В этой статье дана инструкция для выполнения фазовой синхронизации в FMComms5 от Analog Devices и реализации метода пеленгации, использующего эту функцию. Оценочная плата FMComms5 обеспечивает высокую точность фазовой синхронизации. В этой статье рассказывается, как выровнять фазы двух приемопередатчиков AD9361 с помощью специальной программной библиотеки libad9361, созданной на основе инфраструктуры ввода-вывода libiio. Фазовое выравнивание необходимо для многих радиолокационных систем, таких как пеленгаторы и когерентные системы MIMO.
Исходный код GNURadio, на котором основан этот пример, был изначально разработан доктором Шрикантом Пагадараи и доктором Трэвисом Коллинзом при финансовой поддержке компании Ettus Research [1]. Недавно доктор Коллинз портировал его на платформу FMComms5, добавив документацию. В настоящее время код доступен по адресу github.com/tfcollins/gr-doa в ветке adi. Этот код распространяется по лицензии GPL3. Реализация на FMComms5 обеспечивает такую же производительность, как и предыдущая работа [1]. Технический документ из [1] также был дополнен авторами оригинальной статьи информацией о FMComms5 и стратегии его внедрения.
Мотивация
В отличие от многих существующих на рынке SDR-решений, предлагающих несколько когерентных приемных или передающих каналов, решения FMComms5 обеспечивают истинное фазовое выравнивание всех радиочастотных каналов без необходимости в дополнительном оборудовании. Поскольку на самой плате используется один генератор, после выравнивания каналов они остаются синхронизированными с течением времени. Это делает FMComms5 идеальным решением для разработки радаров и систем MIMO.
Эта платформа также демонстрирует, как можно синхронизировать несколько приемопередатчиков AD9361, если для собственного аппаратного решения требуется больше каналов. Для удобства Analog Devices предоставляет полную схему и разводку платы FMComms5, чтобы помочь реализовать собственные проекты. Они доступны в разделе «Оборудование» на вики-странице FMComms5 от Analog Devices [2].
Выравнивание фаз
В оценочной плате FMComms5 используются два приемопередатчика AD9361, образующие систему 4x4, в которой все приемники и передатчики синхронизированы по фазе. Для этого не требуются внешние кабели или разветвители, поскольку плата FMComms5 оснащена радиочастотными переключателями, обеспечивающими согласованную по фазе аналоговую обратную связь между приемопередатчиками. Поскольку каждый отдельный AD9361 содержит два приемопередатчика, которые используют общий гетеродин (LO) с согласованной длиной волны, фазовую калибровку необходимо выполнять только между отдельными микросхемами.
С точки зрения аппаратного обеспечения, для такого согласования на оценочной плате FMComms5 предусмотрены три уникальные конструктивные особенности. Во-первых, все дорожки, ведущие к внешним разъемам SMA, имеют одинаковую длину на всех каналах. Это очевидно, если посмотреть на расположение приемопередатчиков AD9361 на рисунке 1. Во-вторых, широкополосные радиочастотные переключатели ADG918 (-3 дБ при 4 ГГц) расположены между приемопередатчиками, длина дорожек к которым и от которых также одинакова. Таким образом, мы можем передавать сигналы с одной микросхемы на другую, переключая состояния коммутатора. Эти состояния и соответствующие им входные и выходные параметры приведены в таблице 1. Сам переключатель подключен к выводам GPIO на ПЛИС, что обеспечивает простоту программирования.
Таблица 1. Сопоставление состояний радиочастотного переключателя FMComms5.
|
Output/Input |
RX Chip 1 |
RX Chip 2 |
|
TX Chip 1 |
1 |
3 |
|
TX Chip 2 |
2 |
4 |
Весь процесс программного управления осуществляется с помощью вызова функции из библиотеки libad9361. Она доступна по адресу github.com/analogdevicesinc/libad9361-iio. Поскольку калибровка фазового сдвига действительна только для определенных настроек гетеродина и частоты дискретизации, эти параметры необходимы для процедуры калибровки. При сохранении этих настроек калибровку достаточно выполнить один раз.
