Сегодня 8 марта, день борьбы за равноправие женщин и самое время поднять вопрос о ситуации, в которой женщины особенно не равны перед мужчинами, а именно: почему женщины живут дольше?

Содержание:
- Слабый пол
- Гипотезы дискриминации
- Парадокс смертности-заболеваемости
- Пострепродуктивная продолжительность жизни
- «Незащищенная – Х» гипотеза
- Обсуждение
Слабый пол
Подавляющее большинство видов животных имеют два пола, и часто продолжительность жизни между полами сильно различается, в среднем разброс составляет около 20% [1], но в некоторых случаях может доходить и до 100% [2]. При этом в большинстве случаев наблюдается преимущество в продолжительности жизни у самок.
Данные о гендерном неравенстве в продолжительности жизни у людей показывают похожую картину, в среднем по миру женщины умирают примерно на 5 лет позже мужчин. Хотя существует большой разброс по странам, (печальным примером может служить Россия, мужчины тут умирают в среднем на 11,5 лет раньше женщин) но в целом распределение довольно равномерное и слабо коррелирует с общей продолжительностью жизни или какими-либо культурными традициями, что может говорить о универсальности тренда [3].

График различия в продолжительности жизни мужчин и женщин по странам мира. Источник данных [3]
Гипотезы дискриминации
Предлагаем рассмотреть основные группы гипотез, объясняющих эту явную дискриминацию по половому признаку, а также попробовать провести между ними логическую связь.
Эволюционные гипотезы предполагают, что разница в продолжительности жизни связана с половым отбором. Если оценивать успешность животного, как количество потомства, которому оно передало свои гены, то самцы могут извлечь выгоду, выбирая стратегию «живи быстро – умри молодым». Максимизируя количество спариваний, им приходится расходовать свои ресурсы на поддержание вторичных половых признаков таких, как яркая раскраска и крупные рога, а также сражаться за самок на турнирах, демонстрируя физическое превосходство. Все это сопровождается большими издержками для организмов самцов и несет риски для жизни, но также и позволяет отбирать наиболее приспособленные гены для популяции.

Пара уток мандаринок, слева самец, справа самка. Источник: en.wikipedia.org/wiki/Sexual_dimorphism#/media/File:Pair_of_mandarin_ducks.jpg
С другой стороны, женский пол, как правило, вносит гораздо больший вклад в развитие и не может получать такую-же репродуктивную выгоду от увеличения количества спариваний на единицу времени, поэтому делает ставку на стратегию «тише едешь – дальше будешь». Исходя из этого репродуктивный успех самок большинства видов, в большей степени зависит от продолжительности жизни чем у самцов, из чего можно предположить, что отбор будет с большей вероятностью закреплять признаки, способствующие долголетию самок [4].

Справа графики разницы в смертности между полами у разных видов приматов. Справа самка шимпанзе с детенышем. Источник графика: www.ncbi.nlm.nih.gov/pmc/articles/PMC3396421/#R15
Источник изображения: www.flickr.com/photos/7654576@N02/14653025323
В тоже время, поскольку долголетие самцов находится не под таким жестким давлением отбора, у них способны закрепляться гены, которые дают преимущества при размножении и турнирах за самок, но в тоже время негативно в целом влияют на продолжительность жизни. И кандидатами на такие плейотропические гены, могут стать гены половых гормонов самцов.
В подтверждение этой идеи можно привести результаты исследования на птицах, в котором была показана обратная связь между уровнем полового гормона – тестостерона (отвечающего за формирование вторичных половых признаков) и уровнем иммунного ответа, а также устойчивостью к окислительному стрессу.

Слева: пара зебровых амадинов(слева амец), источник, справа вверху: уровень имунного ответа в зависимости от уровня тестостерона, справа внизу: устойчивость к оксидативному стрессу в зависимости от уровня тестостерона источник [5].
На четыре недели 42-м Зебровым амадинам — небольшим птицам семейства вьюрковых, под кожу помещали импланты, которые высвобождали в кровоток, в зависимости от группы, либо тестостерон, либо фтуламид (антагонист андрогенового рецептора, запускающего реакцию клеток на тестостерон), контрольная группа получала пустой имплант [5].
Дополнительным свидетельствами в поддержку гипотезы «темной стороны» репродуктивного успеха могут стать также наблюдательные ретроспективные данные о продолжительности жизни евнухов — людей, испытывающих на протяжении жизни недостаток тестостерона в результате кастрации. Исследователи изучили, по генеалогическим записям, продолжительность жизни 81 евнуха, жившего в Корее в 18-19 — х веках и сравнили с продолжительностью жизни мужчин того периода, не подвергавшихся кастрации. Сопоставив данные ученые посчитали, что в среднем, евнухи жили на 15-20 лет дольше [6]

