В прошлой статье я вывел Общую теорию относительности через геометрическую алгебру в пространстве Минковского. Получился очень простой и короткий вывод уравнений.
Возникает вопрос, а как вывести квантовую механику?
Классический подход заключается в том, чтобы взять классическую систему и проквантовать. Фактически это означает, что квантовая механика просто постулируется.
Я решил поискать другой способ — он явно не единственный, например, Хестенес построил какой-то свой вариант, который на очень микроскопическом уровне не совпадает с известной квантовой теорией. Я здесь не строю новой теории — просто пытаюсь вывести ту же самую квантовую механику, которая в науке общепринята. И у меня всё получилось!
Все мы слышали, что квантовую механику «никто не понимает», как однажды заметил Фейнман. Нас с самого начала просят смириться с вещами, которые противоречат интуиции: частицы — это волны вероятности, их состояние описывается загадочными комплексными числами, а ещё у них есть неоткуда взявшийся «спин».
А что, если я скажу, что большая часть этой «магии» — не свойство природы, а артефакт математического языка, который мы выбрали для её описания? Что, если существует другой язык, в котором мнимая единица i — это не абстракция, а реальная плоскость, фаза — это обычное вращение, а спин появляется сам собой из базовых принципов геометрии?
Часть 1. Деконструкция волновой функции: откуда берётся ротор?
В стандартной КМ волновая функция ψ — это столбец комплексных чисел. Что он описывает — интуитивно не очень понятно.
В GA волновая функция Ψ — это элемент самой алгебры, который имеет ясную структуру:
-
ρ— это обычный скаляр, плотность вероятности. Мы используем корень√ρ, потому что именно он позволяет правильно описывать интерференцию и удовлетворяет правилу Борна (Ψ~Ψ = ρ). Это амплитуда вероятности. -
R— это ротор. И вот здесь начинается самое интересное.
Откуда взялся ротор и что он описывает?
Ротор — это оператор вращения (включая релятивистские "бусты", которые являются вращениями в пространстве-времени). Его появление в волновой функции — это отражение глубокого факта: квантовая частица — это не просто точка. Это объект, обладающий внутренними степенями свободы и находящийся в определённом отношении с системой отсчёта наблюдателя.
Представьте, что вы хотите описать положение и ориентацию самолёта в пространстве. Вам недостаточно задать его координаты (где он?). Вам нужно описать и его ориентацию: куда направлен его нос, крылья (крен, тангаж, рыскание).
Точно так же, волновая функция Ψ описывает не только "где" частица (через ρ), но и её "внутреннее состояние" по отношению к нам. Ротор R — это и есть математическое описание этого отношения.
R — это, по сути, инструкция по преобразованию, которая говорит: "Чтобы перейти из системы отсчета наблюдателя в собственную систему покоя частицы, нужно совершить такой-то 'буст' (описывающий скорость частицы) и такой-то пространственный поворот (описывающий ориентацию спина)".
Таким образом, Ψ — это не статическое описание. Это динамический объект, который кодирует в себе:
-
Плотность вероятности (ρ).
-
Скорость частицы (через "буст", заложенный в R).
-
Ориентацию спина (через пространственный поворот, заложенный в R).
Фазовый множитель из стандартной КМ — это лишь одномерная проекция этого объекта, который описывает вращения во всех плоскостях пространства-времени.
Часть 2. Вывод уравнения Дирака из базовых принципов
А теперь выведем уравнение для электрона, опираясь лишь на три базовых принципа.
Принцип 1: релятивизм. Частица должна подчиняться соотношению Эйнштейна: (в системе единиц, где c=1).
Принцип 2: квантовость. Импульс p — это оператор производной. В GA 4-импульс — это оператор градиента пространства-времени .
Принцип 3: линейность. Уравнение должно быть первого порядка по производным. Это нужно, чтобы избежать проблем с отрицательными вероятностями и сохранить стандартную структуру КМ.
Начнем. Принцип 1 и 2 дают нам уравнение Клейна-Гордона:
Оно второго порядка, что нарушает Принцип 3. Нам нужен "квадратный корень" из оператора . В GA такой корень есть, и это сам оператор
. Попробуем написать самое простое линейное уравнение:
Но это уравнение геометрически бессмысленно. Слева у нас нечётный объект, а справа — чётный. Уравнение Нечётный = Чётный не может быть верным.
