
Год назад на конференции VideoTech ваш покорный слуга сделал большой доклад, в том числе про прогресс современных метрик качества видео (которыми мы довольно плотно занимаемся: тык, тык, тык, тык, тык, тык, тык, тык). А на открытой дискуссии тем же вечером представитель крупного российского видеосервиса поднялся и высказал всем мнение (своего менеджера):
«Измерение качества видео — это лишняя операция. Бизнес — это вообще-то про деньги. Поэтому в бизнесе главное — это бизнес-метрики: user retention, DAU, MAU и вообще ARPU. А все эти ваши PSNR, SSIM, VMAF — от лукавого. Если пользователи платят деньги и не отписываются, значит всех всё устраивает и это главная метрика качества».
«И вообще в свое время в Toyota был внедрен подход Lean Manufacturing, где одна из «семи потерь» — это потери из-за лишних этапов обработки (waste on over-processing), к которому, очевидно, относится измерение качества. Эти материи проходят на курсах MBA, которые довольно дороги. Поэтому далеко не все российские технари в теме этих важнейших понятий и не в состоянии осознать их критическую важность для бизнеса компаний».
Мне эта позиция (изложенная выше в короче и резче) очень понравилась своей прямотой и кристальной ясностью. Из этой дискуссии родились два наших сравнения — видеохостингов и онлайн кинотеатров, про которые и будет рассказано ниже. В том числе будет ответ на вопрос, который мне не раз задавали мои знакомые:
«Слушай, а почему у меня на даче YouTube через Роскомнадзор работает лучше Rutube без Роскомнадзор?»
(видеоверсия для желающих — доклад на VideoTech доступен тут)
Ну-с, господа, «которых всё устраивает!» Поехали!
Китайское доминирование в мире кодеков
Начнем с базы. Посмотрим на прогресс кодеков в последние годы.
Наша лаборатория занимается сравнением видеокодеков уже более 20 лет. И за это время мы видели многое. Но то, что происходит в последние три-четыре года — это нечто особенное. Кодеки эволюционируют с невероятной скоростью:

Это наш график из сравнения 2021 года. BSQ-rate — битрейт при том же качестве по метрике VMAF, меньше битрейт — лучше. Заштрихованные столбики — опенсорсные кодеки, сплошные — приватные реализации компаний. Уже 4 года назад было видно преимущество около 40% по экономии битрейта относительно x265 (взят за референс 100%). Но самое интересное — авторы кодеков топа. Tencent266 — Tencent, S266 — Alibaba, далее Tencent, QASV3 — китайский институт, HW266 — Huawei, S266 — Alibaba, V266 — Tencent, QAV1 — китайская iQIYI... Первые 8 мест занимают китайские кодеки! График можно смело неполиткорректно называть “Chinese Codecs Superiority…”, преимущество китайских кодеков. И это было до СВО, когда американские и европейские компании работали с нами без проблем и охотно участвовали в сравнениях!
Также обратите внимание: VVenC (открытая реализация VVC) показывала результаты даже хуже x265.

А теперь свежие данные 2023–2024 годов относительно того же x265, только большинство кодеков хуже него выкинуты, а кодеков лучше него стало больше. График можно смело называть “Tencent Codecs Superiority” — практически весь топ заняла одна китайская компания. Другие китайские гиганты, кстати, в топе тоже есть, но по разным причинам не все хотят светиться публично.
И вот что поразительно: разница с x265 теперь больше чем в три раза! Топовый нестандартный кодек Tencent TVC требует всего 30% от битрейта x265 при том же качестве. Это означает, что файл в три с лишним раза меньше или при том же размере качество радикально выше.
Очевидно, что за такими успехами в гонке стоят огромные R&D бюджеты. Я их вижу краем глаза (нам достается небольшая часть пирога) и, честно говоря, не хватает фантазии представить, чтобы столько же инвестировали российские компании. Почему компании стали вкладывать огромные деньги в развитие кодеков? Ответ прост: это экономит деньги и дает абсолютно недетское конкурентное преимущество. Когда у вас миллиарды просмотров в день, экономия даже 10% битрейта — это миллионы долларов экономии на CDN в год даже для средних компаний, благо, новые стандарты позволяют сжатие при том же качестве существенно нарастить.