В процессе фазовой синхронизации сама ПЛИС используется в качестве эталонного механизма между микросхемами, поскольку она получает потоки данных от обоих микросхем. Первый этап процедуры — синхронизация моментов выборки данных с помощью вызова функции ad9361 fmcomms5 multichip sync. Это приводит к тому, что микросхема B синхронизируется с микросхемой A, а выборки, передаваемые на ПЛИС, происходят в одни и те же моменты времени. На этом этапе каналы по сути когерентны на уровне основной полосы частот, но не синхронизированы по фазе на уровне радиочастот.
Для окончательного выравнивания требуется выполнить три этапа, которые происходят в функции фазовой синхронизации ad9361 fmcomms5 и наглядно показаны на рисунках 2, 3 и 4. На первом этапе мы возвращаем сигнал с передатчика микросхемы A обратно в микросхему A по каналу 1. На втором канале микросхемы A мы выполняем цифровую обратную связь, которая служит общим эталоном. Обратите внимание, что этот канал назначен с точки зрения ПЛИС, и мы можем настроить его на чисто цифровую или аналоговую обратную связь. В этом процессе используются цифровые синтезаторы сигналов на передатчике, фазами которых можно легко управлять программно. Разница между первым каналом (аналоговая обратная связь) и вторым каналом (цифровая обратная связь) измеряется с помощью усреднения мгновенных значений их фаз. Эта разница используется для управления фазой прямого цифрового синтеза до тех пор, пока она не станет равна нулю. Затем это обратное вращение можно применить к приемникам микросхемы A.
Затем мы переключаем радиочастотный коммутатор на обратную связь по сигналу DDS, передаваемому через канал 1 микросхемы B, как показано на рисунке 3. Затем мы выполняем те же действия, изменяя фазу DDS аналогового канала относительно цифровой обратной связи. Обратите внимание, что цифровая обратная связь по любому из принимающих каналов будет идентичной, поскольку они синхронизированы с помощью функции синхронизации микросхемы ad9361 fmcomms5, а мы работаем только с цифровым доменом.
Последний шаг — синхронизация передатчиков между микросхемой A и микросхемой B. Для этого нужно повторить шаг 1, но на микросхеме B. Как показано на рисунке 4, мы подключаем передатчик чипа B к самому себе, а затем с помощью фазы DDS на канале 1 сводим к нулю разницу между цифровым и аналоговым эталонами.
После завершения настройки все передатчики будут синхронизированы по фазе, как и все приемники. С помощью внешнего делителя мощности и кабелей одинаковой длины мы можем наблюдать за передаваемой синусоидой, полностью синхронизированной, как на рисунке 5.
Выходной сигнал FMComms5 с компенсированными относительными фазовыми сдвигами можно увидеть, запустив в каталоге приложений блок-схему view_FMComms5_op_with_corrected_phase_offsets.grc. Убедитесь, что выбранные параметры совпадают с теми, которые использовались для измерения сдвигов. Обратите внимание, что отображение на осциллографе похоже на то, что показано на рисунке 5. Точность компенсации фазового сдвига также можно сохранить в числовом формате, выполнив расчет точности фазовой синхронизации FMComms5 с помощью блок-схемы calculate_FMComms5_phase_sync_accuracy.grc.
Следует отметить, что эта калибровка действительна только для определенного выбора центральной частоты и частоты дискретизации. При изменении этих рабочих параметров этап измерения и коррекции фазового сдвига необходимо повторить. В результате этой калибровки относительные фазовые сдвиги, наблюдаемые между четырьмя потоками при приеме сигналов антенной решеткой, будут зависеть только от структуры решетки. Любое разработанное пользователем приложение для обработки сигналов, требующее точной фазовой синхронизации между приемными каналами, должно включать этот этап компенсации в качестве первого этапа обработки. Чтобы продемонстрировать, как это работает, показаны два алгоритма определения направления прихода сигнала (DoA) в действии.
