Сколько весят дождевые облака?
На этот странный вопрос с непонятными исходными условиями есть большое количество ответов в интернете с пугающими цифрами в сотни и тысячи тонн воды.
Самое занятное, что это является правдой!
Вот только смысла в этих больших цифрах крайне мало, так как их просто не с чем сравнить. Ведь облаков великое многообразие, и все они различаются, как размерами, так и структурой. (см.рис.1)
Рис.1. Классификация облаков по структуре и высотам расположения.
Гораздо интереснее то, сколько воды может выпасть из дождевого облака на 1 квадратный метр поверхности земли.
Это показатель часто сообщают в прогнозах погоды как выпадения «миллиметров осадков» в виде дождя.
Для оценки силы дождя я нашёл такое определение (см. рис.2)
Рис.2. Градации интенсивности дождя по толщине слоя выпавшей воды.
Выпадение 1 мм дождя на площади 1 м2 составляет массу 1 кг воды.
То есть дождевое облако площадью 1 км2 ( что равно 1000х1000=1млн.м2) при самом слабом дожде будет весить не менее 1млн.кг = 1тыс.тонна.
Ливень с расходом 25мм осадков даст массу облака уже более 25 тыс.т/км2.
То есть, Да, в облаках действительно могут содержаться тысячи тонн воды.
Но какими же силами эти гигантские массы воды удерживаются в небе?
И сколько вообще воды может содержаться в воздухе?
Количество воды в воздухе.
Количество воды в воздухе - это известный физический параметр, который называется «абсолютная влажность воздуха» и «относительная влажность воздуха»
Про «влажность воздуха» воздуха в зависимости от температуры нам может рассказать «I-d диаграмма влажного воздуха» (см.рис.)
Рис.3. Типовая «I-d диаграмма влажного воздуха». Пунктирные линии с малым наклоном вправо - это линии постоянной плотности воздуха. Так получается, что одинаковая плотность воздуха может быть при разной температуре и влажности воздуха. А при одинаковой температуре воздуха влажный воздух немного легче, чем сухой воздух с той же температурой.
Из этой «i-d диаграммы» следует, что при температуре +20С и при 100% относительной влажности в воздухе будет присутствовать 15г воды на 1 кг воздуха.
Что при плотности воздуха около 1,2кг/м3 даст общее объёмное влагосодержание 1,2*15=18г/м3.
Такой влажный воздух может возникнуть над тёплой поверхностью большого водоёма, например над разогретым летом озером или тёплым морем.
Так более тяжёлый холодный и сухой воздух с берега стекает на тёплую морскую воду и начинает насыщаться водой при испарении воды с поверхности моря.
Влажный тёплый воздух оказывается легче холодного сухого воздух, что вызывает подъём влажного воздуха вверх. А на место поднявшегося тёплого воздух с берега снова затекает новая порция холодного сухого воздуха.
Такое движение воздуха под действием нагрева или охлаждения над водой называется «морской бриз» (см.рис.4.)
Рис.4. Схемы образование бризовых ветров над морем.
При большой площади тёплых морей возникают достаточно большие потоки воздуха, которые образует уже глобально-планетарные перемещения воздушных масс, например «атмосферные фронты», которые способны перемещается на сотни километров от морей вглубь материков (см.рис.5-6.)
Рис.5 . Граница взаимодействия тёплых и холодных массивов воздуха в «атмосферном фронте». Справа на фото видно интенсивное образование дождевых облаков на стыке холодно-сухого и тёпло- влажного воздушного слоя.
Рис.6. Схема продвижения тёпло-влажного фронта вглубь материка с постепенным срабатыванием накопленного водяного запаса в виде дождей над сушей.
Расширение воздуха при снижение давления по высоте атмосферы
При подъёме вверх тёпло-влажный воздух попадает в слои атмосферы с более низким давлением, что вызывает адиабатическое расширение воздуха с соответствующим падением температуры.
При расширении воздуха на высоте одновременно пропорционально падает влагосодержание воды на единицу объёма.
При этом предельное парциальное давление паров воды зависит именно от занимаемого объёма и температуры, а не от давления окружающих масс воздуха.
При охлаждение воздуха от температуры +20С до +10С за счёт адиабатическом расширения резко с снижается способность воздуха удерживать в себе влагу, а избыток воды выпадает из газообразного состояние в мелкодисперсный туман, который мы видим как облака в небе.
Если при +20С у поверхности земли в воздухе содержится до 15г/кг (18г/м3) при 100% влажности, то согласно «i-d диаграммы» при температуре +10С и той же 100% относительной влажности в воздухе содержится уже всего 7,5г/кг или в пересчёте на объём :
1,24*7,5=9,3г/м3.