Динамика прогресса впечатляет. Лучшие кодеки улучшили сжатие в тот же стандарт почти в два раза за три года! Такую скорость развития мы наблюдали лишь один раз очень давно, когда только начали появляться первые приватные реализации H.264. Но сейчас это происходит одновременно для четырех стандартов!
Важное замечание: тесты (2021 vs 2024) проводились на разном железе (сервера были обновлены), но кодеки выравнивались по скорости на 1 FPS, то есть средний фильм сжимается в один поток те же 3 дня. Для более новых кодеков свежее железо позволяет использовать более мощные пресеты — и это тоже заложено в эти проценты, но время работы серверов в облаке будет тем же. Есть и еще некоторые важные, но тонкие моменты.

Также стоит обратить внимание на разницу между открытыми и приватными реализациями.
-
VVC: публичный VVenC против приватного — разница в 2 раза
-
AV1: публичный SVT-AV1 против приватного — разница в 2 раза
-
HEVC: публичный x265 против приватного — разница в 2 раза
Судя по всему, халявы, как с x264 (который был очень хорошо развит и при этом open-source), уже не будет. Компании держат свои наработки при себе и обеспечивают конкурентное преимущество своих облаков и сервисов. И очевидно, почему компании делают свои кодеки и не продают их. Экономить на хранении и раздаче половину бюджета — это прям очень хорошее конкурентное преимущество. И если бы только половину…

Это специальный график для менеджеров, чтобы было совсем наглядно. Разница наиболее часто используемого в России старого кодека x264 со свежим приватным AV1 составляет 6,5 раз при том же качестве! Представьте, что у вас видео в Телеграм канале или шортсы в любимой соцсети загружаются в 6,5 раз быстрее, и вы поймете, почему это ОЧЕНЬ влияет на user experience.
Выводы по кодекам:
-
Свежие стандарты (AV1: принят в 2018, AVS3: 2019, VVC: 2020) суперактивно развиваются.
-
Закрытые реализации почти в два раза эффективнее открытых.
-
Появились нестандартные внутренние кодеки, выжимающие еще ~7–10% относительно топа стандартизованных (возможно использование внутри экосистемы).
-
Отставание сервисов, использующих только open-source кодеки (а это практически все российские сервисы), особенно старых стандартов, можете прикинуть сами.
Видеохостинги: нужно ли вообще измерять качество?
Непопулярные видео: первые результаты
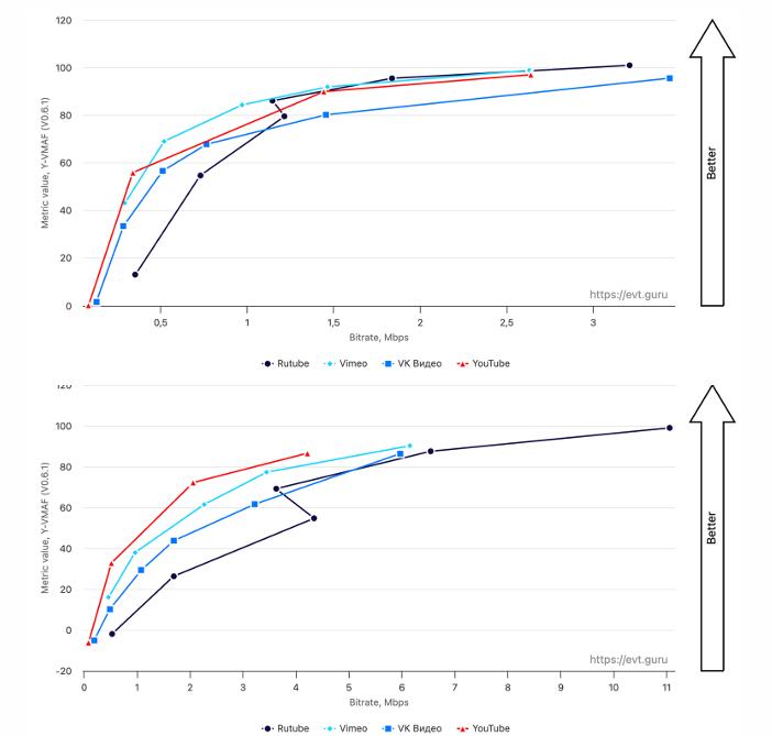
Для начала мы взяли четыре сервиса: YouTube, Vimeo, VK Видео и Rutube. Два западных видеохостинга, два российских.
Отдельно измеряли популярный и непопулярный контент. Зачем такое разделение? Дело в том, что основная масса контента на видеохостингах — это ролики, у которых 1,5 просмотра. А впечатление о сервисе у людей формируется от видео с миллионами просмотров. И YouTube, например, давно кодирует их по-разному — популярный контент получает больше ресурсов и сжимается сильнее.

