
Корреляция активности в некоторых районах при смене убеждений человека. Источник: научная статья "Neural correlates of maintaining one’s political beliefs in the face of counterevidence", Nature, doi: 10.1038/srep39589
Одно из самых интересных когнитивных искажений — эффект обратного действия (backfire effect), который является одним из следствий общего психологического феномена групповой поляризации мнений. Групповая поляризация мнений — феномен, когда люди с противоположными взглядами воспринимают новую информацию необъективно. Интерпретация фактов зависит от предыдущих установок каждого человека и его убеждений. В результате, при столкновении с объективной реальностью мнения людей расходятся ещё дальше друг от друга.
В то время как действие когнитивного искажения понятно на высшем уровне, учёные поставили задачу изучить его механику. Что происходит в
Групповая поляризация
Классический эксперимент на поляризацию мнений выглядит следующим образом. Из одной или двух корзин достают разноцветные шары. Участникам говорят, что в первой корзине 60% шаров красного цвета, а 40% — чёрного, а в другой корзине 60% шаров чёрного цвета, а 40% — красного. Затем участникам предъявляют шар третьего цвета (например, белого) и просят оценить вероятность, из какой он корзины. Участники первой группы должны вслух высказать своё мнение после каждого шара, а участники второй группы — только в конце эксперимента. Эксперимент показал, что участники первой группы с каждым шаром выражают всё большую уверенность, что белые шары происходят из какой-то одной корзины — красной или чёрной. Таким образом, их мнения всё сильнее поляризуются. А вот у «молчащей» группы участников при опросе в конце эксперимента нет такой поляризации.
Согласно предположениям учёных, феномен поляризации мнений проявляется именно в тех случаях, когда люди вынуждены публично озвучивать свои мнения. В результате, мнения, высказанные публично, носят более полярный характер, нежели решения, принимаемые индивидуально.
По мнению некоторых специалистов, человек способен укреплять своё мнение даже в отсутствие каких-либо новых фактов, просто размышляя на эту тему.
Эффект обратного действия
Эффект обратного действия — это когнитивное искажение в конкретном индивидуальном
В статье приводятся результаты очень любопытных экспериментов. Например, в одном из них исследователи проверяли, как действует на людей ложная информация с последующим исправлением этой информации. Одной группе участников дали статью с ложным фактом, а другой группе — такую же статью с ложным фактом, но с дополнением в конце статьи, где исправляется неверная информация. Затем участников попросили ответить на ряд фактических вопросов и выразить своё мнение о вопросе. В качестве ложного факта был выбран максимально реалистичный факт — наличие оружия массового поражения в Ираке непосредственно перед вторжением США, с последующим опровержением. В фальшивую статью внедрили реальную цитату из речи президента Буша в октябре 2004 года: "There was a risk, a real risk, that Saddam Hussein would pass weapons or materials or information to terrorist networks, and in the world after September the 11th, that was a risk we could not afford to take". Такой подбор слов предполагает, что в Ираке уже есть оружие массового поражения — именно этот ложный факт авторы текста речи стремились донести населению.
Во втором исследовании учёные также проверили гипотезу, что большинство населения поддержало вторжение в Ирак из-за страха смерти после терактов 11 сентября и многократных упоминаний темы смерти и жертв терактов в СМИ ("mortality salience" в таблице ниже).
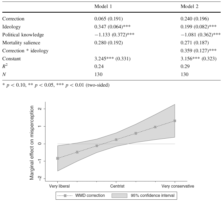
Результаты первого исследования в значительной степени подтвердили гипотезу об эффекте обратного действия. В таблице и на графике показан эффект, который оказала на респондентов ложная информация с последующим опровержением. Результаты Model 1 приведены без учёта политических взглядов респондентов. Они показывают, что опровержение информации не оказало практически никакого эффекта, в среднем, на респондентов. А вот результаты Model 2 приведены с учётом политических взглядов респондентов. Здесь видно, что хотя в среднем опровержение не оказало влияния на массовое мнение, но произошла явная поляризация мнений.
Люди с очень либеральными взглядами после ознакомления с опровержением стали меньше соглашаться с ложным утверждением, а вот люди с консервативными взглядами — парадоксально — ещё более укрепились в мысли, что в Ираке действительно было оружие массового поражения. То есть публикация официального утверждения только укрепило их точку зрения.