Подпространства сигналов и шумов
Сначала мы рассмотрим краткий теоретический обзор сигнальных и шумовых подпространств. Методы подпространств широко используются для определения направления прихода сигнала и основаны на использовании ортогональности сигнальных и шумовых подпространств. Подробную информацию можно найти в [3]. Предположим, что антенная решетка состоит из N изотропных датчиков, расположенных в точках pn, где n ∈ {0, 1, ..., N − 1}. Предположим, что x(t) — это сигнал, принимаемый антенной решёткой, который состоит из D направленных плосковолновых процессов и белого шума. То есть
где v(k) — вектор многообразия массива,
вычисляется для конкретного волнового числа 1 , kd, связанного с d-й целью. Предположим, что ḟd(t) для d = 1, 2, . . . , D ограничена полосой пропускания W, и мы делаем выборку x(t) каждые 1/W секунды, чтобы получить модель в дискретной области времени. Обозначив выборки как x(k) для k = 1, 2, . . . , K, мы можем записать корреляционную матрицу входных потоков следующим образом:
1 Волновое число k для плоской волны:
где u — вектор направляющих косинусов.
На практике мы строим выборочную корреляционную матрицу в качестве оценки истинной автокорреляционной матрицы. Метод построения выборочной корреляционной матрицы влияет на эффективность оценки направления прихода сигнала. Один из подходов к построению выборочной корреляционной матрицы заключается в том, чтобы на каждом временном срезе собрать выборку из N элементов массива в вектор x(k) размером N × 1 и выполнить следующую операцию:
где K — количество временных срезов. Альтернативный способ вычисления этой выборочной корреляционной матрицы — собрать выборки из нескольких временных срезов в матрицу Xk размером N × K и выполнить следующую операцию:
Утверждалось, что дополнительный этап усреднения методом прямого и обратного хода при определении выборочной корреляционной матрицы позволит повысить эффективность оценки направления прихода сигнала [3]. Его можно описать следующим образом:
где J — квадратная матрица отражения размером N × N, элементы которой на главной диагонали равны единице, а все остальные элементы равны нулю. Аналогично (2) мы можем записать выборочную корреляционную матрицу следующим образом:
Важное допущение, лежащее в основе методов определения направления прихода сигнала, заключается в том, что никакие два из D сигналов не являются когерентными, то есть матрица Rf положительно определена. В формулах (2) и (6) мы определили матрицу многообразия массива, V2 размером N × D, следующим образом:
2Для однородной линейной антенной решетки предположим, что элементы антенны расположены следующим образом:
n = 0, 1, ... N-1. Мы можем показать, что
где kz = −2π/λ*cos(θ). Также полезно ввести обозначение ψ = −kzd.
Столбцы матрицы V образуют D-мерное подпространство, содержащее всю энергию сигнала. Мы можем получить ортогональный базис этого подпространства {Φd} для d = 1, 2, . . . , D следующим образом. Прежде всего нужно понять, что Φd — это линейное преобразование, Φd = Vcd для некоторого вектора cd размером D × 1. Теперь рассмотрим разложение по собственным значениям ( EVD ) первого члена в (6):
Приведенное выше условие выполняется для D решений:
То есть мы выполняем метод EVD для RfVHV. Соответствующие собственные векторы cd используются для получения ортогонального базиса {Φd} для d = 1, 2, . . . , D. Теперь мы можем сформировать матрицу размером N × D,
Пространство сигналов US называется сигнальным подпространством. С другой стороны, согласно (6), мы видим, что шумовая составляющая охватывает все N-мерное пространство. Следовательно, для ее представления нам нужны (N – D) дополнительных ортогональных векторов. Этому требованию соответствует любой произвольный набор векторов, ортогональных друг другу и ортогональных US. Теперь сформируем матрицу размером N × (N – D),
Пространство значений UN называется пространством шума. Подводя итог, можно сказать, что
где,
В качестве альтернативы можно определить диагональную матрицу D × D, ΛS := diag [λ1, λ2, . . . , λD], и диагональную матрицу (N − D) × (N − D), ΛN = σ^2wI. Тогда можно записать:
Идея отделения сигнального подпространства от ортогонального ему подпространства шума лежит в основе многих методов обработки массивов данных.
Алгоритмы MUSIC и Root-MUSIC
Рассмотренный нами подход лежит в основе нескольких методов, основанных на подпространствах. Один из самых ранних алгоритмов семейства методов подпространств для определения направления прихода сигнала — это метод множественной классификации сигналов (Multiple Signal Classification, MUSIC). Для применения MUSIC необходимо выполнение следующих условий: (1) принимаемый сигнал является узкополосным, (2) принимаемый сигнал состоит из D сигналов плоской волны и некоррелированного шума, (3) известно количество сигналов плоской волны D, (4) количество элементов антенны N не меньше D + 1. Краткое описание алгоритма MUSIC для линейных массивов выглядит следующим образом:
Алгоритм MUSIC:
-
Постройте выборочную корреляционную матрицу Cx.