Выше субъективное сравнение непопулярных видео. Это было слепое тестирование (людям показывали два видео и спрашивали, какое лучше) с участием примерно 1500 человек. На графике показана разница в битрейте при одинаковом визуальном (субъективном) качестве. Мы видим, что Rutube требует на 95% больше битрейта, чтобы обеспечить то же субъективное качество, что YouTube. Экономия трафика YouTube относительно Rutube около двух раз, это реально много.

По разным объективным метрикам (PSNR, SSIM, MDTVSFA, VMAF) ситуация с BSQ-rate немного отличается, но в целом сохраняется. Обратите внимание, что на метриках: VMAF, VMAF NEG и MDTVSFA, — Vimeo даже обгоняет YouTube. Vimeo явно точились под VMAF (что вылезает при сравнении людьми). Также есть метрики, на которых Rutube обгоняет VK Видео. Метрик, где российские сервисы обгоняют иностранные пока обнаружить не удалось.

Крайне любопытны распределения битрейтов:
-
YouTube и VK Видео не дают потокам уйти выше 30–40 Мбит/с
-
Vimeo отрезает чуть выше, около 55 Мбит/с
-
Rutube позволяет потоку уйти выше 200 Мбит/с…
У Rutube огромное распределение с длинным хвостом. Например, если у вас средний канал и попадется фрагмент с высоким битрейтом — у вас с большой вероятностью будет фриз (проигрывание видео остановится). В лучшем случае качество резко упадет. Учитывая, что обычно фрагменты с высоким битрейтом приходятся на action сцены (часто с самым высоким напряжением сюжета), можно лишь посочувствовать зрителям. С другой стороны, такой подход в случае блокировки западных сервисов побуждает пользователей покупать более широкие каналы у провайдеров, а провайдеров развивать сети, т. е. вносит положительный вклад в повышение ВВП страны.
Популярные видео: печаль растет

На популярном контенте Vimeo пришлось исключить — не нашли достаточного пересечения (российские пользователи Vimeo почти не смотрят). Но разница Rutube и YouTube стала больше чем в два раза! Т. е. большие ресурсы, выделяемые YouTube на популярные видео, начинают сказываться. Напомню: это те видео, по которым формируется впечатление о сервисе.
Кстати, за полгода наблюдений мы заметили, что YouTube улучшил сжатие примерно на 2%. Они продолжают работу, дожимают проценты. Молодцы! ВК также работает над улучшением и обещает очень порадовать своих пользователей. Ждем с большим интересом.
Также 5 каналов, у которых больше 100 тысяч подписчиков, дали нам добро на участие в следующем отчете — они передадут нам заливаемые на сервисы исходники и у нас появится возможность точнее оценить эффективность работы объективными метриками. Если у вас есть выход на такие популярные каналы и вам не безразлично качество российских сервисов — будем очень рады расширению списка!

Имитация реального просмотра с ограничениями сети (1–7 Мбит/с) с измерением времени начала просмотра в плеере (какова «бесячая задержка» между нажатием на кнопку play и началом реального просмотра на одних и тех же видео) дает интересную картину:
-
YouTube: задержка низкая
-
Rutube: качество чуть выше (1,05 от YouTube), но задержка В СРЕДНЕМ в 8,5 раз больше!
-
VK Видео: задержка низкая, но качество всего 0,4 от YouTube (старт почти такой же быстрый, но в начале качество просаживается)
Следующие несколько графиков — это анализ задержки и качества при разных ограничениях сети и ответ на часто задаваемый мне знакомыми и друзьями вопрос: «слушай, ты же сжатием видео занимаешься, почему у меня YouTube через Роскомнадзор на даче работает лучше Rutube без оного?». YouTube быстро адаптируется к плохому каналу с минимальными задержками. Rutube выкручивает максимальное качество ценой огромных задержек, которые на плохой или даже средней сети приводят к тому, что вы не можете смотреть видео.

