Международная группа астрономов объявила об открытии новой экзопланеты класса Супер-Юпитер, получившей название NGTS-33b. Планета была обнаружена в рамках проекта Next Generation Transit Survey (NGTS), который использует массив роботизированных телескопов в обсерватории Паранал в Чили для поиска экзопланет методом транзитной фотометрии.
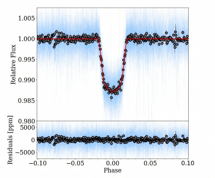
NGTS-33b расположена примерно в 1430 световых годах от Земли и обращается вокруг быстро вращающейся массивной горячей звезды NGTS-33. Согласно оценкам, планета почти в четыре раза массивнее Юпитера и имеет радиус около 1,64 радиусов Юпитера, что дает ей плотность на уровне 0,19 г/см3. NGTS-33b совершает оборот вокруг своей звезды каждые 2,82 дня на расстоянии 0,048 а.е., а её температура оценивается в 1991 К.
Уникальность NGTS-33b заключается в её низкой плотности, которая на 13% меньше ожидаемой по сравнению с транзитными горячими юпитерами с аналогичными массами. Модели планетарной структуры показывают, что радиус этой планеты, вероятно, увеличен до 15%.
Звезда-хозяин NGTS-33 имеет спектральный тип A9V, радиус около 1,47 солнечных радиусов и примерно на 60% массивнее Солнца. Период вращения звезды составляет 0,66 дня, а её эффективная температура составляет 7437 К. Возраст NGTS-33 оценивается в 10–50 миллионов лет.

Источник: Alves et al., 2024.
Открытие NGTS-33b существенно пополнит небольшую, но растущую популяцию массивных транзитных горячих юпитеров, вращающихся вокруг горячих звёзд. «Открытие NGTS-33b поможет наложить дополнительные ограничения на текущие модели формирования и эволюции таких планетных систем», — заключили авторы статьи.
Это открытие демонстрирует возможности проекта NGTS в обнаружении экзопланет различных классов и размеров, что способствует лучшему пониманию формирования и эволюции планетных систем во Вселенной.

