
Бактерии, а не рак, террористы и катастрофы унесли жизни огромного количества людей. Одна только Yersiniapestis (чумная палочка) привела к смерти 150 млн человек. Прием антибиотиков является основным методом борьбы с бактериальными инфекциями. Но что если лекарства перестанут действовать?
Это не риторический вопрос и не вводная для моделирования гипотезы, а реальная ситуация в обозримом будущем на фоне роста бактериальной устойчивости. У Всемирной организации здравоохранения (ВОЗ) и национальных служб есть общий план действий, но детального алгоритма предотвращения бактериальной пандемии нет ни у одного государства.
Расскажем о причинах надвигающейся катастрофы, а также о попытках найти выход из медицинского тупика при помощи смежных дисциплин — геномики, математики и вирусологии.
Против жизни

(c)
Еще в древности врачи лечили гнойные раны с помощью заплесневелого хлеба. Из сотен снадобий, существовавших в Древнем Египте, лежалый хлеб был одним из немногих эффективных средств — антибиотик из плесени действительно снимал воспаление.
Не имея никакого представления о росте и развитии микроорганизмов, египтяне действовали вслепую. В средние века врачи и вовсе забыли об успешной практике и лечили кто во что горазд, особенно увлекаясь кровопусканием.
Только в конце XIX в. несколько исследователей независимо друг от друга стали изучать плесневые грибки из рода Penicillium, прокладывая дорогу к появлению пенициллина. Вскоре выяснилось, что получаемые из плесневого гриба вещества активны по отношению ко многим патогенным микроорганизмам.
Британский бактериолог Александр Флеминг сообщил об открытии пенициллина 30 сентября 1928 г. В 1938 г. в Оксфорде ученые выделили чистый пенициллин, а уже в 1941 г. препарат использовали для лечения бактериальных инфекций. В 1945 г. за заслуги в области медицины Флеминг получил Нобелевскую премию.
Действие первых антибиотиков (дословно с греческого «анти» — против, «биос» — жизнь) основано на подавлении синтеза молекул, участвующих в строительстве внешней клеточной оболочки бактерии.
Видео показывает, как бактерии (в левой части экрана) буквально взрываются при добавлении пенициллина — истонченные антибиотиком клеточные стенки не могут сдержать внутриклеточного давления. К счастью, строение оболочки клеток человека и животных отличается от бактериальной.
Капкан эффективности

Cуточная доза антибиотиков на 1 тыс. человек, распределенных по странам с разным уровнем дохода.
На потенциальную опасность развития антибиотикорезистентности, то есть устойчивости бактерий к антибиотикам, указывал сам Александр Флеминг, но десятилетиями терапия велась бесконтрольно. Всему виной стала «пьянящая эффективность» — новые препараты лечили бронхит, отит, конъюнктивит, кожные инфекции, фарингит, диарею и чуму.
Сегодня антибактериальные препараты побеждают гастрит, венерические заболевания и даже некоторые опухоли. По оценкам экспертов ВОЗ, в развитых странах антибиотики прибавили примерно 20 лет к средней продолжительности жизни человека. Не удивительно, что в одной только Америке сегодня ежегодно производят около 17 тыс. тонн антибиотиков.
Человечество словно поставило себе цель победить всех микробов на Земле, но битва в этой мировой войне складывается не в нашу пользу. Антибиотики существуют меньше века, а бактерии живут на планете уже 3 млрд лет, и создают новые поколения каждые 20 минут.
В 2014 г. в проекте «Обзор устойчивости к противомикробным препаратам», созданном под патронажем премьер-министра Великобритании Дэвида Кэмерона, обнародовали оценки глобальных потерь от антибиотикорезистентности через 30 лет: 10 млн смертей ежегодно — это больше, чем от онкологических заболеваний.
В докладе Центра по динамике заболеваний США показаны тревожные результаты развития устойчивости к препаратам последней линии, назначаемым при отсутствии реакции на другие лекарства. Поскольку люди все чаще бесконтрольно принимают антибиотики, лечение в медучреждениях теряет эффективность.
Сильную тревогу вызывают сообщения, поступающие из больниц всех регионов мира, особенно развивающихся стран, в которых говорится о возникновении неизлечимых или почти неизлечимых инфекций. Простые болезни, которые в прошлом легко лечились доступными лекарствами, становятся смертельными.
По данным ВОЗ, антибактериальная резистентность в XXI в. является одной из наиболее серьезных угроз для здоровья человечества, продовольственной безопасности и глобального развития цивилизации.
Инфекционные очаги
Устойчивость — естественный ответ эволюции, попытка найти выход из тупика, присущий в природных условиях не только микроорганизмам. Сорняки «учатся» выживать под атакой пестицидов, насекомые ищут путь к поеданию растений со встроенным геном белковых токсинов, а человек борется с патогенами своим умом — этот мощнейший процесс связан с приспособлением всех живых друг к другу.
Проблема в том, что длина поколения бактерий составляет несколько дней или часов, а человек живет десятилетия. Мы слишком медленно адаптируемся. Даже взяв с помощью науки контроль над ходом эволюции, мы не учли человеческий фактор в распространении антибиотиков, следовательно:
- максимально возможная доза принимается длительным курсом;
- препарат используется не по прямому назначению (для лечения вирусных инфекций);
- массовое использование одинаковых препаратов осуществляется без составления резерва.
Более 50 % антибиотиков во многих странах используют ненадлежащим образом. Среди «виновных» как обычные люди, нарушающие все мыслимые инструкции, так и персонал больниц, вопреки санитарным правилам способствующий распространению инфекций между пациентами с открытыми ранами и с ослабленной иммунной системой.
Еще в XIX в. в госпиталях мелко нарезали лук, убивающий некоторые бактерии в загрязненном воздухе. Сегодня перчатки, халаты и маски хоть и являются обязательной защитой, но ей следует присвоить условный «нулевой» уровень безопасности, соответствующий классу лечебного заведения в Центральной Африке.
Современная больница может быть оборудована HEPA-фильтрами (High Efficiency Particulate Arrestance — высокоэффективное удержание частиц) для очистки воздуха, системами распределения однонаправленных потоков воздуха, лампами ультрафиолетового обеззараживания, фотокаталитическими фильтрами с природными окислителями.
Гигиенические требования к устройству, оборудованию и эксплуатации больниц, родильных домов и других лечебных стационаров в России довольно скромные, но все равно порой нарушаются: персонал не успевает или забывает продезинфицировать помещения, хотя для этого достаточно использовать ультрафиолетовую лампу и хлорку.
Миллионы людей подхватывают новые инфекции в больницах или же принимают антибиотики для лечения гриппа и простуды. Помимо этого растет использование антибактериальных препаратов в животноводстве и сельском хозяйстве.

