Теоретически, карбин в 40 раз прочнее алмаза
Углерод очень разнообразен в своих модификациях. Известны многие аллотропы углерода, которые обладают уникальными свойствами: алмаз, графен, фуллерен и т.д., всего около десятка аллотропов. Но во всём этом многообразии было одно исключение — карбин. Эта аллотропная форма состоит из углеродных фрагментов с тройной –С≡С– связью.
Карбин никак не удавалось синтезировать, хотя свойства этого материала изучают очень давно. Причина неудач в том, что карбин исключительно нестабилен.
Терпя неудачу за неудачей, учёные рассуждали, что некоторые механические свойства карбина должны превосходить свойства всех известных аллотропов углерода. Предполагалось, что его механическая жёсткость в 2 раза больше, чем у графена; прочность — в 40 раз больше, чем у алмаза; предел прочности на разрыв тоже больше, чем у любой формы углерода. Ну, а другие учёные считали, что стабильной формы карбина вообще не существует.
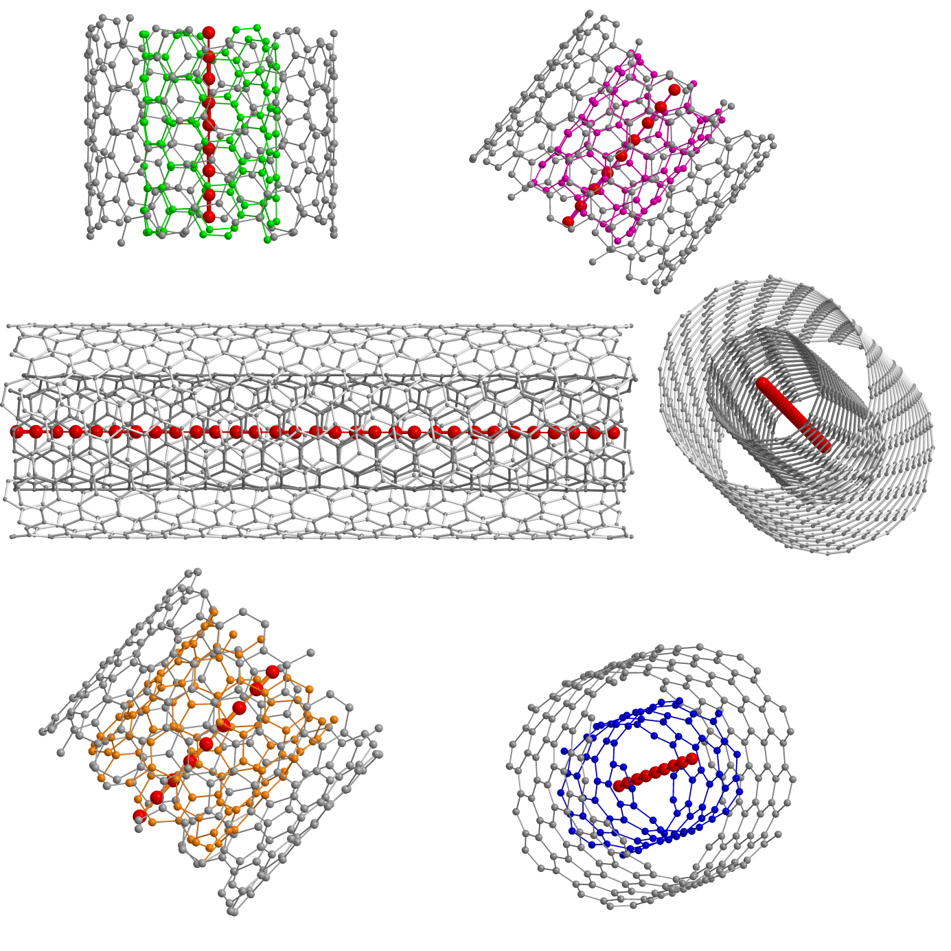
Теперь в этом споре поставлена точка. Сверхдлинную 1D-молекулу карбина мы видим прямо на фотографии (по центру нанотрубки).

Международная группа учёных впервые нашла способ массового производства стабильного карбина. Под «массовым производством» подразумевается составление цепочек атомов большой длины, которые сохраняют стабильность.
Для производства материала взяли два слоя графена, сжали их вместе и скрутили в тонкие углеродные нанотрубки с двойной стенкой. Эти нанотрубки окружают 1D-молекулу карбина и защищают её от неминуемой дезинтеграции.

До сегодняшнего дня максимальное количество атомов углерода в одной непрерывной цепи было 100 (2003 год). Теперь рекорд побит, и очень существенно: новый метод позволил составить цепочку из 6400 атомов, и это не предел.
Кроме того, с удлинением цепочки улучшались электрические свойства карбина. Это значит, что учёные получат материал для интересных экспериментов.
Статья «Замкнутые линейные углеродные цепи как путь к массовому производству карбина» опубликована в журнале Nature Materials (doi:10.1038/nmat4617; pdf).
Приятно, что в опубликованной статье есть несколько ссылок на работы отечественных учёных, в том числе на статью в журнале «Природа» от 1969 года, где советские физики Сладков и Кудрявцев описывали свойства алмаза, графита и карбина как аллотропных форм углерода.
Нужно заметить, что Нобелевские премии по физике недавно присуждали за фундаментальные работы по другим аллотропным формам углерода: фуллерену (1996) и графену (2010), так что синтез карбина — это ценная задача для учёных.
Автор: alizar