При ограничении канала 2–3 Мбит/с:
-
YouTube обеспечивает качество 0,9 с задержкой около 3 секунд
-
Rutube достигает качества 1,0, но задержка доходит до 7 секунд
-
VK Видео где-то посередине, но качество заметно ниже

Еще одна проблема — немонотонность лестницы битрейтов. В идеальном мире при снижении качества битрейт должен снижаться монотонно. На графиках видно, как у Rutube при снижении качества битрейт иногда растет!
Это приводит к тому, что плеер запрашивает более низкое качество, ожидая и битрейт ниже, но вместо этого получает битрейт выше. А пользователь радостно получает фриз (приостановку видео, поскольку плеер запросил более низкое качество из-за исчерпания буфера). Таких примеров мы обнаружили достаточно много.
Выводы по видеохостингам:
-
Rutube требует в 2 раза больше битрейта, чем YouTube, для достижения такого же качества изображения
-
Задержка воспроизведения Rutube в среднем в 8 раз выше YouTube
-
Немонотонность RD-кривых может создавать проблемы при просмотре

Больше графиков и деталей можно посмотреть в полной версии отчета.
В качестве бонуса расскажу о свежих данных, полученных за последние 4 месяца. Мы взяли еще два китайских сервиса, которые по любимой выпускниками MBA метрике обгоняют наши сервисы во много раз:

Да, в России их почти никто не знает. Но я так стар, что еще помню времена, когда никто в России не знал TikTok. И у них проблема: замедлился рост. Людей больше нет! Маленький Китай закончился!
При этом по VMAF картина по ним такая:

Экономия битрейта в три раза по сравнению с Rutube! С Bilibili мы работали, кстати, поэтому я особенно рад за них. Youku есть куда расти, но там Alibaba в доле, кодеки которой мы также (как помнит внимательный читатель) тестировали, так что это скорее проблема скорости доведения и передачи кодеков внутри компании, а так технологии для рывка у них есть и очень неплохие. Мы их в руках держали.
Главный вопрос ближайшей пары лет: сменят ли Bilibili название для экспансии на международный рынок? TikTok на родине, кстати, имеет мелодичное название Доуинь и тут для международной экспансии скорее всего также сменят имя. Китайцы с большой вероятностью дадут сильно прикурить американцам на наших глазах, поскольку они готовы соревноваться даже на их рынке.
Кинотеатры: здесь картина еще драматичнее
С видеохостингами разобрались, теперь переходим к онлайн-кинотеатрам. Это сравнение масштабнее: мы проанализировали 15 сервисов! Из западных взяли Netflix и HBO Max, остальные 13 — наши родные.
Сразу скажу — это исследование обошлось нам кардинально дороже (больше сервисов, больше фильмов, больше субъективных оценок). Но результаты того стоят.

Субъективное сравнение на 30 видеофрагментах, более 10 тысяч участников слепого тестирования.
Важный момент: набор видео для каждого сервиса отличается! Найти 30 идентичных фрагментов везде не удалось. Наилучшее пересечение у Кинопоиска, поэтому сравнение делалось по сути относительно него, но для наглядности мы пересчитали результаты, взяв за единицу Netflix.
Худший результат превосходит лучший по размеру почти в 11 раз при том же качестве!
Тут поясню для тех, кто из компаний скажет: «Но это же AV1!» Да, AV1, и что? Вот, предположим, я купил телевизор. Новый, дорогой, с конской диагональю, запредельной яркостью и контрастом, который слепит глаза в залитой солнцем комнате. И, конечно, со всеми новыми кодеками и приложениями на борту. Предположим, я не знаю букв AV1, не знаю букв H.264, не знаю букв MBA. Скачиваю инструкцию, ставлю Роскомнадзор и вижу разницу на глаз. На высококонтрастном телевизоре с большой диагональю она будет видна даже слишком хорошо. Там вообще все проблемы кодирования видны (спасибо прогрессу матриц!) великолепно. Ирония судьбы заключается в том, что купившие самые дорогие телевизоры видят на глаз намного больше проблем в том же самом сжатом потоке, чем обладатели не столь модных девайсов. Как следствие, кстати, многие инфлюенсеры (у которых деньги на дорогой Smart TV есть), видят все наглядно, но вот если им заплатить...
Если менеджеры с MBA говорят, что не нужно знать методики оценки качества, то я говорю в ответ — их клиентам не нужно знать кодеки. Любой пользователь с современным телевизором с дорогой матрицей увидит разницу уже при отличии битрейтов в 1,5–2 раза. При разнице в 3–4 раза, как выше, — видна даже на дешманских древних экранах. Совершенно разный уровень. Точка.