Таким образом, для самого маленького дождя с расходом 1 мм/м2 =1кг/м2 потребуется слой сконденсированного тумана из облака толщиной не менее:
1000/(18-9,3)=115м.
А для сильного ливня с расходом 25мм осадков потребуется облако толщиной уже более 3км.
Адиабатическое охлаждение всплывающих воздушных масс
Двукратное снижение максимального влагосодержания на объём воздуха достигается всего лишь при падении температуры от +20С до +10С на дТ=10С.
При всплытии тёплого влажного воздуха в слоях более плотного сухого воздуха происходит перемещение в область с меньшим атмосферным давлением на большей высоте, что сопровождается адиабатическим расширением всплывающей массы воздуха.
При адиабатическом расширении воздуха температура падает на дТ=10С при увеличении объёма всего на 9%, при этом давление падает на 13% по степенной зависимости с показателем адиабаты к=1,4.
Расширение всплывающего тёплого воздуха с падением давления на 13% обеспечивается при равном окружающем давление неподвижного воздуха атмосферы на высоте 1км.
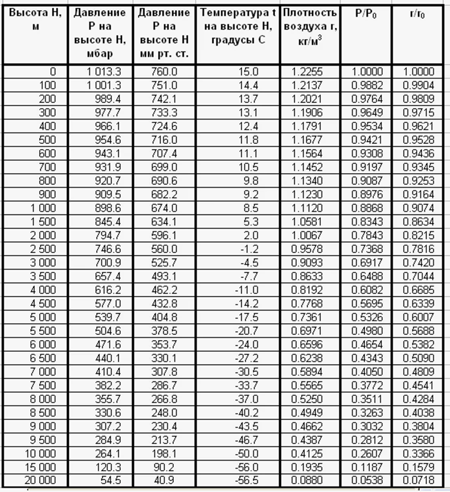
Это легко определяется по таблице характеристик стандартной атмосферы (см.рис.7-9.)
Ро/Р1км=1013/898=1,128 или 12,8%
Рис. 7. Распределение давления и температуры воздуха по высоте.
Рис.8. Таблица характеристик стандартной атмосферы.
Рис.9. Таблица характеристик стандартной атмосферы из какого-то учебника со ссылкой на ГОСТ.
При этом плотность окружающего воздуха на высоте 1км упадёт на те же 9%, которые были рассчитаны ранее.
То есть объём воздуха на единицу массы возрастёт на 9%, что можно определить по плотности воздух по высоте из той же таблицы «Стандартной атмосферы»:
(1,225-1,112)/1,225=0,092 или 9,2%.
Так что остывший и расширившийся влажный воздух на высоте 1 км станет более «сухим» по абсолютной величине влагосодержания паров воды, а избыток воды из газообразного состояния выпадет в жидкое состояние в виде мелкодисперсного тумана.
Энергия конденсации воды
Вопрос: Куда девается энергия конденсация воды в размере 2400кДж/кг, которая даже от 9 граммов тумана будет составлять весьма значительную величину?
Так при конденсации 9 г воды выделится энергия:
Еконд=0,009*2400=21,6кДж
Учитывая, что исходно эти 9 грамм воды относились на 1,2кг воздуха с теплоёмкостью 1кДж/кг, то 21,6 кДж от конденсата способны нагреть свой объём воздуха на дТ:
дТ=21,6/(1,2*1)=18С
Получается, что конденсация воды подогревает окружающий воздух, заставляя его всплывать на значительную высоту, при этом разгоняя массу воздуха до ощутимых скоростей.
Причём нагрев воздуха за счёт конденсации воды давал прибавку "плавучести" где-то на 7%, тогда как исходно пары воды давали "плавучесть" около 1% по весу.
Эти восходящие потоки воздуха («термики») под кучевыми облаками используют планеристы для набора высоты.(см.рис.10-11.)
Рис.10. Схема полёта планера с набором высоты на термических восходящих потоках воздуха («термики»). Отдельные кучевые облака, под которыми возникают устойчивые замкнутые тороидальные потоки, где в центре находятся восходящий «термик». В разрывах между облаками идут нисходящие холодные потоки воздуха, образуя устойчивые торообразные воздушные вихри. Интересно, что возможен набор высоты и внутри самого облака, что показано в верхнем маршруте полёта планера через облака. То есть внутри облака сохраняется поток воздуха вверх.
Рис. 11. Схема набора высоты планером по спирали на термических восходящих потоках воздуха. На рисунке видно, что термические потоки связаны с источниками тепла: нагретые солнцем тёмные поверхности пашни и нагретые собственным теплом города. Зелёные луга поглощают свет для фотосинтеза без нагрева, так что над зелёными полями и лесами термиков не возникает.