Справа актер Энрико Чекетти и Флор Ревалес в роли Евнуха и Забейды в постановке «Шехеразада» источник
Слева результаты анализа данных генеалогических записей о продолжительности жизни различных сословий в Корее 18-19-х веков источник [6]
C другой стороны основной женский половой гормон — эстроген наоборот способствует снижению воспаления, за счет того, что сокращает время, затрачиваемое макрофагами на воспалительный статус [7]. Было описано много эффектов положительного влияния эстрогена на продолжительность жизни и снижение риска сердечно-сосудистых заболеваний [8], так же было показано, что обработка клеточных культур эстрогеном, in-vitro, снижала уровень клеточной гибели вызванной окислительным стрессом [9].
Парадокс смертности-заболеваемости
Описанное выше плейотропное (множественное) действие половых гормонов может дать зацепку к объяснению, так называемого, парадокса смертности-заболеваемости. Наблюдаемый эффект состоит в том, что женщины, хоть и живут дольше мужчин, но в более позднем возрасте больше страдают различными заболеваниями, чаще обращаются к врачам и оценивают свое здоровье хуже чем мужчины соответствующего возраста [10].
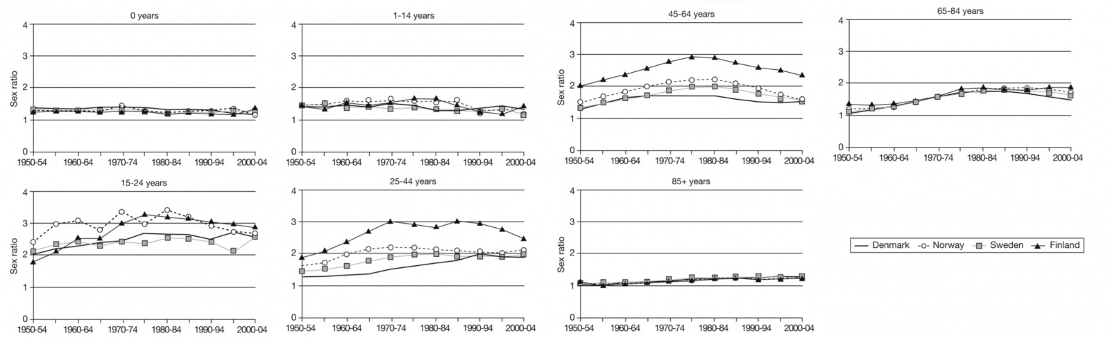
Так данные если взглянуть на смертность у мужчин и женщин, в 4 странах Европы (Германия, Норвегия, Швеция, Финляндия) за период 1950-2005 годы, и разбить данные на 5 возрастных групп, то можно заметить, что разница между мужчинами и женщинами достигает своих максимумов в репродуктивном периоде когда действие половых гормонов наиболее ярко выражено, затем, и практически нивелируется к возрасту 65-84 года [11].

Продолжительность жизни в различных возрастных группах, в Германии, Норвегии, Швеции, Финляндии за период 1950-2005 годы. Источник [11]
В эти данные органично вписывается предположение о том, что выжившие в период негативного воздействия тестостерона мужчины, прошли «отбор» и до момента снижения уровня половых гормонов доживают только наиболее здоровые и устойчивые индивиды, в то время, как женщины напротив, к наступлению менопаузы теряют защиту эстрогена от воспалительных реакций и окислительного стресса и начинают ощущать себя в целом хуже.
Пострепродуктивная продолжительность жизни
Интересный вопрос, касающийся объяснения парадокса смертности-заболеваемости почему до сих пор он наблюдался только у людей? [12] Чтобы понять это стоит обратить внимание на пострепродуктивную продолжительность жизни среди женщин и самок других видов.
Исследование, опубликованное в январе 2018 в журнале «Ecology and evolution» обобщает данные о продолжительности жизни 52 видов плацентарных млекопитающих, измеряя соотношение лет жизни самок, до и после завершения репродуктивного периода. Распределение получилось действительно неожиданным, с большим отрывом лидировали три вида: люди, косатки и короткоплавниковые гринды (млекопитающее из семейства дельфиновых). Доля пострепродуктивных лет жизни у всех трех видов составила более четверти от общих лет жизни, тогда как у всех остальных она мало отличалась от нуля.
Когда самка достигла возраста последнего размножения, её ожидаемая продолжительность жизни составляет для людей = 26 лет, косатки = 29 лет и короткоплавниковая гринда = 13 лет [13].