Для скептиков сделали тест на пяти абсолютно одинаковых фрагментах со всех сервисов. И честно сравнили каждый с каждым. Цифры чуть изменились, как видно. Разница с Netflix на этих пяти фрагментах составила 14 раз… Се ля ви, как говорят французы.

Объективное сравнение по VMAF хорошо тем, что позволяет взять намного больше фрагментов. Выше сравнение на 222 видеофрагментах, на котором в худшем случае разница достигает 12 раз!
Кстати, мы добавили в сравнение VK Видео, что не совсем корректно — это видеохостинг и по умолчанию использует быстрые пресеты, а кинотеатры — медленные. Это как сравнивать fast и veryslow режимы кодирования. Но как референс очень показательно: хорошо видно, кто еще использует дешевые по компьюту пресеты и/или аппаратные кодеки и/или NVENC для сжатия фильмов. Т. е. экономит на качестве, поскольку раз пользователи не отписываются, то всех все устраивает.

Очень хороший вопрос: а насколько сильно эти результаты зависят от выборки? Мы взяли случайные подвыборки по 60% от датасета и видим следующую картину:
-
Топ списка (Netflix, HBO Max, Кинопоиск) — абсолютно стабилен
-
Хвост (Иви, Wink, PREMIER, KION) — тоже стабилен
-
Середина — места меняются
Вывод: если вас пообещали уволить в случае, если сервис не станет выше во внутреннем сравнении, правильно выбирайте видео для тестирования! Среди российских сервисов совершенно точно можно поднять место на несколько позиций. До уровня Netflix таким методом вряд ли получится, но среди наших — реально. Можно даже выпустить такое сравнение, сказав, что вот эти видео единственно правильные смотрите, а у нас получились другие цифры. Это окажет психологическую поддержку пользователям, облегчив им необходимость смириться с имеющимся качеством, и позволит сэкономить деньги на улучшении пайплайна обработки видео.
Кроме шуток, я уже несколько лет участвую в VideoTech и технари там почти хором рассказывают в кулуарах, как им не дают бюджет. Дословно «а что я могу сделать, когда у меня 3 человека всего вообще всем транскодингом занимается?». В этом плане все упирается в профессионально жесткую и бескомпромиссную экономию со стороны обладателей MBA, которые в принципе не вкладываются в технологии которым меньше 20 лет (H.264, 2003 года рождения — максимум, а все более свежее — это слишком дорого). С чем можно горячо поздравить пользователей, которые на итог и будут за всю эту экономию платить свои кровные (или, если кровных много, наслаждаться расквадрачиванием фильма на огромном высококонтрастном экране).
Для видеохостингов есть другой способ показать типа лучший результат. Мы уже несколько лет делаем сравнения Cloud Video Transcoding (тык, тык, тык) и столкнулись там с интересным явлением. На аккаунте, который гостеприимно бесплатно предоставляет нам сервис, у нас по какой-то непонятной причине нередко получались заметно лучшие результаты, чем на аккаунте, который мы регистрировали сами (и за который платили деньги). Называется тема «прогретые аккаунты» и делается в первую очередь для раздачи на выставках потенциальным клиентам. Мотайте на ус. Работающий метод (это подсказка для менеджеров, как можно еще отсрочить вложения).

Предположим, у вас пентхаус на Сретенке, подключенный прямой оптикой к точке обмена трафиком провайдеров. Какое максимальное качество способны выдать сервисы на одинаковых фильмах? Тут Netflix опять впереди планеты всей! Причем даже на H.264 обгоняет всех и по качеству, и по битрейту. Интересно, что Кинопоиск почему-то рано заканчивает лестницу битрейтов — даже если у пользователя канал позволяет, выбрать максимум не получится.