Подъём воды на 1км осуществляется за счёт энергии конденсации самой воды, так как плотности и температуры воздуха на высоте выравниваются.
Для падения температуры установившегося неподвижного атмосферного воздуха на дТ=10С нужно подняться на высоту приблизительно 10*100/0,6=1666 м=1,67км (см.рис.12-13.)
При этом разница энергий от конденсации и охлаждения воздуха уходит в кинетическую энергию воздуха, разгоняемого в «термике» до ощутимы скоростей 5м/с и более по вертикали.
Рис.12. График распределения температуры воздуха по высоте атмосферы.
Рис.13. График распределения температуры воздуха по высоте атмосферы с привязкой к типам облаков в данной высотной зоне..
Возникновение низкой облачности
Интересно, что при адиабатическом расширении воздуха охлаждение на те же дТ=10С возникает при подъёме воздушных масс на высоту всего около 1км , что сильно ниже, чем высота 1,6км как указано в таблицах стандартной атмосферы.
Именно так формируется низкая облачность в предгорьях Кавказа в курортном субтропическом городе Сочи, когда осенью тёплый воздух от ещё неостывшего моря поднимается и конденсируется на сравнительно небольшой высоте у ближних к г.Сочи отрогов гор, высота которых менее 1 км. (см.рис.14)
Рис.14. Вид с моря на г.Сочи с низкой облачностью над горами в осенний день (судя по тёплой одежде яхтсменов).
Температуры воды и грунта в г.Сочи легко узнать из климатических таблиц, которые даны в Википедии по городу Сочи. (см.рис.15)
Рис.15. Таблицы температуры воды и земли на берегу в г. Сочи по месяцам.
Так оказывается, что с июля по апрель средняя температура воды в море на 1..2С выше температуры грунта на берегу, что обеспечивает практически постоянный ветер с холодного берега к тёплому морю.
И только два месяца в году в Мае и Июне берег оказывается теплее моря, что вызывает полную остановку ветра к морю или слабый обратный ветер с моря на сушу.
Достаточно подробная климатическая характеристика погоды в Сочи дана в той же статье в Вики, отрывок которой приведён ниже (см.рис.16)
Рис. 16. Описание климата в г.Сочи согласно статьи в Википедии.
Архимедова сила для воздушных масс.
Разность плотностей влажного и сухого воздуха при одинаковой температуре зависит только от содержания водяных паров.
Вода имеет молекулярный вес Mr-Н2О=18 г/моль, что меньше, чем средний вес воздуха Mr-возд=29 г/моль.
Именно эта предельная разница в 29-18=11г/моль и создаёт избыточную подъёмную силу при всплывание влажного воздуха в окружающем сухом воздухе с той же температурой.
При +20С и 100% влажности давление насыщенных паров составляет 2,4кПа при давлении атмосферы 100кПа (см.рис.17.)
Рис.17. I-d диаграмма влажного воздуха с указанием парциальных давлений водяных паров.
Таким образом объёмная доля паров воды с максимальным давлением 2,4кПа при Т=+20С и при 100% относительной влажности, приведённая к базовому давлению атмосферы в 100кПа, составляет объём около:
Vпар=2,4/100=0,0024м3/м3 или 2,4% по объёму.
Архимедова сила (Гравитационная тяга) на один кубометр влажного воздуха тогда составит величину:
Fарх =0,024*9,81*0,011*1000/22,4=0,115 Н
То есть в привычных бытовых величинах получается, что 1200г воздуха тянет вверх сила от разницы веса менее 12 граммов, тот есть "архимедова сила" составляет всего около 1% от веса кубометра воздуха .
Создаваемое вертикальное давление получается:
Рарх= Fарх/S=0,115Па/м
Величина давления 0,115 Па ничтожно мала для слоя высотой всего в 1 метр.
Но при пересчёте на высоту слоя атмосферы в 1000 метров циркуляционный напор составит уже 115Па, а при высоте столба в 10км давление превысит 1кПа.
Именно это накопленное циркуляционное давление создаёт высокие скоростные напоры ветра в тонких приземных слоях воздуха.
Статический напор 115Па способен создать ветер со скоростью около 14м/с (50 км/ч):
Рv=1,2*14^2/2=117,6Па
А давление 1кПа соответствует скорости потока уже более 40м/с (144км/ч):
Рv=1,2*40^2/2=960Па
Циркуляционные кольца в атмосфере
Атмосфера – это неразрывная газовая сред в приземном пространстве, в котором соблюдается принцип неразрывности среды.
Если где-то возник восходящий поток, то рядом должен появиться нисходящий поток, компенсирующий своим притоком вниз освобождаемое пространство под восходящим потоком.
Так возникают кольцевые циркуляционные потоки в атмосфере.