-
Определите UN, шумовое подпространство, с помощью метода собственных значений (EVD).
-
для 0 ≤ θ ≤ π (или, − 2πd/λ ≤ ψ ≤ 2πd/λ ) выполняйте:
-
Сгенерируйте соответствующий вектор многообразия массива, v(ψ).
-
Вычислите нулевой спектр,
Q(ψ) := ||vH(ψ)UN||2 = vH(ψ)UNUHNv(ψ).
-
-
Выберите D минимумов функции Q(ψ). Соответствующие значения ψ — это D углов прихода.
Из строки 3.2 приведенного выше алгоритма видно, что, когда ψ равен истинному углу прихода сигнала, Q(ψ) равно нулю, поскольку v(ψ) будет базисным вектором сигнального подпространства и, следовательно, будет ортогонально подпространству шума. На этом принципе основан алгоритм MUSIC. Для наглядности принято отображать 1/Q(ψ), так называемый псевдоспектр.
Root MUSIC — это упрощенный вариант алгоритма MUSIC, который предполагает поиск корней полинома вместо построения псевдоспектра по всем значениям полярного угла θ и поиска пиков. Рассмотрим линейный массив, вектор многообразия которого записывается как,
Эквивалентное представление со сдвигом фазы выглядит так:
В этом легко убедиться, v(z)|z=e^(jψ) = e j((N−1)/2)ψv(ψ). Теперь рассмотрим полиномиальное представление нулевого спектра:
В (а) мы определили «квадрат» матрицы UN как U2N := UNUHN. В (б) для l > 0 ul — это сумма элементов вдоль l-й super-diagonal, а для l < 0 ul — это сумма элементов вдоль l-й поддиагонали. Очевидно, что U2N — эрмитова неотрицательно определённая матрица, и верно соотношение ul = u∗−l . Благодаря этому результату нам нужно вычислить только N – 1 коэффициент полинома. Обратите внимание, что построение нулевого спектра Q(ψ) и выбор D минимумов эквивалентны нахождению D из 2(N – 1) корней Q(z), лежащих на единичной окружности. На практике из-за наличия шума корни не обязательно будут находиться на единичной окружности. Поэтому мы выбираем корни D, которые находятся внутри единичной окружности и ближе всего к ней. Теперь мы можем описать метод Root-MUSIC следующим образом:
Алгоритм Root MUSIC:
-
Постройте выборочную корреляционную матрицу Cx.
-
Определите UN2 , «квадрат» шумового подпространства из Cx, используя метод разложения по собственным значениям (EVD).
-
Найдите корни многочлена Q(z) = Σulzl Для l > 0 ul — это сумма элементов UN2 вдоль l-й super-diagonal, а для l < 0 ul — это сумма элементов UN2 вдоль l-й поддиагонали.
-
Выберите D корней {zd} для d = 1, 2, . . . , D, которые находятся внутри единичного круга и ближе всего к нему расположены.
-
Получите {θd} для d = 1, 2, ..., D, используя соотношение,
Следует отметить, что, в отличие от алгоритма MUSIC, Root-MUSIC не подходит для произвольной геометрии антенных решеток. Следовательно, текущая реализация Root-MUSIC в gr-doa поддерживает только линейную геометрию антенных решеток.
Примеры моделирования
В каталоге @doa_testbench в gr-doa/examples доступен тестовый стенд для моделирования на основе GNU Octave, в котором реализован алгоритм MUSIC для определения направления прихода сигнала. Чтобы просмотреть список аргументов, необходимых для создания тестового стенда для моделирования, откройте Octave и в командной строке введите help doa_testbench_create. Чтобы продемонстрировать оценку направления прихода сигнала с помощью алгоритма MUSIC для линейных решеток, запустите скрипт estimate_doa_MUSIC_linear_array.m. На рисунке 6 показан псевдоспектр для имитации ситуации, когда цели находятся под углами 30° и 125°. Графики моделирования с использованием блоков, разработанных с помощью фреймворка GNU Radio для реализации алгоритма MUSIC, доступны в gr-doa/apps.
