Приветствие
Здравствуй, Хабр, сейчас идёт шестой год моего обучения в Бауманке. И за это время в моей жизни появилось достаточное количество инструментов, о которых хотелось бы узнать на первом курсе. Именно инструментов, а не подходов к учёбе, источников мотивации и лайфхаков.
Что за инструменты и зачем они нужны?
В основном это технологии, программы и источники данных. Где стоит писать конспекты, статьи, откуда брать информацию для научных работ. В данном случае я могу апеллировать только к собственному опыту и ощущениям, однако теперь у меня уходит куда меньше сил для сдачи более тяжёлого экзамена, чем раньше для лёгкого.
Смена концепции
Думаю, из вступления стало понятно, что статья предназначена для студентов начальных курсов, у которых ещё мало своего опыта, а представление об учёбе складываются из жизни в школе и рассказов старшего поколения. Незыблемым в этом устройстве мира является тетрадь. Вся работа в ней. Всё от руки. Все в обложках. А так ли она Вам нужна сейчас, эта тетрадь?
В первые две недели универа Вас хотя бы раз попросят скинуть конспект, или же тетрадь будет забыта дома, а лекция окажется на листочках. Очень неудобное место для хранения важной информации в современном мире. Что будем делать? Оцифровывать? Идея хорошая, но можно писать сразу на компьютере, подключив облако, чтобы конспекты моментально оказывались на разных компах. Так ещё можно предоставить доступ к облаку друзьям, и они найдут в любой момент всё, что им нужно. Конспект можно будет открыть
Без пафоса. Отказываться от тетради и ручки никто не собирается. Ими решаются конкретные задачи, а для всего остального используется компьютер. У Вас не получится печатать длинные формулы быстрее, чем писать их от руки. В остальном рукописи теряют свою актуальность, уступая в долговечности, модифицируемости и скорости доступа.
Ваша личная Википедия
Учебный материал имеет свойство повторяться, часто спрашивают о том, что было семестр или два назад. Вспомнить бывает тяжко. Что сдано, то забыто.
Допустим, что Вы согласились хранить конспекты на компьютере, в надежде найти нужный файл через два года. Но как? Рассовать по всё папкам или свалить в кучу, добавив теги? Лучший вариант предлагает Obsidian:
-
Ссылки на заметки внутри статьи. Чтобы просматривать вспомогательную тему внутри основной.

-
Графовое представление. Чтобы увидеть кластера связанных друг с другом заметок.

-
Редактор формул, таблиц, листинг кода с подсветкой синтаксиса.

-
Множество расширений.

Обсидиан является универсальным хранилищем данных, которое Вы можете настроить под свои задачи и предпочтения. Расширять и переносить. Находить за пару секунд заметки и составлять между ними связи.
Markdown
Это язык разметки, используемый в Obsidian и README файлах на гитхабе. Упрощённый вариант работы текстом, его структурой и оформлением. Здесь заголовок задаётся сочетанием решёток, а жирный шрифт звёздочками. И так везде.


Удобно для быстрого редактирования заметок, но слабо подходит для написания отчётов к лабам, НИРСов и прочих курсачей. Для этого есть...
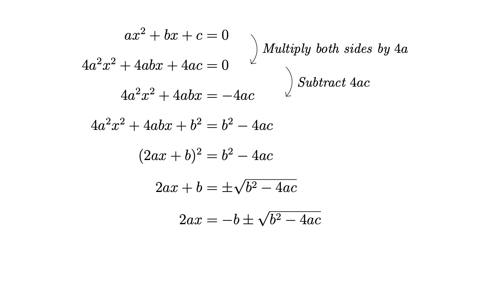
LaTeX
Тоже вёрстка, но уже для сложных документов с шаблонами, автособираемым списком литературы и оглавлением, и т.д. Работа в LaTeX обычно выглядит вот так:

Долгая и кропотливая работа, но результат оправдывает себя моментально. Ах да, ещё формулы можно легко набирать:

От его синтаксиса может быть страшно, но Вы просто гуглите, что надо, вставляет в свой документ и забываете. Чаще всего будет возникать потребность в наборе формул. Тут алгоритм точно такой же. Постепенно самое важное само запомнится.
ChatGPT
О нём Вы и без меня знаете, но тут хотелось бы предостеречь. Используйте его только для того, чтобы разобраться в теме. Иначе он будет не помогать, а заменять Вас. Одна конкретная выполненная работа ничего не значит, но их совокупность создаёт специалиста, способного решать задачи, принимать решения и видеть глубинные связи. Не лишайте себя этого.
Google scholar
Прекрасный ресурс для поиска научных статей для ознакомления и цитирования в собственных работах.

Итог
Цель данной публикации в том, чтобы показать удобные на мой взгляд инструменты и новые концепции. Здесь нету ссылок на проекты, потому что хотелось уведомить о существовании подобных идей. Заставить самостоятельно искать варианты, которые подойдут именно Вам.
Прошу прощения за ошибки и удачи на пути!
Автор: makornobbe