Высота столбиков диаграммы — максимальная продолжительность самок разных видов, желтая часть столбиков — доля посрепродуктивной продолжительности жизни. Источник [13]
Любопытно, что короткоплавниковая гринда как раз и является чемпионом по разнице в продолжительнсти жизни между полами, упомянутыми в самом начале статьи, их самки живут почти в два раза дольше чем самцы. [2]

Внешний вид животного короткоплавниковая гринда. Источник www.fisheries.noaa.gov/species/short-finned-pilot-whale
«Незащищенная – Х» гипотеза
Еще одним кусочком пазла, дополняющим объяснение эффекта полового диморфизма продолжительности жизни, и объясняющим почему, несмотря на все вышеперечисленные аргументы, у некоторых видов самцы все-таки живут дольше самок, может стать гипотеза о незащищенной гетеро-гаметной половой хромосоме. [14]
Большинство видов животных на Земле имеют два пола и двойной (диплоидный) набор хромосом и поскольку каждая хромосома продублирована, это дает «страховку» на случай повреждения одной копии. Как правило половые различия на уровне архитектуры генома состоят в том, что у представителей одного пола, в определенной паре хромосом присутствуют не копии, а две разные хромосомы, такой пол называется гетерогаметным.
Так у людей гетерогаметный пол – мужской, а наличие двух половых хромосом ХX является признаком гомогаметного — женского пола. Вред от повреждения информации в Х хромосоме у женщин, может быть сглажен за счет наличия второй копии, у мужчин можно сказать, что Х хромосома не защищена, что может стать причиной заболеваний и уменьшения продолжительности жизни.
Совсем недавно (04 марта 2020) исследователями из университета Нового Южного Уэльса, были представлены наглядные и довольно убедительные данные в пользу этой гипотезы. Они собрали информацию о продолжительности жизни самцов и самок 229 видов из 99 семейств и 38 отрядов. Анализ показал, что гомогаметный пол в среднем живет на 17,6% дольше [15].

Результат обработки данных демонстрирующий разницу в продолжительности жизни между гетерогаметным и гомомгаметным полом у различных видов. Синие кружочки — гетерогаметный мужской пол, красные ромбы — гетерогаметный женский пол. Отчетливо видно что средние значения разброса красных ромбов значительно ближе к нулевой отметке. Источник [15]
Важно отметить, что гетерогаметный пол — это не всегда самцы, у некоторых видов гетерогаметны самки. Самое интересное, что у видов, у которых гетерогамным полом были самки – продолжительность жизни гомогаметных самцов была больше, но только на 7,1%. В то же время если взять выборку видов, в которой гомогаметным полом будут только самки, то разница в продолжительности жизни полов будет максимальной – 20,9%, что показано на графике выше и хорошо согласуется с перечисленными выше гипотезами о плейотропии половых гормонов и издержках полового отбора.
Обсуждение
Исследования полового диморфизма в продолжительности жизни, представляет собой крайне интересную и многообещающую тему для дальнейших исследований механизмов старения, основные преимущества ее в том что она все еще довольно слабо изучена, а так же в том, что почти в любой популяции мы всегда можем четко выделить группы воздействия для проверки и уточнения гипотез. Автор надеется, что из этого обзора читатель вынес некоторое представление о возможных механизмах возникновения различия в продолжительности жизни между полами и заинтересуется более глубоко вникнуть в эту тему.
Дополнительно
Эта статья вышла при поддержке некоммерческого проекта Open Longevity openlongevity.org — сообщество молодых и не желающих стареть активистов и исследователей, основными задачами которого являются привлечение внимания, исследователей и финансирования для изучения проблемы старения и радикального продления жизни человека.
Если вы хотели бы чем-то таким заниматься напишите им в контакты на сайте, там всегда рады новым людям.
Цитируемые работы
1.https://bsd.biomedcentral.com/articles/10.1186/s13293-018-0181-y/tables/1,
2.http://www.helenemarsh.com/publications/JournalPapers/1984/KasuyaMarshLifeReproPilot1984.pdf
3.https://www.who.int/gho/publications/world_health_statistics/2016/Annex_B/en/
4.https://besjournals.onlinelibrary.wiley.com/doi/full/10.1111/j.1365-2435.2008.01417.x
5.https://www.ncbi.nlm.nih.gov/pmc/articles/PMC2093982/
6.https://www.cell.com/current-biology/fulltext/S0960-98221200712-9
7.https://www.ncbi.nlm.nih.gov/pmc/articles/PMC4609992/
8.https://www.ncbi.nlm.nih.gov/pmc/articles/PMC3972065/
9.https://www.ncbi.nlm.nih.gov/pubmed/17174166?dopt=Abstract
10.https://www.ncbi.nlm.nih.gov/pmc/articles/PMC3629373/
11.https://www.ncbi.nlm.nih.gov/pmc/articles/PMC3629373/
12.https://www.cell.com/cell-metabolism/fulltext/S1550-41311630237-6
13.https://onlinelibrary.wiley.com/doi/full/10.1002/ece3.3856
14.http://liu.diva-portal.org/smash/get/diva2:1199516/FULLTEXT01.pdf
15.https://royalsocietypublishing.org/doi/10.1098/rsbl.2019.0867
Автор: Никита Иванов