Стенд для моделирования на основе GNU Octave, doa_testbench, также содержит реализацию алгоритма Root-MUSIC для определения направления прихода сигнала. Чтобы запустить пример моделирования, демонстрирующий определение направления прихода сигнала с помощью алгоритма Root-MUSIC для линейных антенных решеток, запустите скрипт estimate_doa_RootMUSIC_linear_array.m. Поскольку алгоритм Root-MUSIC генерирует корни многочлена, у него нет визуального представления. Однако при запуске потокового графа моделирования gr-doa/apps/run_RootMUSIC_lin_array_simulation.grc на графике можно увидеть полученные корни полинома.
Физические эксперименты
Теперь мы обсудим методологию оценки направления прихода сигнала с помощью блоков, разработанных на основе фреймворка GNU Radio. В дополнение к списку пунктов, указанных ранее, нам также потребуется:
-
4 монопольные антенны (или другие антенны на ваш выбор, которые обеспечивают хорошее соотношение усиления и фазы в выбранном вами диапазоне частот).
-
(опционально) Антенная решетка с изменяемым расстоянием между антенными элементами и 4 кабелями SMA-M — SMA-M одинаковой длины для подключения антенн, закрепленных на держателе, к плате SDR.
ПРИМЕЧАНИЕ. Настоятельно рекомендуется, чтобы расстояние между антенными элементами составляло половину длины волны или меньше, в зависимости от центральной частоты сигнала. Расположение антенных элементов на большем расстоянии приводит к эффекту наложения спектров и снижает разрешающую способность алгоритмов DoA по углу.
Расположите передатчик на некотором расстоянии от антенной решетки приемника в дальней зоне. Обратите внимание на ожидаемый геометрический угол. На этом этапе мы предполагаем, что пользователь уже провел измерение и коррекцию относительного фазового сдвига, как описано выше. На главном компьютере, подключенном к передатчику, перейдите в каталог gr-doa/apps и откройте блок-схему с названием run_DoA_transmitter.grc. Определяемые пользователем переменные содержатся в структурной переменной input_variables. Здесь выберите подходящие значения для таких параметров, как частота тона, частота дискретизации, центральная частота, IP-адрес устройства и коэффициент усиления передатчика.
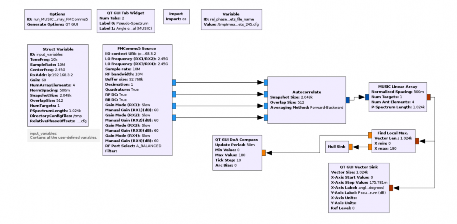
Теперь, предположив, что для оценки DoA используется линейная антенная решётка, перейдите в каталог gr-doa/apps на хост-компьютере, подключённом к приёмнику, и откройте блок-схему под названием run_MUSIC_lin_array_FMComms5.grc. Снова выберите соответствующие значения для IP-адреса приёмника, коэффициента усиления приёмника, количества элементов антенной решётки, нормализованного расстояния между элементами антенны и т. д. Убедитесь, что такие параметры, как тональная частота, частота дискретизации и центральная частота, совпадают с теми, что были выбраны на передатчике. Убедитесь, что в блоке «Коррекция фазы» выбран правильный файл конфигурации для коррекции фазового сдвига. Скриншот этой блок-схемы показан на рисунке 7. Запустите эту блок-схему, чтобы оценить эффективность определения направления прихода сигнала с помощью линейного массива.
Теперь мы обсудим результаты оценки направления прихода сигнала с помощью упомянутой выше блок-схемы. Эксперименты проводились в безэховой камере примерно следующих размеров: 3 м (длина) × 2 м (ширина) × 3 м (высота). Мы провели этот эксперимент при различных положениях передатчика относительно приемника. На рисунке 8 показана эффективность алгоритма MUSIC с точки зрения псевдоспектра для четырех направлений прихода сигнала. Несмотря на то, что мы проводили измерения в достаточно контролируемой среде, как показано на этом рисунке, иногда мы наблюдали сильные вторичные пики, которые, тем не менее, были слабее пика, соответствующего истинному направлению прихода сигнала. В этих экспериментах расстояние между элементами антенны составляло 1 дюйм, а центральная частота была подобрана таким образом, чтобы это расстояние соответствовало половине длины волны несущей. Выбранная частота дискретизации составляла 1 МС/с .
