
Структура идеального графена — исключительно шестиугольные ячейки. Пяти и семиугольные приводят к дефектам различного характера (Источник: festa/Shutterstock.com)
Команда ученых из Университета Глазго заявила о разработке технологии получения больших листов графена, с себестоимостью в 100 раз ниже, чем у прочих современных техпроцессов. Наиболее распространенный метод получения графена основан на химическом осаждении паров (chemical vapour deposition, CVD), когда газообразные реагенты, конденсируясь, осаждаются на специальный субстрат и образуют графеновую пленку.
Исследователи разработали схожий процесс, который позволяет получать листы качественного графена с минимум дефектов на обычной медной фольге. Этот материал широко распространен, а используется для создания катодов в литиевых аккумуляторов. Очень гладкая поверхность листов меди — практически идеальная подложка для формирования листов графена.
Авторы технологии обнаружили, что характеристики транзисторов, изготовленных с использованием графена, полученного по новому техпроцессу, лучше, чем характеристики аналогичных элементов, с графеном, изготовленных по старому техпроцессу. Речь идет, в частности, об электропроводности и оптических свойствах.

Процесс выращивания листов графена на поверхностях разного типа. a — медные листы, используемые в стандартном техпроцессе; d — медная фольга, использованная в новом техпроцессе. b, e — снимок поверхности двух типов медной фольги, полученный с использованием электронного микроскопа; c, f — «хлопья» графена на двух различных поверхностях, снимок получен при помощи электронного микроскопа. Плотность и очертания «хлопьев» графена различаются.
«Доступные листы меди, которые мы использовали в нашем техпроцессе, стоит около $1 за квадратный метр, в то время, как специальные листы меди, используемые для получения графена по старой технологии, стоят около $115 за квадратный метр. Это гораздо более дорогой материал, который зачастую требует специальной подготовки перед использованием», — говорит доктор Равиндер Дахия, один из авторов идеи.

a,b — изображения поверхности ультрагладкой медной фольги, используемой в новом техпроцессе, с частичным покрытием графеновыми «хлопьями». c — поверхностная топография слоя графена, полученного на ультрагладкой медной фольге. Снимки получены с использованием электронного микроскопа
«Наша методика позволяет получать высококачественный графен с небольшими затратами, что позволяет сделать шаг вперед в плане создания новых электронных устройств, применять которые можно во многих сферах — начиная умными городами, и заканчивая мобильным здравоохранением», — продолжил ученый.

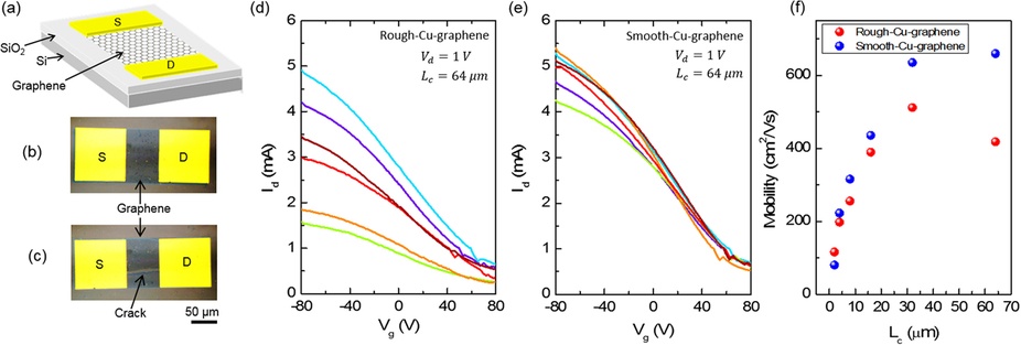
a — схематическое изображение графенового транзистора. b,c — фотографии графеновых транзисторов, с графеном, полученным по новому техпроцессу (b) и графеном, полученным по старому техпроцессу (с). d,e — графики, показывающие проводимость шести разных транзисторов, с графеном, полученным по разным методикам (d — стандартные медные листы, e — гладкие), f — полевой эффект мобильности 10 различных транзисторов, с «обычным» графеном и графеном, изготовленным по новому техпроцессу.
По мнению специалиста, графен можно использовать и в протезировании, обеспечивая проводимость искусственных конечностей. Это позволяет создавать протезы с функцией осязания, то есть человек с таким протезом может ощущать прикосновение к разным типам поверхностей.

Электрооптический отклик гибких графеновых конденсаторов, с использованием «обычного» графена и графена, созданного по новому техпроцессу. Площадь конденсатора — около ~400 см2.
Конечно, есть и другие способы получения графена, некоторые из которых довольно необычны. Например, одним из таких способов является использование миксера с высокими оборотами и жидкости для мытья посуды Fairy. В этой технологии использован блендер Kenwood BL370.

Конечно, в результате образуются отдельные графеновые чешуйки, а не листы, но простота метода удивляет.
В январе этого года о недорогом способе получения графена заявили голландские ученые во главе с Чжу Шоуэнем. Здесь речь идет о получении миллиметровых фрагментов графена. Для получения графена новым способом на медный лист наносится смесь из водорода, метана и аргона при температуре в 1000 градусов Цельсия. Продуктом реакции является чистый углерод толщиной в один атом, покрывающий медный лист.
Автор: marks