А вот крайне интересный график! Мы взяли весьма среднее качество (86.5–92.5 по VMAF, чтобы захватить как можно больше сервисов) и посмотрели на требуемый битрейт на имеющихся у нас видео. «Кубышка» — основная часть фрагментов, «лепестки» — выбросы, а «черточка посередине кубышки» — медиана (которая может быть значительно смещена от среднего). По сути, чем выше выброс вверх, тем выше вероятность фриза на среднем канале на экшн-сценах.
Когда мы построили этот график, были под большим впечатлением и главный вопрос был про Netflix AV1: «боже, как они это сделали?», ибо там минимальный разброс, практически нет выбросов, и это, напомню, при рекордно высоком качестве. Да, AV1 действительно очень хорошо жмет экшн-сцены, но даже мы, с 20 годами тестирования кодеков, не думали, что НАСТОЛЬКО!
Сравните с PREMIER, битрейт которого достаточно равномерно гуляет от 1 до 7.5 Мбит/с в этом диапазоне качеств. У плеера почти нет шансов сохранить постоянное качество на узком канале.
Забавно, что у Netflix на H.264 есть выбросы, но они редкие. В среднем и кубышка, и медиана ниже. Причем похоже, что H.264 для Netflix — нелюбимый кодек, оптимизированный заметно хуже, чем AV1.
Выводы по кинотеатрам:
-
Netflix требует на H.264 на 35% меньше битрейт, чем Кинопоиск, у остальных российских кинотеатров ситуация еще хуже
-
На AV1 — в 3 раза меньше!
-
HBO Max лучше всех российских (хотя хуже Netflix)
-
В худшем случае разница достигает 8–14 раз

Больше графиков и деталей в полной версии отчета.
Главные вопросы сезона к счастливым обладателям MBA:
-
Как соотносится выполнение принципов Lean Production с очевидной многократной переплатой за CDN и хранение? Насколько шире средний канал пользователя в России, чем в среднем по основным рынкам Netflix, чтобы пропускать потоки в разы больше?
-
В России уже сегодня огромную долю рынка телевизоров держат китайские модели. Как вы планируете конкурировать с китайскими компаниями, когда завтра они придут в каждый дом с великолепно оптимизированными приложениями кинотеатров на борту каждого китайского телевизора? Да, скорее всего, удастся добиться предустановки и российских приложений, но если разница будет настолько хорошо видна на глаз…
Вопросы не риторические.
«Прорыв» российской науки
7 сентября 2024 года на всю страну прогремела новость: российские ученые создали технологию передачи видео при плохой связи! Проблема решена, расходимся! ТАСС, Газета.ру, BFM, CNEWS, Эксперт и еще множество СМИ – все написали про это:

В материале ТАСС видим — лучше аналогов на 28–32%. Супер интересно, согласитесь:

Еще немножко, и мы догоним китайские реализации… Барабанная дробь! Вы уже догадываетесь, что будет дальше.
Поскольку это наша специализация, я полез искать оригинал. Нашел в Вестнике ПСТУ:

Что же мы видим? Это было сравнение JPEG и JPEG 2000. В 2025 году.
Авторы знают о существовании H.264 и H.265. Правда, они называют стандарты кодеками (видимо, не различают понятия, ведь все кодеки одного стандарта сжимают одинаково, не так ли — вспоминая первую часть этого текста). Но эти кодеки «слишком сложные» для маломощных систем. Поэтому авторы сравнили только Motion JPEG:

Можно быть спокойным за наше стратегическое лидерство. Как минимум в области сжатия видео. Как минимум академическое.
Если же более серьезно, то многие заданные выше вопросы мы поднимаем уже лет 15. Четыре года назад у меня была подробная статья О русской науке замолвите слово или за что я люблю Тинькофф, которую осилит не каждый обладатель MBA. Кроме шуток, обладатели MBA люди занятые, поэтому они брали ее генеративный пересказ и на полном серьезе спорили исходя из понятого из пересказа… Интересно, как часто по работе они поступают так же? (Инженеры компаний, кстати, говорят, что часто, но может они на начальство наговаривают). После выхода этой статьи у меня реально были сотни часов разговоров с менеджерами компаний разного уровня.
Причинно-следственные связи в нашей суровой реальности выглядят так:
-
Отечественные менеджеры в рамках
своего пониманияпринципов Toyota скорее сделают себе харакири, чем оплатят scientific consulting (это словосочетание не переводится на русский), тем более дорого. -
Государство в рамках стратегии «числом поболе, ценой подешевле» генерирует много молодых людей с максимально дешевым по себестоимости высшим образованием.
-
Как следствие первых двух пунктов, зарплата в университетах такова, что остаются только большие специалисты по сжатию видео JPEG 2000 с Yolo nano (кроме шуток, их реально стало много в процентном отношении).
-
Большие специалисты по сжатию видео JPEG 2000 учат студентов на соответствующем уровне. Студенты идут в компании.
Круг замкнулся.
Хотя нет.
Дальше эти не очень доученные студенты вырастают до менеджеров и приходят к нам с запросом:
— Скажите, а вы можете кодек написать?
— Как вы себе это представляете?
— Ну вы же много лет общаетесь напрямую со многими производителями кодеков.
— Воздушно-капельным путем это не передается. Сегодня для написания нужна команда высококлассных и высокооплачиваемых инженеров (которую в России очень сложно сформировать), и даже к таким командам по нашим замерам успех приходит не всегда.
— Но у вас же много студентов! 10 миллионов вам хватит? А может хакатон объявить?
Боже, дай мне сил и терпения!
Ключевое отличие России от Китая — в Китае компании очень много задач делегируют университетам. В итоге их лаборатории иногда на 90% финансируются компаниями, делают практичные полезные вещи, и дальше студенты в эти компании идут на работу и привычно делегируют часть наукоемких задач университету (не обязательно родному). Так круг замыкается у них.
В России компания приходит в университет, только если не может сделать сама (очень часто из-за неадекватной оценки сложности задачи менеджером). Дальше университеты живут впроголодь (наша лаба выжила благодаря иностранным компаниям). Дальше уважающие себя преподаватели иногда в свободное от работы время забегают поучить студентов. Впрочем, студенты работают, поэтому все счастливы. Зато корочка.
Дотошный читатель спросит, а к чему вообще все это?
На что я спрошу: А с кем, собственно, вы, счастливые обладатели MBA, планируете достигать реально конкурентоспособных результатов, если планируете, конечно? С массово выпускаемыми питонистами? С крупными специалистами в сжатии видео JPEG 2000 в 2025 году? Да, в LinkedIn (кстати, присоединяйтесь) можно накопать несколько человек в России, но они дороги, почти все работают на иностранные компании и собрать команду будет очень непросто.
Рынок видеосервисов России (на котором вас защищает Роскомнадзор) довольно мал. Чтобы бизнес лучше окупался, крайне желательно, чтобы та же машина платной доставки контента работала и на других рынках (как минимум СНГ, но лучше больше). Кто вообще готов конкурировать хотя бы на рынке Казахстана с зарубежными сервисами? Это очень хороший вопрос к выпускникам MBA.
Чтобы было понятно, на всякий случай: автор к MBA очень хорошо относится, поскольку имеет опыт работы и техническим директором, и гендиректором в нескольких компаниях, в том числе в американских. Как следствие, изучал маркетинг, продажи, прикладные юридические вопросы (патентование, contract law), корпоративные финансы, менеджмент, риск-менеджмент и вот это вот все. Речь исключительно о том, во что на практике превращается работа наших эффективных менеджеров. Причем зачастую даже не в них дело. Их контракт составлен таким образом, что они мотивированы выжать из компании максимальную прибыль в краткосрочной перспективе (3 года), а дальше конский технический долг и проигрыш в базовых технологиях не волнует примерно никого (эти люди будут выжимать максимум из следующего места работы). На западе это проблема хорошо известна как agency conflict или corporate short-termism. Но на русский эти термины пока не переводятся.
Докину еще пару вопросов по теме счастливым обладателям MBA:
-
Как должен быть составлен корпоративный договор с топ-менеджером, чтобы мотивировать его на long-term развитие компании и достижение ведущих позиций относительно конкурентов, и (сразу, естественно) почему в России так мало таких договоров?
-