Часть 3. Смысл умножения на γ₀
Как это исправить? Нам нужно сделать правую часть тоже нечётной. Для этого нужно умножить её на нечётный объект. Но какой в этом физический смысл?
Здесь мы подходим к ключевой идее. уравнение Дирака — это не просто абстрактное полевое уравнение. Это отношение между внутренним состоянием частицы (Ψ) и тем, как оно измеряется в лабораторной системе отсчета (наблюдателем).
-
Ψ— это, как мы выяснили, инструкция по переходу из системы наблюдателя в систему частицы. Это абстрактное, инвариантное описание. -
Наблюдатель в теории относительности определяется своей временной осью. Это и есть вектор
γ₀.
Теперь рассмотрим произведение Ψγ₀. Это не проекция! Проекция — это операция, которая "схлопывает" объект, уменьшая информацию.
Геометрическое произведение — это трансформация.
Что происходит в скобках Rγ₀? Мы берем вектор времени наблюдателя (γ₀) и применяем к нему преобразование Лоренца R, которое закодировано в волновой функции.
Аналогия:
-
Представьте, что
R— это запись в бортовом журнале самолёта: "Курс 270 (запад), скорость 800 км/ч, крен 15 градусов". Это инвариантное описание состояния самолёта. -
γ₀— это система отсчёта аэродрома: ось "север-юг", "запад-восток", "верх-низ". -
Произведение
Ψγ₀— это ответ на вопрос: "А как именно выглядит вектор скорости и оси самолёта с точки зрения диспетчера на аэродроме?". Это конкретное, измеряемое проявление абстрактного состояния.
Таким образом, умножение на γ₀ — это фундаментальная операция, которая переводит абстрактное, внутреннее состояние частицы в его конкретное представление в системе отсчета наблюдателя.
Теперь мы готовы исправить наше уравнение:
Уравнение стало геометрически совместным!
Смысл уравнения:
изменение внутреннего, абстрактного состояния частицы в пространстве-времени (∇Ψ) полностью определяется её массой (m), выраженной через динамические наблюдаемые величины в системе отсчета наблюдателя (Ψγ₀).
Часть 4. Можно ли вывести как-то еще?
Всё-таки приведенный вывод не в чистом виде выводит квантовую теорию. Некоторые ее свойства он использует.
Посмотрим внимательно на это уравнение. Слева градиент пространства-времени от мультивектора волновой функции, справа произведение единичного вектора вдоль оси времени, умноженного на массу, на саму волновую функцию.
Когда мы выводили уравнения Максвелла, слева писали такой же градиент, а справа — произвольную правую часть, которую отождествили с источниками поля.
А что если источником динамики волновой функции является сама волновая функция?
Такое бывает, например, в гидродинамике вязкой жидкости. В ней вязкость описывает действие жидкости на саму себя.
Тогда мерой этого действия является сама масса частицы. Что-то напоминает — в современной физике масса также определяется как мера взаимодействия с полем Хиггса. Частицы, путешествуя через это поле, взаимодействуют с ним. Сила этого взаимодействия (константа связи) и есть то, что мы воспринимаем как массу частицы.
Часть 5. Призрак в машине: откуда взялся спин?
Самое поразительное, что мы не сказали ни слова о спине. Так откуда он взялся?
Он возник сам собой.
Вспомните, почему провалилась первая попытка: мы не могли использовать простой скаляр для волновой функции. Чтобы уравнение стало геометрически осмысленным, мы были вынуждены использовать в качестве Ψ объект, который является элементом чётной подалгебры (скаляр + бивектор).
Эта бивекторная часть и есть спин. Спин — это не какая-то мистическая характеристика. Это внутренний момент импульса, внутреннее вращение, которое математически описывается бивектором. Он неизбежно появляется в теории, как только мы требуем, чтобы она была одновременно релятивистской, квантовой и линейной. Это та самая "ориентация" из примера с самолётом, которая закодирована в роторе R.
Часть 6. От Дирака к Шрёдингеру
А где же привычная нам квантовая механика? Уравнение Дирака — это полная, релятивистская теория. Если мы возьмем его и рассмотрим в пределе малых скоростей (), оно естественным образом упростится до уравнения Паули.
А если мы сделаем еще один шаг и проигнорируем спиновые эффекты (рассмотрим только скалярную и псевдоскалярную части Ψ), оно превратится уравнение Шрёдингера:
Только теперь мы понимаем, что I — это не абстрактная мнимая единица, а псевдоскаляр, единичный объем 3D-пространства, а Ψ — это скалярная тень от более сложного и богатого геометрического объекта, который кодирует поворот в пространстве-времени.