Если под кучевым облаком возникает восходящий поток воздуха, то между облаками будут нисходящие к земле потоки воздуха.
Кучевые облака в солнечную погоду располагаются достаточно редко друг от друга, так что зазоры между облаками по площади сильно больше самих облаков. (см.рис.18.)
Рис.18. Вид с высоты из самолёта на разрозненный кучевые облака над землёй (сушей) в ясный солнечный день. Площадь промежутков между облаками многократно больше площади самих облаков.
Таким образом, каждое кучевое облако становится центром конвекционного тороидального потока, в котором под облаком идёт нагретый и увлажнённый поток от земли вверх, а между облаками под ясным небом опускаются на землю остывшие и обезвоженные массы воздуха. (см.рис.19.)
Рис. 19. Схема движения воздуха в замкнутых тороидальных структурах с восходящими «термическими потоками» в их центрах под кучевыми облаками (правая часть картинки). Согласно схеме возможно существование восходящих потоков и без образования кучевых облаков- «голубые термики», которые возникают над горячей и сухой поверхностью земли (левая часть картинки).
Устойчивые тепловые тороидальные потоки возникают также в слоях нагреваемых жидкостей, которые легко наблюдать например в обычном чайнике или в кастрюле с нагреваемой водой (см.рис.20.).
Рис. 20. Устойчивый тороидальный конвективный поток в кастрюле с водой при нагреве на газовой конфорке.
Конвективные потоки удобнее наблюдать в подкрашенных пудрой вязких жидкостях, где формирование и движение тороидальных потоков в отдельных «тепловых ячейках» легко наблюдать невооружённым глазом.
А если слой жидкости много тоньше его размера в плане, то возникает множество отдельных «тепловых ячеек», разбивающих площадь нагреваемого слоя жидкости на отдельные конвекционные «соты».(см.рис.21.)
Рис.21. Возникновение устойчивых тороидальных конвекционных потоков- «ячеек Бенара» в тонких слоях вязкой жидкости. На правом фото видны границы «ячеек Бенара» в слое нагреваемого вязкого масла, окрашенной алюминиевой пудрой для лучшей видимости потоков. Тонкие тёмные границы- это зоны столкновения нисходящих потоков отдельных ячеек. Пятна по центру «сот»- это восходящий «термик».
Кучевые облака в солнечный день разбивают атмосферу именно на такие «конвективные соты» ячеек Бенара (см.рис.22.)
Именно на таких восходящих потоках -«термиках» осуществляют набор высоты планеристы в своих полётах на дальность.
Рис.22. Вид с высоты из самолёта на разрозненный кучевые облака над морем в ясный солнечный день. Площадь промежутков между облаками многократно больше площади самих облаков. Видны отдельные усиления облаков с выбросом тумана на большую высоту.
Возникновение смерчей и атмосферных циклонов (ураганов)
Пока ячейки Бенара в атмосфере сравнительно не велики, то это не вызывает особых проблем для людей и природы.
Но что произойдёт, если отдельный тороидальный поток воздуха под слишком большим облаком над слишком тёплой водой станет слишком большим и сильным?
Такое разрастание масштаба отдельной атмосферной «ячейки Бенара» может превратит безобидное кучевое облако в смертоносный смерч над морем («торнадо» над сушей) или даже в морской циклон (тропический ураган). (см.рис.23-25.)
Рис.23. Торнадо на суше в США. Справа виден ещё один торнадо поменьше в отдалении.
Рис.24. Смерчи над морем.
Рис.25. Циклон (тропический ураган) в Карибском море на пути к Кубе и Флориде. Второй циклон виден севернее в районе Нью-Йорка. Вид из космоса. Облака- это верхний видимый слой сконденсированного тумана в замкнутом тороидальном потоке вихря циклона. Диаметр ближнего циклона около 1000км, что видно в сравнение с о.Куба, длина которого как раз близка к 1 тыс.км.
Циклон и смерч- это по сути одно и тоже явление в разных масштабах.
Закручивание смерчей и циклонов в спиральный вихрь возникает под действием сил Кориолиса на криволинейной поверхности вращающейся планеты, когда масштаб тороидальной циркуляции над нагретым участком моря становится на столько большим, что влияние сил Кориолиса становится заметным.
Циклоны зарождаются над особо нагретыми участками океана в зоне тропиков, над перегретыми в летний сезон водами океана. Важно, что эта зона должна быть достаточно далеко от экватора, чтобы силы Кориолиса уже могли себя проявить на достаточно высоких углах по широте.
Над горячей летней водой тропического океана первоначальный «термик» зарождается, а потом уже как сформированный тороидальный вихрь начинает двигаться в более высокие широты Земли по полосе нагретой солнцем океанской воды, всасывая тепло моря при испарении воды с поверхности.