Глобальное потребление антибиотиков в животноводстве (в миллиграммах на 10 км²).
В 2018 г. Росконтроль обнаружил антибиотики и антимикробные вещества во всех протестированных образцах куриного мяса.
В США примерно 80 % антибиотиков идет на нужды фермеров. Неудивительно, что антибиотики связаны с высокой частотой резистентных бактерий в кишечной флоре цыплят, свиней и других пищевых животных.
Антибиотики поступают в кровь через больничную капельницу, в таблетированной форме, вместе с куском стейка, даже из свежей буханки ржаного хлеба, так как для борьбы с некоторыми болезнями растений используются антибиотические вещества, а медикаменты, потребляемые животными, попадают в почву и растения с калом и мочой.
Угроза касается всех — глобализация сделала мир уязвимым к пандемиям. Люди умирают от суперинфекций, устойчивых ко всем доступным антибиотикам.
Согласно отчету Центра по контролю и профилактике заболеваний США, миллионы людей в Америке ежегодно вступают в контакт с резистентными к антибиотикам бактериями, и по меньшей мере 23 тыс. умирают от инфекций.
В масштабах планеты цифра потрясает — 700 тыс. жертв ежегодно.
Математические модели эпидемий

За 1990—2016 гг. создано 146 моделей для анализа инфекций, вызванных наиболее распространенными видами патогенов: ВИЧ, грипп, малярия, MRSA, туберкулез (размер круговой диаграммы пропорционален количеству исследований).
Математики и специалисты по Data Science используют специальные предсказательные модели для разработки новых алгоритмов борьбы с высоколетальными стремительно распространяющимися инфекционными болезнями.
Несколько лет назад студенческая команда физиков Лестерского университета (Англия) предложила одну из таких моделей для расчета масштаба зомби-эпидемии.
По всей видимости, в апокалипсисе выжить будет проблематично: через 100 дней после начала эпидемии зомби, ежедневно превращающие в нежить с 90 %-ной вероятностью как минимум одного человека, не смогут поймать только 300 человек во всем мире.
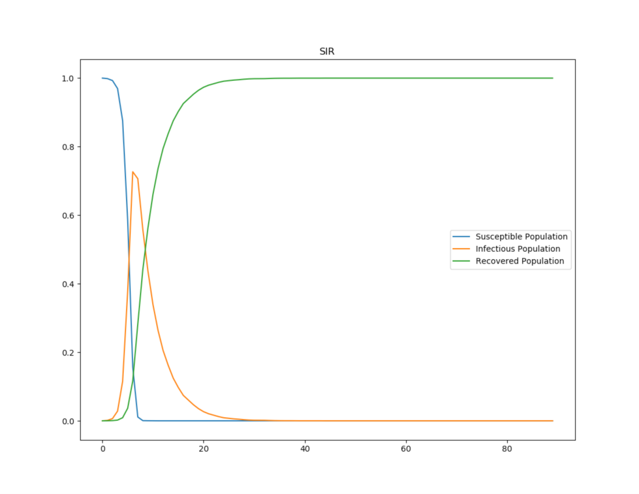
В основу данного исследования легла реальная эпидемиологическая модель SIR, с 1927 г. используемая для описания распространения заболеваний среди населения. S → I → R, где S(t) — susceptible, количество восприимчивых здоровых (еще не болевших) в момент времени t, I(t) — infected, количество больных в момент времени t, R(t) — recovered, количество иммунитетных к болезни (например, переболевших) в момент времени t.
Также иногда используется параметр N — number of people, общее количество человек, на которых распространяется действие модели: S(t) + I(t) + R(t).
Модель разделяет население на подверженных заражению, инфицированных и умерших/выздоровевших. SIR также учитывает частоту распространения и вымирания, когда отдельные лица в популяции вступают в контакт друг с другом.

SEIR модель с 8-дневным инкубационным периодом.
Исследователи множество раз модифицировали SIR. Например, модель SEIR получила инкубационный параметр зараженных, но еще не заразных пациентов (Exposed population). SEIR хорошо помогает моделировать вспышки туберкулеза, возбудителем которого является бактерия Mycobacteriumtuberculosis.

