Ученые из МФТИ и Университета Сучжоу (Китай) провели исследование нелинейности и квантовых эффектов наночастиц, обернутых в графен, при воздействии на них импульсами высокочастотного лазера большой интенсивности. Работа опубликована в Journal of Applied Physics. Она открывает новые возможности для управления сверхкороткими импульсами для нанофотоники.
Разработки в области управления плазмонными колебаниями (коллективными колебаниями свободных электронов в проводнике) давно привлекают внимание ученых. Эксперименты в этой области показывают принципиальную возможность создания вычислительных устройств с очень высокими рабочими частотами и при этом имеющих еще большую степень миниатюризации, чем современные компьютерные чипы. Типичный центральный процессор работает на частотах от сотен мегагерц до нескольких гигагерц, а плазмонные волны дают возможность использовать куда более высокие частоты — начиная от тысяч гигагерц. Помимо проектирования сверхбыстрых чипов, исследования в области плазмонных колебаний применяются для создания новых, более чувствительных сенсоров и прочих наноустройств.
Свободные электроны в проводнике движутся с огромными скоростями и могут быть рассмотрены как особый вид плазмы. Хотя плазмоны — это квантованные классические колебания частиц внутри металлов, большинство их свойств могут быть выведены напрямую из уравнений Максвелла. Ученые из России и Китая произвели именно такое теоретическое исследование, опираясь на математические модели классической электродинамики.
В работе было проведено теоретическое описание и численное моделирование наночастиц с графеновой оболочкой. Моделировались результаты воздействия на эти частицы очень короткими (в масштабе пикосекунд) электромагнитными импульсами.
Рисунок 1. Наночастица с графеном, которую облучают электромагнитным импульсом. Источник: Journal of Applied Physics
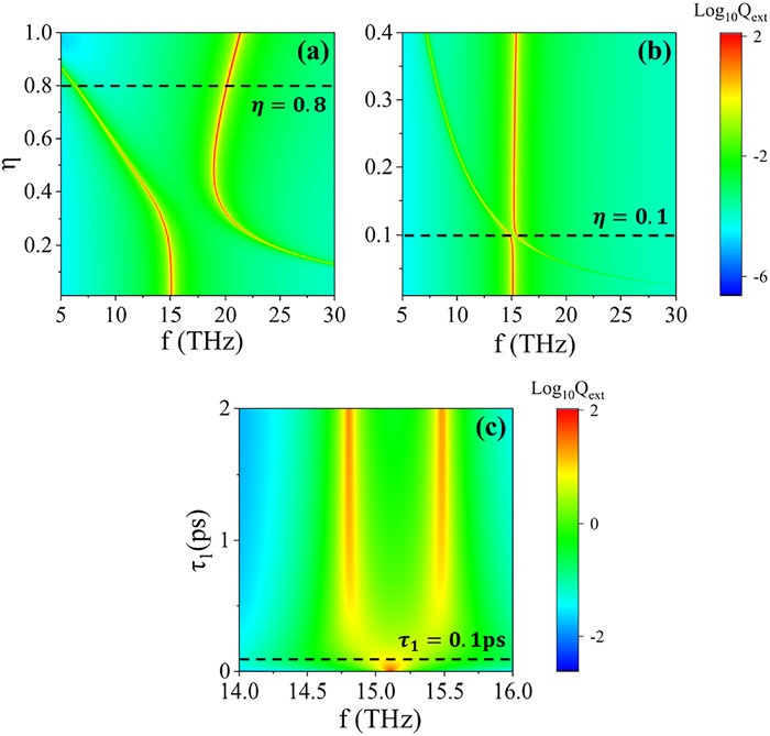
Ученые построили спектры эффективности затухания плазмонов в наночастицах, обернутых в графен, в зависимости от частоты, соотношения размеров ядра и оболочки и времени релаксации. Это позволило определить, насколько сильно частицы реагируют на импульсы. Более интенсивный отклик соответствовал резонансу.
Рисунок 2. Зависимость параметров плазмонов частицы от частоты импульса. Источник: Journal of Applied Physics
На основе численных экспериментов физики выделили три типичных случая: две резонансные частоты сильно отличаются друг от друга, две резонансные частоты близки друг к другу и случай с одной резонансной частотой.
Рисунок 3. Зависимость сечения экстинкции от частоты импульса в трех типичных случаях. Источник: Journal of Applied Physics
Для каждого случая ученые рассчитали дипольный момент наночастицы под воздействием пикосекундного электромагнитного импульса. Оказалось, что, подбирая разные параметры наночастицы, такие как относительная диэлектрическая проницаемость ядра, оболочки и среды, соотношение размеров ядра и оболочки наночастицы, можно наблюдать самые разные варианты плазмонного отклика в зависимости от частоты импульса. Сверхбыстрые плазмонные колебания очень высокой амплитуды, представляющие особый интерес для использования их в электронике, возникают либо из-за сильного действия частицы на саму себя, либо в случае близких значений двух резонансных частот. Исследованы были также и случаи, когда возникает очень быстрое затухание колебаний.
Полученные знания позволят создавать частицы, нужные для практических приложений, и управлять их плазмонными колебаниями. Однако исследование требует продолжения. Для полного описания, особенно в случае крупных частиц, необходимо использовать более сложную теорию, учитывающую взаимодействие разных мод между собой и нелинейные эффекты в графене при мощных импульсах.
«Мы изучили временную динамику перестраиваемой наночастицы из ядра и оболочки, обернутых в графен, облучаемых пикосекундным гауссовым импульсом. В выбранных типичных случаях мы обнаружили, что временные профили амплитуды дипольного момента могут представлять собой два вида сверхбыстрых колебаний со следующими тенденциями: стремление к экспоненциальному затуханию, чистое экспоненциальное затухание и тривиальная гауссова форма», — объяснил суть исследования Александр Шалин, главный научный сотрудник лаборатории контролируемых оптических наноструктур МФТИ
Александр Шалин отдельно отметил практическую важность своей работы: «Мы продемонстрировали биения, возникающие при интерференции двух сильно связанных плазмонных резонансов. При этом оба периода таких колебаний могут быть промодулированы путем изменения параметров структуры. Данные результаты открывают путь к новым эффектам при взаимодействии пикосекундного излучения с веществом и позволят в дальнейшем разработать новые виды лазеров, сенсоров и элементов оптических цепей».
К сказанному ученым следует добавить, что результаты этого исследования могут быть использованы при создании новых оптических датчиков, а также применены для оптической обработки информации и в работе других нанофотонных устройств.
Автор: master_program