Влияние калибровки антенны на оценку направления прихода сигнала
Как видно на рисунке 8, несмотря на то, что эксперименты проводились в относительно идеальных условиях, отношение сигнал/шум в псевдоспектре довольно низкое. Хотя коррекция относительного фазового сдвига между приемными потоками является одним из аспектов общего процесса калибровки, в этом разделе мы покажем, что калибровка коэффициентов усиления и фаз антенных элементов также дает заметный эффект. Для этого мы кратко опишем подход, описанный в [4].
Предположим, что Γ := diag{1, α1e −jθ1 , . . . , αN−1e −jθN−1 } представляет собой диагональную матрицу, состоящую из неоднородных коэффициентов усиления и фаз антенн, расположенных вдоль главной диагонали. Можно показать, что этот эффект можно зафиксировать, обновив (6), как показано ниже:
Теперь, если взять EVD от Cx, получится:
где ES обозначает матрицу собственных векторов Cx, связанных с сигнальным подпространством, образованным Γ V. Таким образом, набор решений для коэффициентов усиления, фаз и направлений прихода сигналов ограничен следующим образом:
Эквивалентно,
Если обозначить Vd = diag(v(kd)) и γ = [1, α1e −jθ1 , . . . , αN−1e −jθN−1 ]T , то приведенное выше уравнение примет следующий вид:
Поскольку Vd — это диагональная матрица, полностью состоящая из вектора многообразия массивов, она также является унитарной. Следовательно,
Таким образом, если мы выполним метод собственных векторов и собственных значений для матрицы VdHESEHS Vd, то собственный вектор, соответствующий значению, равному единице, будет являться вектором коэффициентов антенны. Обратите внимание, что нам необходимо точно знать Vd для D пилотных целей с известными азимутами. Стандартная практика — установить один пилотный передатчик и откалибровать коэффициенты антенны по его азимуту.
Чтобы увидеть результат калибровки антенны, сначала перейдите в каталог gr-doa/apps и откройте блок-схему под названием calibrate_lin_array_FMComms5.grc. Выберите подходящие значения для параметров во входных переменных. Скриншот этой блок-схемы показан на рисунке 9. Расположите передатчик под известным углом и запустите эту блок-схему для калибровки антенной решетки. Затем выполните блок-схему run_MUSIC_calib_lin_array_FMComms5.grc, чтобы увидеть, как улучшились оценки направления прихода сигнала, полученные с помощью алгоритма MUSIC. На рисунке 10 приведены некоторые примеры результатов этой реализации. Мы заметили не только улучшение отношения сигнал/шум в псевдоспектре и общее повышение резкости пика в районе истинного направления прихода сигнала, но и явное смещение пика в сторону истинного направления прихода сигнала. Общее улучшение качества оценки показано на рисунке 11. Пунктирными линиями на этом рисунке обозначена нижняя граница Крамера — Рао, приведенная в [5].
Контрольные тесты
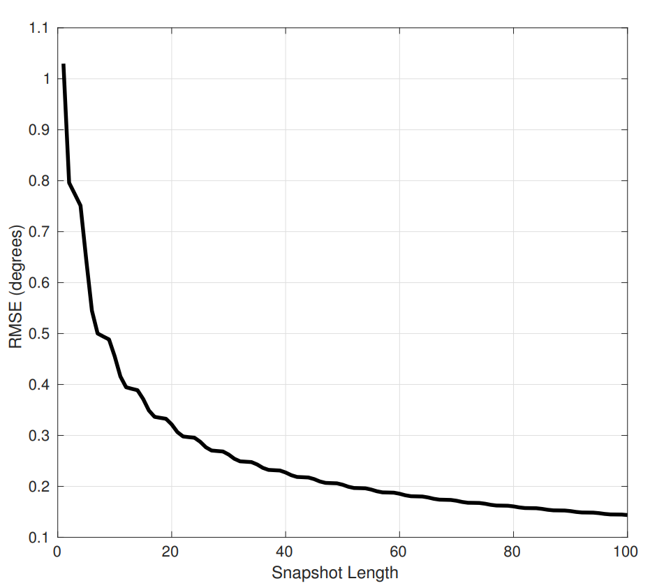
Чтобы определить максимальную скорость передачи данных с X310 на хост-компьютер для реализации алгоритма определения местоположения, мы сначала провели предварительное моделирование, чтобы понять, как параметр «Snapshot Size» влияет на точность оценки. Как показано на рисунке 12, среднеквадратическая ошибка (RMSE) постепенно снижается с увеличением Snapshot Size. В связи с этим нам рекомендовали использовать достаточно большое значение этого параметра, чтобы не только добиться приемлемого эффекта пространственного усреднения при вычислении выборочной матрицы автокорреляции, но и снизить среднеквадратическую ошибку при оценке направления прихода сигнала.