Опровержение не оказало статистически значимого эффекта на людей с умеренно либеральными и центристскими взглядами.
Исследователи обращают особое внимание на удивительный эффект, который оказало опровержение информации на консерваторов — то есть на тех, для кого это опровержение не совпадало с внутренними убеждениями. Это наглядная демонстрация обратного эффекта.
Специалисты попытались интерпретировать эти данные, и наиболее вероятным объяснением феномена они считают разное доверие источникам информации. Люди, у которых проявился эффект обратного действия, вероятно, больше доверяют источнику ложной информации, чем источнику правдивой информации. Вследствие этого получение новой правдивой информации из источника правдивой информации только укрепляет их доверие источнику ложной информации и ещё больше убеждает в том мнении, которое у них сложилось заранее.
С тех пор проведён ряд других экспериментов на эту тему, которые тоже подтвердили наличие эффекта обратного действия в списке когнитивных искажений. Этот эффект проявляется именно у людей с глубокими убеждениями в своей правоте — если они получают информацию, которая противоречит их убеждениям, то ещё больше укрепляются в них.
Результаты фМРТ пациентов с сильными политическими убеждениями
В 2016 году нейробиологи из Института изучения

На иллюстрациях красным и жёлтым показаны области
Если выразить результаты исследования простыми словами, то в споре о политике у человека просто отключается
Как только человек сталкивается с возможностью, что его политические убеждения могут быть неверны — он действует на уровне инстинктов, как при физической угрозе.
«Реакция, которую мы видим в
По мнению учёных, некоторые ценности настолько важны для идентичности человека, что
«Помните, что первая и главная задача
Современная психология и нейробиология уже достаточно подробно изучили процесс, каким образом нейтральные факты и тезисы можно перевести из разряда обычной информации в область психологической самоидентификации человека. Такие процессы инициируются умышленно в рамках государственной идеологии. Бывает, что простые технические темы могут политизироваться в силу спонтанных процессов, как это происходит с такими незначительными, на первый взгляд, техническими и научными вопросами как температура воздуха или количество углекислого газа в атмосфере.
Учёные из Института изучения

Они обнаружили небольшую область орбифронтальной коры головного
Нейробиологи отмечают, что несмотря на индивидуальные особенности каждого человека, отклик на угрозу политическим убеждениям у всех примерно одинаковый. Тем не менее, на примере неполитических убеждений они проверили, как коррелирует активность в некоторых районах
Выяснилось, что у пациентов с большой сопротивляемостью смене убеждений отмечается бóльшая активность в спинной передней части поясной извилины коры головного
Что характерно, исследование со сканированием фМРТ не показало явных признаков эффекта обратного действия. Авторы говорят, что после знакомства с фактами испытуемые временно демонстрировали небольшое снижение степени убеждённости по политическим темам и более значительное снижение — по неполитическим темам. Опрос через несколько недель показал, что эффект сохранился только для неполитических тем.
Возможная терапия
Возможно, в будущем учёные научатся помогать пациентам с глубокими политическими убеждениями, от которых они не могут избавиться (например, у признанных виновными в уголовных преступлениях по политическим причинам). С помощью стимуляции отдельных районов
В любом случае, важно понимать природу когнитивных искажений и помнить, что первая задача
В случае дальнейшего разговора не следует затрагивать темы, которые могут соприкасаться с областью, которая является частью психологической самоидентификации человека и отключает логику. Чтобы вернуть нормальное состояние человека, есть смысл поднять приятную для него или нейтральную тему, которая активизирует другие области
Учёные считают, что экстремальная когнитивная негибкость перед лицом новой информации необязательно является неадекватной. В конце концов, есть определённая выгода в том, чтобы обеспечить защиту для наиболее полезных убеждений. Смена ментальных моделей человека без достаточной причины может вызвать проблемы сама по себе.
Автор: alizar