Часть 7. Откуда берется вероятность?
В описании выше волновая функция — это некоторый вполне материальный объект. Почему же мы интерпретируем его как амплитуду плотности вероятности?
Уравнения, которые тут были написано, предполагают поведение этой функции как чего-то неразрывного и непрерывного. Квантовая декогеренция описывает, каким образом в результате взаимодействия с окружением (макроскопическим числом степеней свободы) волновая функция разделяется на классические не взаимодействующие альтернативы.
В основополагающей статье Зурека про декогеренцию была иллюстрация:
Сначала разные классические альтернативы тесно взаимодействовали между собой, затем происходило плавное разделение волновой функции на непересекающиеся части.
Если предположить, что эта функция есть нечто материальная, и она просто не может разрываться, то всё становится на свои места. При достаточно сильной декогеренции происходит спонтанное нарушение симметрии и функция собирается там, где один из пиков. Так происходит, например, если две команды тянут за одну веревку в разные стороны, и в какой-то момент, когда натяжение веревки достигает пика, одна из команд оказывается чуть слабее и вся веревка скачком сдвигается в сторону победителей.
Часть 8. Откуда берется правило Борна?
Рассуждение в предыдущей части не объясняет, однако, почему с вероятностью отождествляется именно квадрат модуля волновой функции, а не сам модуль или его куб.
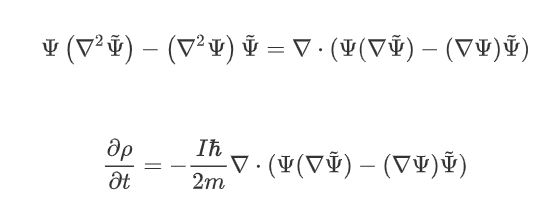
Выдвинем гипотезу, что вероятность — это скаляр, который надо построить из волновой функции. Никакая вероятность не может создаться из ниоткуда или исчезнуть. Это означает, что плотность тока вероятности должна быть непрерывна:
Дело в том, что уравнение непрерывности из уравнения Шредингера будет вытекать тогда и только тогда, когда . Предположим, что это верно. Тогда

В конце концов получаем
Теперь применим тождество

Сравнивая его с каноническим уравнением непрерывности, мы можем однозначно идентифицировать ток вероятности:
Это аналог выражения для тока вероятности, переведенный на язык геометрической алгебры. Чтобы доказать единственность, можно использовать теорему Нетер
Уравнение Шредингера инвариантно относительно
Теорема Нётер предоставляет конкретную формулу для вычисления компонент сохраняющегося тока , если известна симметрия. Формула основана на Лагранжиане теории, но опустим вычисления, сразу перейдя к результату:
-
Нулевая компонента (сохраняющаяся плотность):
-
Пространственные компоненты (ток плотности):
Таким образом, в геометрической алгебре правило Борна — это единственно возможный самосогласованный способ определить плотность вероятности, который не нарушает динамику системы.
Часть 9. Еще один способ получить правило Борна.
Самый строгий математический аргумент в пользу правила Борна. В 1957 году Эндрю Глисон доказал теорему, суть которой можно сформулировать так:
Если вы предполагаете, что...
-
Результат измерения зависит только от состояния системы (волновой функции
), а не от того, как именно вы его измеряете.
-
Вероятности подчиняются обычным правилам теории вероятностей (они не отрицательны, и сумма вероятностей всех исходов равна 1).
...тогда математически НЕИЗБЕЖНО, что...
-
Вероятность получить определенный результат должна вычисляться по формуле, эквивалентной правилу Борна (
) 。
Заключение
Геометрическая алгебра — это другой язык для физики. На этом языке:
-
Мнимая единица
i— это плоскость или объем. -
Волновая функция — это инструкция по преобразованию из системы наблюдателя в систему частицы, кодирующая её скорость и спин.
-
Фаза — это угол поворота.
-
Спин — это неотъемлемое геометрическое свойство материи.
-
Фундаментальные уравнения выводятся не из догадок, а из требований логической и геометрической самосогласованности.
Та "странность", с которой мы так долго боролись в квантовой механике, может оказаться всего лишь странностью нашего математического языка, а не самой реальности.
В языке, который изложен здесь, странностей нет.
Автор: master_program