По мере ухода от экватора влияние ускорения Кориолиса возрастает, что приводит к более интенсивному вращению центральных зон «термика». Именно быстрое вращение центральной зоны циклона под действием ускорения Кориолиса является его основной разрушительной силой тропического ураган. (см.рис.26)
Рис.26. Зоны формирования и маршруты движения тропических циклонов.
Для северной Атлантики зона зарождения ураганов лежит в тропической зоне возле Африки. При этом набор разрушительной силы у данных ураганов происходит уже в очень тёплых водах на мелководье Карибского бассейна вокруг Кубы.
Именно там и происходят максимальные разрушения от ураганов в прибрежных штатах Флорида и Луизиана.
Циклоны северного полушария имеют ярко выраженный сезонный характер: позднее лето и осень после максимального прогрева океанской воды в тропиках. Получается, что тропические ураганы ближе к муссонным ветрам (сезонный прибрежный ветер), чем к экваториальным пассатам (постоянный ветер у экватора) (см.рис.27-28.)
Рис.27. Схема формирования сезонных муссонов на Дальнем востоке в тёплом Японском море.
Рис.28. Идеализированная схема глобальных воздушных течений в атмосфере Земли, как если бы планета была равномерно нагрета солнцем (нет смены зимы и лета), а также была покрыта только океанами постоянной глубины. Толщина атмосферы на картинке слишком завышена, что делает модель лживой, преувеличивая зону экваториальных пассатов далеко за границу тропиков.
Возникновение смерчей и торнадо
Смерчи – это маленькие ураганы, которые зарождаются над отдельными сильно прогретыми мелководными участками субтропических морей (зона смерчей у островов Ки-Уэст близь Флориды).
Смерчи живут не долго, так как рождены слишком близко к месту своей гибели.
Смерч разрушается при выходе с тёплой полосы моря в зону холодной воды, или при выходе на сушу.
Торнадо формируются на суше и идут над перегретыми сухими участками земли, где восходящие «термики» вызваны скорее перегревом воздуха, чем его переувлажнением. Торнадо живут также не долго, как и смерчи, погибая после захода солнца при быстром остывании земли.
Откуда берётся вращение в смерче и циклоне?
Огромные скорости ветра вызваны восходящим «термиком», а вот вращение в центральной зоне циклона связана с ускорением Кориолиса и накопительным эффектом от влияния закона сохранения импульса (момента вращения).
Гигантский морской циклон включает в себя огромные массы воздуха, организованно движущиеся к центру вдоль поверхности воды и от центра высоко в атмосфере. (см.рис.29)
Рис.29. Описание условий возникновения циклона и схема циклона в разрезе.
В этом встречном движении на сотни километров у масс воздуха меняется скорость: чем ближе к центру, тем меньше сечение потока и более высока скорость потока (по критерию неразрывности потока).
Вращение же возникает из-за влияния ускорения Кориолиса, обеспечивающего сдвиг вправо при движении воды и ветра в северном полушарии Земли.
Ускорение Кориолиса- это не сила, а кинематический эффект при движении на криволинейной вращающейся планете.
Ускорение Кориолиса движущегося потока необходимо рассматривать относительно наблюдателя с фиксированной точки на поверхности вращающейся планеты.
Тогда при движении по меридиану с экватора на северный полюс поток будет получать дополнительную прибавку скорости вправо вдоль параллели, что связано с сохранением абсолютной скорости при у уменьшение радиуса вращения относительно оси планеты на более высокой широте. (см.рис.30.)
Рис. 30. Картинка с объяснением сил Кориолиса из учебника «Теоретическая механика». Именно сила Кориолиса подмывает и делает правый берег реки высоким в северном полушарие. Также сила Кориолиса приводит более быстрому износу правого рельса на железных дорогах в северном полушарие.
В случае с циклоном получается так, что изначально потоки воздуха движутся к центру циклона прямо. Но из-за кривизны и вращения планеты при приближение к центру циклона потоки воздуха получают сдвиг вправо от центра, этот сдвиг вправо воспринимается как изменение направления скорости.
Именно это боковое ускорение Кориолиса и создаёт устойчивое вращение в одну сторону у сходящихся к центру потоков воздуха в циклоне.
Какова величина боковой прибавки скорости от ускорения Кориолиса?
Далее в действие вступает прикладная геометрия и школьная физика.
Огромная масса воздуха на дальних краях движется к центру циклона на небольшой скорости относительно планеты, но с огромной скоростью вместе с планетой.
Так на экваторе скорость движения поверхности земли составляет 40 тыс.км за 24 часа (один оборот планеты за сутки).
