
Напечатанный магнит в форме маленькой чашки
Обычные магниты традиционно делают методом спекания. Это ограничивает их форму. Инженерам и конструкторам при разработке изделий приходится выбирать между магнитами доступных форм.
С другой стороны, недавно появились полимерные магниты (полимагниты). В них используют смесь магнитного порошка NdFeB (диаметр гранул около 45 мкм) и пластика либо резины, а изготавливают литьём под давлением. У этих магнитов практически произвольная форма. Фактически, вы заранее можете запрограммировать форму магнитного поля — и изготовить постоянный магнит необходимой формы именно для своей конструкции. Такая технология уже используется в промышленности, а магниты применяют в том числе для разных трюков.
У полимерных магнитов есть недостаток. По технологическим и экономическим причинам их изготавливают из изотропного порошка, поэтому максимальная энергия продукта — значение (BH)max — таких магнитов в два и более раз уступает максимальной энергии обычных магнитов. Можно было бы использовать магнитный порошок с лучшими свойствами, но в этом случае теряется экономический смысл производства таких магнитов, потому что их стоимость сильно возрастает, а увеличенный (BH)max, то есть сильный магнит, нужен далеко не всем. Впрочем, речь не об этом.
До настоящего времени не существовало технологии штучного производства полимерных магнитов со сложной структурой. Благодаря инженерам из Венского технического университета появилась первая работа в этой области. Для изготовления магнитов инженеры применили 3D-печать (а для сравнения качества — ещё и обычное литьё под давлением).

Инженеры Венского технического университета рядом с принтером, компьютером для расчёта магнитного поля, 3D-принтером и нитью для печати полимерного магнита
Материалы для 3D-печати и литья под давлением изготовлены обработкой коммерческой смеси Neofer 25/60p. В этом порошке частицы NdFeB замешаны в полиамид 11, что хорошо видно на фотографии из микроскопа.

Порошок Neofer 25/60p в сканирующем туннельном микроскопе
Полиамид 11 — конструкционная пластмасса повышенной эластичности, как раз то, что нужно. В порошке гранулы NdFeB размешаны случайным образом, что ведёт к изотропным свойствам магнита.
Свойства материалов показаны в таблице: исходный порошок, смесь для 3D-печати и смесь для литья.

Изучение в сканирующем туннельном микроскопе показало, что частицы NdFeB в гранулах порошка Neofer 25/60p имеют сферическую форму размером примерно 50±20 мкм. Для 3D-печати материал подвергли предварительной атомизации и термообработке. То есть просеяли и разогрели. Пятимиллиметровые гранулы Neofer 25/60p затем сформовали в нити нужного диаметра 1,75±0,1 мм.

Инженеры выбрали принтер Builder 3D производства голландской компании Code P. Это коммерчески доступная модель, которая продаётся в интернете по цене от €1675 за самую маленькую модель до €3750 за самую большую. Учёным понравилась модель с рабочей зоной 220×210×164 мм и толщиной слоя 0,05−0,3 мм. Диаметр сопла — 0,4 мм. В него загрузили нити диаметром 1,75 мм. Эмпирическим путём установили оптимальные параметры печати, указанные в таблице.

Таким методом инженеры напечатали магнит заданной формы с заранее рассчитанным магнитным полем.

Проект магнита рассчитан решением уравнений Максвелла, как описано в научных работах Брюкнера с коллегами по макроскопической симуляции изотропных постоянных магнитов (1, 2).

Изначально изделие не обладало магнитным полем, но его намагнитили — поместили внутрь катушки в магнитное поле с индукцией 4 Т.
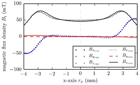
Чтобы проверить результаты эксперимента, силу и направленность магнитного поля, изготовили и откалибровали устройство с датчиком Холла с диапазоном измерения ±130 мТ. Оно позволило измерить 3D-форму магнитного поля за пределами магнита. Форма почти совпала с расчётной формой поля идеального магнита из компьютерной симуляции.

Сравнение реального и расчётного магнитных полей по всем осям
Изделие сложной формы размером 7×5×5,5 мм напечатано слоями высотой 0,1 мм с толщиной элементов 0,8 мм. Прочность получившегося магнита указывает на то, что 3D-печать вполне подходит для изготовления постоянных магнитов сложной формы. Такие магниты не уступают по своим свойствам полимерным магнитам, изготовленным из такого же материала методом литья под давлением. К тому же, у них меньшая масса.
Исследователи отмечают, что в некоторых устройствах необходимы постоянные магниты специальной формы. Например, магнит, который производит сильное поле в одном направлении, но как можно более слабое поле в ортогональном направлении.
Самое замечательное, что используя описанный метод, мы можем изготавливать магниты не только произвольной формы, но также применять самые разные материалы: от магнитно-мягких сплавов до твёрдо-магнитных NdFeB или ферритовых сплавов.
Возможность локально печатать у себя в мастерской магниты любой формы из материалов со специально подобранными магнитными свойствами позволяет делать магниты, которых нет в продаже. И которые вообще невозможно изготовить традиционными производственными методами.
Научная работа австрийских специалистов опубликована 17 октября 2016 года в журнале Applied Physics Letters (doi: 10.1063/1.4964856).
Автор: alizar
