. Особенность прорезей в том, что их ширина приблизительно равна длине волны излучаемого света. На проекционном экране получается целый ряд чередующихся интерференционных полос. Этот опыт, впервые проведенный Томасом Юнгом, демонстрирует интерференцию света, ставший экспериментальным доказательством волновой теории света в начале XIX века.

Логично предположить, что фотоны должны проходить сквозь щели, создавая две параллельные полосы света на заднем экране. Но вместо этого на экране образуется множество полос, в которых чередуются участки света и темноты. Дело в том, что когда свет ведет себя как волна, каждая прорезь является источником вторичных волн. В местах, где вторичные волны достигают экран в одной фазе, их амплитуды складываются, что создает максимум яркости. А там, где волны оказываются в противофазе — их амплитуды компенсируются, что создаст минимум яркости. Периодическое изменение яркости при наложении вторичных волн создает на экране интерференционные полосы.
Но почему же свет ведет себя как волна? В начале, ученые предположили, что возможно фотоны сталкиваются между собой и решили выпускать их поодиночке. В течение часа на экране вновь образовалась интерференционная картина. Попытки объяснить данное явление привели к предположению, что фотон разделяется, проходит через обе щели, и сталкиваясь сам собой образует интерференционную картину на экране.
Любопытство ученых не давало покоя. Они хотели знать, через какую щель фотон проходит по настоящему, и решили пронаблюдать. Для раскрытия этой тайны перед каждой щелью поставили детекторы, фиксирующей прохождение фотона. В ходе эксперимента выяснилось, что фотон проходит только через одну щель, либо через первую, либо через вторую. В результате на экране образовалась картина из двух полос, без единого намека на интерференцию. Наблюдение за фотонами разрушило волновую функцию света, и фотоны начали вести себя как частицы! Пока фотоны находятся в квантовой неопределенности, они распространяются как волны. Но когда за ними наблюдают, фотоны теряют волновую функцию и начинают вести себя как частицы.
Далее опыт повторили еще раз, с включенными детекторами, но без записи данных о траектории движения фотонов. Несмотря на то, что опыт полностью повторяет предыдущий, за исключением возможности получения информации, через некоторое время на экране вновь образовалась интерференционная картина из светлых и темных полос.
Получается, что влияние оказывает не любое наблюдение, а только такое, при котором можно получить информацию о траектории движения фотонов. И это подтверждает следующий эксперимент, когда траектория движения фотонов отслеживается не с помощью детекторов установленных перед каждой щелью, а с помощью дополнительных ловушек, по которым можно восстановить траекторию движения не оказывая взаимодействия исходным фотонам.
Квантовый ластик
Начнем с самой простой схемы (это именно схематичное изображение эксперимента, а не реальная схема установки).

Отправим лазерный луч на полупрозрачное зеркало (ПП). Обычно такое зеркало отражает половину падающего на него света, а другая половина проходит насквозь. Но фотоны, будучи в состоянии квантовой неопределенности, попадая на полупрозрачное зеркало, выбирают оба направления одновременно. Затем, каждый луч отражаясь зеркалами (1) и (2) попадает на экран, где наблюдаем интерференционные полосы. Все просто и ясно: фотоны ведут себя как волны.

Теперь попытаемся понять, по какому же именно пути прошли фотоны – по верхнему или по нижнему. Для этого на каждом пути поставим даун–конверторы (ДК). Даун–конвертор – это прибор, который при попадании в него одного фотона рождает 2 фотона на выходе (каждая с половиной энергии), один из которых попадает на экран (сигнальный фотон), а второй попадает в детектор (3) или (4) (холостой фотон). Получив данные с детекторов мы будем знать, по какому пути прошел каждый фотон. В этом случае интерференционная картина исчезает, ведь мы узнали, где именно прошли фотоны, а значит, разрушили квантовую неопределенность.