Тогда экваториальная скорость составляет:
Vэ=40000/24=1666 км/ч.
То есть поверхность планеты вращается в 2 раза быстрее, чем летит авиалайнер на скорости 830км/ч.
Именно эту скорость в 1666 км/ч надо учитывать при расчёте Кориолисового ускорения потоков воздуха в циклоне.
Предположим, что радиус среднего циклона около 500км и расположен центр циклона над Кубой на широте 22 градуса северной широты.
Тогда на широте 22 градуса переход на 500км на север даст изменение широты на величину дА=360*500/40000=4,5 градуса.
При этом тангенциальные скорости от вращения планеты между двумя точками изменится на величину
dV= 1666*(соs А1- соs А2) = 1666*(соs 22- соs 26,5)=1666*(0,927-0,895)= 53км/ч
Для средненького циклона диаметром 1000км получилась вращательная скорость штормового ветра около 50км/ч.
Если диаметр циклона возрастёт в 2 раза, то вращательная скорость в его центре вырастет также в 2 раза до ураганной скорости в 100км/ч. (см.рис.31.)
Рис.31. Набравший силу циклон (тропический ураган) в Карибском море над о.Куба на пути к Флориде. Вид из космоса. Облака- это верхний видимый слой замкнутого тороидального потока. Радиус циклона около 1000км, что видно в сравнение с о.Куба, длина которого близка к 1 тыс.км. Скорость ветра в центре урагана такого размера может сильно превышать значение 100км/ч.
Как достигаются скорости до 300км/ч в центре больших циклонов?
Согласно данным о тропических циклонах скорость ветра может достигать величины в 300км/ч , что оказывается много выше 100км/ч, чем по расчёту ускорения Кориолиса (см.рис.32.)
Рис.32. Разрез циклона с направлением движения основных потоков. Вблизи «глаза циклона» скорость тангенциального потока может достигать 300км/ч.
Откуда же берётся эта избыточная скорость в целых 300км/ч, если расчёт Кориолисового ускорения даёт всего 50-100км/ч?
Тут в действие вступает уже Ньютоновская механика и законы неразрывности воздушной среды.
Допустим, что на расстояние 100 км от центра циклона Кориолисова скорость составит 50км/ч.
Тогда при сокращение расстояния до центра циклона в 2 раза (со 100 до 50км) сократится площадь проходного цилиндрическое сечение в те же 2 раз.
По закону сохранения вещества и неразрывности среды это сокращение сечения вызовет возрастание скорости в 2 раза с 50 до 100 км/ч (при неизменном расходе воздуха).
Если приблизится к центру циклона ещё в 2 раза (с 50км до 25км), то там скорость возрастёт в той же двойной пропорции с 100 до 200км/ч.
Именно про эту скорость до 200км/ч вблизи стены «глаза циклона» повествует выше приведённая картинка (см.рис.)
То есть в центральной зоне циклона разгон потока будет совершаться уже за счёт подпора от идущих следом огромных масс воздуха, а перепад давления для такого разгона до 200 км/ч должен составлять :
дР= 1,2*(200/3,6)^2/2 =1851 Па или 1,8 кПа
Собственно скоростной напор ветра Рv=1,8 кПа – это то самое давление, которое может создать разница в плотности сухо- холодного и тёпло-влажного воздуха при температуре +28С при давление насыщеных паров 3,4кПа (см. I-d диаграмму на рис.17)
Fарх =0,034*9,81*0,011*1000/22,4=0,164 Н/м
На перепаде высот в Нур=12 км для гигантского тропического урагана общее разрежение может составить величину:
Р=Fарх*Нур=0,164*12000=1968 Па = 1,96кПа
То есть мы и тут получили схождение результатов расчёта с ранее полученными значениями побудительных сил от «гравитационной тяги» восходящего потока в «термике» под кучевыми облаками.
Согласно данным Википедии, максимальное падение давления на земле в урагане составляло 0,855 атм, то есть разрежение составило около 14,5кПа.
Такое падение давление до разрежения в 14,5кПа соответствует скоростному напору ветра 155м/с или 558км/ч.
Предел измерения судового барометра составляет 900гПа или 695 мм.рт.ст.
Разрежение в 10кПа соответсвует скорсти ветра около 130м/с (468км/ч)
Боюсь даже представить масштаб такого тропического урагана, и ощущения того человека, который наблюдал этот чудовищный шторм с борта своего корабля, глядя на упавшую за край измерений стрелку судового барометра.
На большой высоте над землёй скорость потока может быть выше, чем привычные ветры у поверхности Земли.
Так существуют устойчивые воздушные течения на больших высотах, движущихся на скоростях более 100км/ч непрерывно. Их даже учитывают при планировании дальних авиарейсов.