Основная причина, по которой мы уделяем особое внимание блоку автокорреляции и используем его производительность в качестве показателя максимальной общей скорости, заключается в том, что он требует больших вычислительных ресурсов. Кроме того, все остальные операции выполняются ниже по потоку от этого блока преобразования частоты, за исключением блока коррекции фазы. Таким образом, этот блок является ограничивающим фактором для всех практических целей. Другими словами, можно утверждать, что один из последующих блоков, например MUSIC, может работать медленнее, чем Autocorrelate, при меньшем Snapshot Size и, следовательно, когда в выходном буфере блока автокорреляции появляется больше элементов, уменьшение Snapshot Size не позволяет точно определить направление прихода сигнала, как показано на рисунке 12.
В наших экспериментах в качестве хост-компьютера для оценки DoA использовались как ноутбук, так и настольный компьютер. Ноутбук имел 8 ядер с тактовой частотой 1,87 ГГц, а настольный компьютер — 48 ядер с тактовой частотой 2,6 ГГц. Подключив ноутбук к SDR через интерфейс 1-гигабитного Ethernet, мы смогли работать с максимально возможной скоростью — 6,25 млн выборок в секунду на поток — без переполнения буфера, за исключением выборок размером 32 и менее. При использовании настольного компьютера в качестве хост-компьютера и интерфейса 1-гигабитного Ethernet мы также достигли максимально возможной скорости — 6,25 млн выборок в секунду на поток — при меньших размерах выборок.
Заключение
В этой статье рассматривается функция фазовой синхронизации, доступная при использовании оценочной платы FMComms5. С помощью простой процедуры калибровки показано, как измерить и сохранить фиксированные повторяющиеся относительные фазовые сдвиги. Любое пользовательское программное обеспечение, работающее на хост-компьютере и требующее точной фазовой синхронизации, должно включать в себя этап коррекции фазового сдвига, как продемонстрировано на примере оценки направления прихода сигнала с помощью метода MUSIC. Приведенные результаты физического эксперимента показывают, каких показателей удалось достичь в лаборатории.
Ссылки
Литература
[1] Srikanth Pagadarai, Travis Collins, Neel Pandeya Phase Synchronization Capability of TwinRX Daughterboards and DoA Estimation. Available from World Wide Web: (https://github.com/tfcollins/gr-doa/blob/master/docs/whitepaper/doa_whitepaper.pdf).
[2] Analog Devices Inc. AD-FMCOMMS5-EBZ Hardware. Available from World Wide Web: (https://wiki.analog.com/resources/eval/user-guides/ad-fmcomms5-ebz/ hardware).
[3] Harry L. Van Trees, ”Optimum Array Processing: Part IV of Detection, Estimation, and Modulation Theory”, Wiley-Interscience, New York, 2002.
[4] V. C. Soon, L. Tong, Y. F. Huang and R. Liu, ”A Subspace Method for Estimating Sensor Gains and Phases,” in IEEE Transactions on Signal Processing, vol. 42, no. 4, pp. 973-976, Apr 1994.
[5] P. Stoica and A. Nehorai, ”MUSIC, Maximum Likelihood, and Cramer-Rao Bound,” in IEEE Transactions on Acoustics, Speech, and Signal Processing, vol. 37, no. 5, pp. 720-741, May 1989.
Автор: nevada_1910L_05