Почему российские компании при обсуждении измерения качества видео стремятся немедленно нанять людей внутрь, а китайские (и ранее американские) компании стремятся, чтобы измерение качества было максимально независимо от структуры компании?
Это к вопросу о разнице корпоративных культур.
Следующий логичный вопрос, кстати: Господа, посоветуйте в комментариях, как технически сегодня проще всего вложить деньги в акции китайских компаний? Не мне. Друг спрашивает.
Главный вывод и немного философии
Помните Toyota и Lean Manufacturing из начала? Так вот, на самом деле Toyota не начала резать все косты, а сначала потребовала, чтобы качество каждого узла было не хуже лучшего конкурента. И только потом начала безжалостно резать. По всем семи направлениям.
И ровно это требование на качество узлов (которое не так дешево измерить, профессионально заметим в скобках) сделало из никому не известной японской компании бренд Toyota. А если не требовать качества, а просто резать косты, пока покупают, то получается не совсем Toyota, а скорее (да простят меня фанаты Жигулей) Lada Kalina.
РосКомНад… Утильсбор и пошлины, конечно, защищают наших производителей, но… Даже в Казахстане предпочитают Ладе «корейцев» узбекской сборки.
Свежая новость в тему: 29 сентября 2025 года АвтоВАЗ перешел на четырехдневку.
Параллели проводите сами.
Очевидцы говорят, что обладатели MBA уверены, что китайцы к нам не придут. Автопроизводители недавно думали так же.
В свое время TikTok пришел и всех порвал, причем не вертикальным видео (как думают школьники), а за счет алгоритмов рекомендаций следующего поколения на базе очень достойно оптимизированной инфраструктуры. И, конечно, ситуация не может повториться. И Китай не подготовил для этого рывка пачки дорогих технологий. Конечно-конечно. В их виртуальной реальности все так и есть.
Сейчас Китай работает по нескольким направлениям очень глубоко и на серьезную перспективу. Зарисовка из моего опыта. Мы 5 лет назад делали кое-какие вещи для облачных сервисов обработки видео крупной китайской компании, права остались. Предложили их команде облачных сервисов крупной российской компании. Ответ: «У нас этого нет даже в планах на следующие годы». Как это понимать? Отставание 7–10 лет? Это очень существенный гэп.
На месте китайцев я бы через несколько лет просто купил бы какой-нибудь российский кинотеатр (европейские автопроизводители тоже думали, что подобное невозможно, кстати :D). Дальше через полгода у этого кинотеатра обновились бы приложение и сайт, и он внезапно существенно быстрее бы заработал. Причем вдобавок к российскому контенту там вдруг появится много китайских фильмов (с отличным пусть и нейросетевым переводом), корейских дорам (вау, скажет часть молодежи!) и японских аниме (ВАААУ, скажет не только молодежь), а может и еще чего. Липсинк, еще что-то модное, чего у наших нет и не предвидится, в комплекте. Бонусом будут также отличные рекомендации и поиск (например, удобный поиск фильмов по текстовому описанию или поиск фрагментов фильмов). Махну не глядя, скажут люди. Заверните на всю котлету.
Как можно улучшить видеосервис?
Предположим, вы — владелец продукта видеосервиса и как-то так получилось, что читаете эти строки. Как можно спасти (вспоминая «Мастера и Маргариту») не только сёмгу и халат?
Во-первых, понять, где вы относительно конкурентов. Многим менеджерам это неинтересно — им главное, чтобы пользователи не отписывались. Возможно, такие не все.
Дальше:
-
Эффективные кодеки. Боюсь, купить их станет намного сложнее, но решать вопрос, похоже, придется. Поскольку мы их тестируем совместно с разработчиками уже больше 20 лет, мне тут таки есть что сказать, но уже за рамками данного текста.
-
Эффективные настройки. Российские сервисы в большинстве проигрывают даже very slow пресетам x264.
-
Адаптивное кодирование. Тут много возможностей. Очень много.
-
Предобработка контента. Судя по запросам китайцев, они уже активно этим занимаются, и мы им даже в этом помогаем.
-
Контроль качества транскодирования. На транскодинге случаются баги, критично отладить контроль.
Учат ли в MBA тому, что каждая компания должна изобретать велосипед делать с нуля, вместо того чтобы использовать готовые решения? Не факт. Не в России по крайней мере.
YouTube версия доклада на VideoTech, близкая к этому тексту по материалу, напомню, доступна тут.
В заключение хотелось бы поблагодарить:
-
Институт искусственного интеллекта МГУ, за то, что существенно поддерживает нас последние годы.
-
Компанию EVT за большой вклад в разработку методологий сравнения кинотеатров и помощь в ее проведении.
-
Фонд содействия инновациям за поддержку компании EVT.
-
Компании Huawei, Tencent, Alibaba, Bilibili, ByteDance и других за активную поддержку и великолепное плодотворное взаимовыгодное сотрудничество в последние годы.
-
Сергея Звездакова, Николая Сафонова и Максима Смирнова за большой вклад в содержательную составляющую этого текста.
-
Кирилла Малышева, Андрея Москаленко, Евгения Богатырева, Константина Кожемякова, Даниэля Канта за большое количество замечаний, сделавших этот текст лучше.
На этом все. Ставьте лайки. Подписывайтесь на канал. Вопросы горячо приветствуются!
Автор: 3Dvideo