Кстати некоторые высотные течения также формируются за счёт кориолисового ускорения, где всплывающий вверх воздух сохраняет постоянную тангенциальную скорость, но из-за увеличения радиуса теряет угловую скорость, тем самым отставая от вращения планеты.
Именно так формируется экваториальный "пассат", где тёплый влажный воздух при всплытии начинает отставать от планеты, а приземный воздух идёт к экватору с севера с уклоном вправо с меньшего на больший диаметр планеты по параллели.
Получается , что экваториальный устойчивый высотный ветер должен дуть под углом от экватора на северо-запад в северном полушарие, то есть против вращения Земли.
Истинные скорости воздуха в шнурах торнадо
Реальную скорость ветра в вихревом шнуре торнадо можно оценить по фотографиям, где видно витание твёрдых включений (предметы и пыль). (см.рис.33.)
Рис. 33. Вихревой шнур торнадо над рыхлой грунтовой поверхностью земли.
Явно видно различие скорости ветра по высоте: внизу у земли скорость ветра выше (поднимает крупные и тяжёлые фракции грунта), а наверху остаётся только мелкая пыль (мелкая пыль имеет более низкую скорость витания).
В верхнюю зону вихря пыль с земли вообще не залетает. В верхней части вихревого шнура коричневый окрас пыли сменяется на белый окрас водяного тумана.
Под облаком даже есть чёткий переход периферийного пылевого слоя на внутренний туманный шнур в зоне разрежения на оси вихря.
То есть ветер в приземных слоях вблизи центра вихря способна сорвать крышу с дома и даже поднять в воздух автомобиль или корову. Вот только при подъёме вверх скорость воздуха резко падает и предметы падают на землю в отдаление от оси торнадо.
Скоростной напор воздуха на скорости 200км/ч составляет 1,8кПа или около 180кг/м2.
То есть такой ветер может подхватить корову весом 300кг, так как её боковая проекция имеет площадь больше полутора квадратных метра.
Также торнадо может подхватить и поднять в воздух целый автоприцеп, так как он достаточно лёгкий при большой площади боковой проекции.
Автомобили чаще всего в воздух не взлетают (слишком тяжёлые), а лишь сдвигаются и переворачиваются.
Чем легче предмет и чем больше его площадь, тем выше его может поднять торнадо.
Лучше всего в торнадо летают плоские и лёгкие листы кровель. Это хорошо видно на многочисленных видеозаписях прохождения торнадо по разрушаемым постройкам из фанеры и гипсокартона в США.
По движению летящих кусков кровли можно понять направление ветра внутри торнадо, где тангенциальную составляющую мы непосредственно видим по движению крупных предметов по горизонтали, а вертикальную скорость ветра в той точке можно оценить по расчётной скорости витания данного предмета.
Круговая траектория предмета обеспечивается не только тангенциальной скоростью воздуха, но и центростремительным ускорением от радиальной скорости ветра к центру торнадо.
Так в зоне устойчивого полёта кусков фанеры внутри торнадо итоговая скорость ветра имеет сразу три составляющих, а именно: тангенциально-радиально –вертикальное направление. (см.рис.34.)
Рис.34. Направление потоков воздуха в центрах тороидальных воздушных потоков: Слева центральная зона с явным вихрем типа «Торнадо», справа восходящий безвихревой «термик».
Медленное кружение поднятых в воздух предметов хорошо отслеживается на видеосъёмках реальных торнадо (см. видео по ссылке)
https://yandex.ru/video/preview/13245478574456068831
Некоторые комментарии к видео:
1. Отчётливо видно, что на видео смерчи вращаются по часовой стрелке (если смотреть сверху), хотя вроде бы в северном полушарии Кориолисово ускорение должно было бы вращать вихрь против часовой стрелке.
Это недоразумение связано с «зеркальностью» видео, так как иначе придётся признать, что в США ездят на праворульных машинах и движение там левостороннее, а надписи на шапке и цифры на панели приборов пишутся справа налево. (тайминг 2:20-2:23)
2. В одном из фрагментов видео виден момент разрушения забора при подходе торнадо к дому. Так вот там куски забора ветер уносит горизонтально, причём не к центру вихря, а куда-то вбок. То есть можно оценить направление и скорость приземного ветра на некотором отдалении от оси торнадо.
Тоже самое горизонтальное направление ветра вблизи смерча видно по дымам из труб большого корабля на фото прохождения смерча возле порта (см.рис.35.)
Рис.35. Смерчи над морем вблизи порта. Хорошо видно направление ветра у поверхности воды по дыму из труб большого судна: ветер над водой дует вбок от направления к центру смерча, что показывает направление вращения вихря.