В данной модели 17 % населения заражены постоянно.
SIS показывает, что выздоровевшие не приобретают иммунитет, а возвращаются в группу восприимчивых. Поскольку люди остаются восприимчивыми после заражения, заболевание достигает устойчивого состояния в популяции.
К счастью, график распространения большинства резистентных бактерий нельзя напрямую сравнивать с моделью зомби-эпидемии. В имитационных моделях чаще всего не учитывают поведение человека, его взаимодействие с окружающей средой и бактериальную биологию.
Для создания реалистичных графиков распространения бактерий, устойчивых к антибиотикам, необходимо принять во внимание миллионы различных сценариев — отдаленно процесс похож на современную метеорологию и по сложности даст фору многим известным математическим задачкам.

Симуляция распространения резистентной бактерии в масштабе округа Ориндж, штат Калифорния: квадраты — никаких конкретных мер контроля; черные линии — несогласованные меры контроля при достижении пороговых значений; серые линии — скоординированный контроль при пороговых значениях.
На иллюстрации выше пример хорошей модели, в которой рассчитывается вероятность распространения инфекции по 28 больницам и 74 домам престарелых обычного городского округа. В модели все инфицированные перемещаются по экосистеме здравоохранения: взаимодействуют с врачами, медсестрами, кроватями, стульями и дверями сотни миллионов раз.
Модель показывает, что без усиленных мер контроля, включающих регулярное тестирование пациентов на иммунитет к инфекциям, и карантина для всех носителей инфекция будет циркулировать в экосистеме на постоянной основе — почти в каждой больнице в течение десятилетия.
При сборе данных для моделей в эпидемиологии резистентности не лишним будет учитывать антипрививочников. Движение против вакцинации возникло вскоре после создания английским врачом Эдвардом Дженнером первой вакцины против оспы. В 1885 г., через 62 года после смерти исследователя, около 100 тыс. демонстрантов прошли маршем, неся антивакцинаторские транспаранты, детские гробы и чучела Дженнера.
Минуло почти полтора века, а воз и ныне там — недавние вспышки кори от Нью-Йорка до Москвы связаны с обострением антивакцинаторской кампании. Корь — крайне заразное вирусное заболевание, но немало вакцин создано против бактериальных инфекций.

Карта заражения в биологическом симуляторе.
К борьбе с человеческой глупостью подключились даже разработчики игр. В симуляторе Plague Inc. игрок должен заразить вирусом и уничтожить в пандемии население Земли. В 2019 г. в игру добавили антивакцинаторов. Получилась наглядная модель: движение антипрививочников ускоряет распространение эпидемий по всему миру.
Математика не отвечает на вопрос, как противостоять вырвавшейся из карантина инфекции. В условиях эпидемиологической угрозы разработка новых методов противодействия бактериям становится шагом «последней надежды» — в следующей части расскажем о попытках найти выход из бактериологического тупика.
Автор: randall