Далее мы немного усложним эксперимент. Поставим на пути каждого «холостого» фотона отражающие зеркала и направим их на полупрозрачное зеркало (слева от источника на схеме). Так как «холостые» фотоны с вероятностью 50% проходят через такое зеркало или же отражаются от него, они с равной вероятностью попадут либо на детектор (5), либо на детектор (6). Не зависимо от того, какой из детекторов сработает, мы не сможем узнать по какому пути прошли фотоны. Этой замысловатой схемой мы стираем информацию о выборе пути и восстанавливаем квантовую неопределенность. В результате на экране будет отображаться интерференционная картина.
Если решим выдвинуть зеркала, то «холостые» фотоны вновь попадут на детекторы (3) и (4), и как мы знаем, на экране интерференционная картина исчезнет. Это означает, что меняя положение зеркал, мы можем менять отображаемую картину на экране. Значит, можно воспользоваться этим для кодирования двоичной информации.

Можно немного упростить эксперимент и получить тот же результат, двигая полупрозрачное зеркало на пути «холостых» фотонов:

Как мы видим, «холостые» фотоны преодолевают больше расстояния, чем их партнеры, которые попадают на экран. Логично предположить, если изображение на экране формируется раньше, то полученная картина не должна соответствовать тому, определяем ли траекторию «сигнальных» фотонов либо стираем эту информацию. Но практические опыты показывают обратное – не зависимо от расстояния, изображение на экране всегда соответствует выполненным действиям с холостыми фотонами. Согласно информации из википедии:
Основной результат эксперимента заключается в том, что не имеет значения, был процесс стирания выполнен до или после того, как фотоны достигли экрана детектора.
Подобный опыт также описывается в книге Брайана Грина «Ткань космоса и пространство». Это кажется невероятным, меняющим причинно-следственные связи. Попробуем разобраться что к чему.
Немного теории
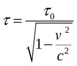
Если посмотрим специальную теорию относительности Эйнштейна по мере увеличения скорости происходит замедление времени, согласно формуле:

где r – длительность времени, v – относительная скорость движения объекта.
Скорость света является предельной величиной, поэтому для самих частиц света (фотонов) время замедляется до нуля. Правильнее сказать для фотонов не существует времени, для них существует только текущий момент, в котором они пребывают в любой точке своей траектории. Это может казаться странным, ведь мы привыкли полагать, что свет от далеких звезд достигает нас спустя миллионы лет. Но с ИСО частиц света, фотоны достигают наблюдателя в тот же момент времени, как только они излучаются далекими звездами.
Дело в том, что настоящее время для неподвижных объектов и движущихся объектов может не совпадать. Чтобы представить время, необходимо рассмотреть пространство-время в виде непрерывного блока растянутого во времени. Срезы, формирующие блок, являются моментами настоящего времени для наблюдателя. Каждый срез представляет пространство в один момент времени с его точки зрения. Этот момент включает в себя все точки пространства и все события во вселенной, которые представляются для наблюдателя как происходящее одновременно.

В зависимости от скорости движения, срез настоящего времени будет делить пространство-время под разными углами. По направлению движению, срез настоящего времени смещается в будущее. В противоположном направлении, срез настоящего времени смещается в прошлое.

Чем больше скорость движения, тем больше угол среза. При скорости света срез настоящего времени имеет максимальный угол смещения 45°, при котором время останавливается и фотоны пребывают в одном моменте времени в любой точке своей траектории.
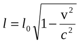
Возникает резонный вопрос, каким образом фотоны могут одновременно находится в разных точках пространства? Попробуем разобраться, что же происходит с пространством на скорости света. Как известно, по мере увеличения скорости наблюдается эффект релятивистского сокращения длины, согласно формуле:

где l – это длина, а v – относительная скорость движения объекта.
Не трудно заметить, что на скорости света любая длина в пространстве будет сжато до нулевого размера. Значит, по направлению движения фотонов пространство сжимается в маленькую точку планковских размеров. Можно сказать для фотонов не существует пространства, так как вся их траектория в пространстве с ИСО фотонов находится в одной точке.
Итак, теперь мы знаем, что не зависимо от пройденного расстояния сигнальные и холостые фотоны одновременно достигают экрана и наблюдателя, так как с точки зрения фотонов не существует ни времени ни пространства. Учитывая квантовую сцепленность сигнальных и холостых фотонов, любое воздействие на один фотон будет моментально отражается на состоянии его партнера. Соответственно, картина на экране всегда должна соответствовать тому, определяем ли мы траекторию фотонов, либо стираем эту информацию. Это дает потенциальную возможность моментальной передачи информации. Стоит только учесть, что наблюдатель не движется со скоростью света, и поэтому картину на экране необходимо анализировать после того, как холостые фотоны достигнут детекторов.
Практическая реализация
Оставим теорию теоретикам и вернемся к практической части нашего эксперимента. Чтобы получить картину на экране потребуется включить источник света и направить поток фотонов на экран. Кодирование информации будет происходить на удаленном объекте, движением полупрозрачного зеркала на пути холостых фотонов. Предполагается, что передающее устройство будет кодировать информацию с равными интервалами времени, например, передавать каждый бит данных за сотую долю секунды.

В качестве экрана можно использовать матрицу цифровой камеры, чтобы напрямую записывать на видео чередующиеся изменения. Затем записанную информацию необходимо отложить до момента, пока холостые фотоны достигнут своего местоназначения. Только после этого можно начать поочередно анализировать записанную информацию, чтобы получить передаваемую информацию. Для примера, если кодирующее устройство находится на Марсе, то анализ информации необходимо начинать с опозданием на десять-двадцать минут (ровно на столько, сколько требуется свету, чтобы достичь красную планету). Несмотря на то, что анализ информации производится с отставанием в десятки минут, полученная информация будет соответствовать тому, что передается с Марса в текущий момент. Соответственно, вместе с приемным устройством придется устанавливать лазерный дальномер, чтобы точно определить интервал времени, с которого нужно начинать анализировать передаваемую информацию.
Необходимо также учесть, что окружающая среда оказывает негативное влияние на передаваемую информацию. При столкновении фотонов с молекулами воздуха неминуемо происходит процесс декогеренции, увеличивая помеху в передаваемом сигнале. Чтобы максимально исключить влияние окружающей среды можно передавать сигналы в безвоздушном космическом пространстве, используя для этого спутники связи.
Организовав двухстороннюю связь, в перспективе можно построить каналы связи для моментальной передачи информации на любую дальность, до которых смогут добраться наши космические аппараты. Такие каналы связи будут просто необходимы, если потребуется оперативный доступ к сети интернет за пределами нашей планеты.
P.S. Остался один вопрос, которую мы постарались обойти стороной: а что случится, если мы посмотрим на экран до того, как холостые фотоны достигнут детекторов? Теоретически (с точки зрения специальной относительности Эйнштейна), мы должны увидеть события будущего. Более того, если отразить холостые фотоны от далеко расположенного зеркала и вернуть их назад, мы могли бы узнать собственное будущее. Но в реальности, наш мир куда более загадочнее, поэтому, трудно дать правильный ответ без проведения практических опытов. Возможно, мы увидим наиболее вероятный вариант будущего. Но как только мы получим эту информацию, будущее может измениться и возникнуть альтернативная ветка развития событий (согласно гипотезе многомировой интерпретации Эверетта). А возможно мы увидим смесь из интерференции и двух полос (если картина будет составлена из всех возможных вариантов будущего).
Полезные ссылки:
Walborn, S. P. (2002). «Double-Slit Quantum Eraser». Phys. Rev. A 65
Delayed choice quantum eraser. The experiment of Kim et al. (1999)
Эксперимент квантового ластика
Выступление Тома Кэмпбела
Квантовый ластик, предложенный Скалли и Дрюлем
Автор: Айбулат Рамазанович