Скорость витания пыли и предметов
Витание песка
Для предметов различного веса и размера можно определить скорость «витания»- это скорость вертикального потока, которая будет удерживать предмет в неподвижном положении.
Также «скорость витания»- это установившаяся скорость падения предмета.
Рассчитаем «скорость витания» добычной песчинки из оксида кремния плотностью 2,5г/см3 размером 1мм (0,1см) и массой 0,0025г:
m=2,5*0,1^3=0,0025г
Скоростной напор витания составит :
Рv=m*g/S =(0,0025*0,001)*9,81/ (0,001^2) =24,5Па
Что соответствует скоростному напору от ветра 6,4м/с:
Рv=q*V^2/2 =1,2*6,4^2/2 =24,5Па.
То есть ветер более 7м/с способен поднять песок с земли вблизи препятствий, загибающих ветер вверх (край бархана).
Витание автоприцепа-дачи
Для автоприцепа-дачи массой 500кг и площадью меньшей стены 5м2 (2х2,5м) скоростной напор витания составит
Рv=m*g/S =500*9,81/ 5 =981 Па
Что соответствует скоростному напору от ветра 40,5м/с (=146км/ч):
Рv=q*V^2/2 =1,2*40,5^2/2 =984Па.
То есть автоприцеп взлети в воздух при скорости 40м/с у вертикальной составляющей ветра в торнадо.
Скорость витания капель тумана
Интересно узнать скорость витания микрокапель тумана размером в 0,01 мм, которые выпадают при конденсации паров в облаке.
Если учесть, что в тумане облака влагосодержание жидкой воды составляет около 10г/м3, то это соответствует слою воды как раз 0,01мм/м2.
Таким образом, в кубометре воздуха будет содержаться 10 миллиардов кубиков воды с гранью 0,01мм, или 10 капель на 1 мм3
Рассчитаем «скорость витания» капли тумана из воды с плотностью 1000кг/м3 размером 0,01мм и массой:
m=1000*(0,001*0,01)^3=10^-12 кг
Скоростной напор витания капли воды размером 0,01мм:
Рv=m*g/S =10^-12 *9,81/ (0,01*0,001)^2 =0,098 Па
Что соответствует скоростному напору от ветра 0,4м/с:
Рv=q*V^2/2 =1,2*0,4^2/2 =0,096Па.
То есть восходящий поток под облаком со скоростью более 0,4м/с способен удерживать мельчайшую водяную пыль из сконденсированного в облаке тумана.
Ну, а выпадение дождя начнётся при укрупнении капель или при остановке восходящего потока воздуха под облаком над остывшей землёй.
Рукотворные смерчи у двигателей самолётов
Как обычно бывает, что у гигантских природных явлений имеются маленькие рукотворные аналоги в человеческих машинах.
Так иногда рукотворные смерчи или торнадо внезапно возникают возле всасывающих сторон реактивных двигателей самолётов.
Правда, сильно закрученные вихри возникают не всегда, а только в определённых особых условиях (см.рис.36-38.)
Рис.36. Вихревой «туманный шнур» от бетона до всасывающего раструба турбины самолёта. Жалюзи реверса тяги в двигателе открыты, что приводит к возврату завихрённого потока в зону всасывания.
Рис. 37. Вихревой «туманный шнур» в сырую погоду от мокрого бетона ВПП до всасывающего раструба турбины самолёта. Самолёт прогоняет одну из турбину на стоянке с открытыми заслонками реверса тяги двигателя, а(завихрённый воздух из турбины вылетает в сторону воздухозабора двигателя.
Рис. 38. Вихревой «туманный шнур» от бетона до всасывающего раструба турбины самолёта (положения заслонок реверса не видно).
Такая закрученность вихревых шнуров на всасывание в турбину самолёта связана с исходной закрученностью входящего воздушного потока.
Предварительная закрученность потока создаётся самим двигателем, когда в зону всасывания поступает компактная несимметричная струя от выхлопного края того же двигателя.
При этом размер вихря столь мал, что Кориолисово ускорение не может влиять на формирование интенсивного вращения вихря, а направление и интенсивность вращения вихря определяется только неравномерностью поля скоростей воздуха на входе в двигатель.
То есть вихрь на всасывание в двигатель вообще может не возникнуть, если выхлопная струя из двигателя улетает назад , не возвращаясь криво закрученной струёй из решёток реверса в зону всасывания (см.рис.39-40.)
Рис.39. Практически БЕЗвихревой поток воздуха с мелкой снежной пылью от помоста до всасывающего раструба турбины самолёта на малой тяге. Реверс тяги на двигателе не включен.
Рис.40. Практически БЕЗвихревой поток воздуха с мелкой снежной пылью от покрытия ВПП до всасывающего раструба турбины самолёта.
Автор: iMonin
