
Принято считать, что законы точных наук, таких как физика, непоколебимы. И это конечно же верно, однако есть явления, которые начинают вызывать сомнения в стойкости этих законов или, по крайней мере, в том, что мы знаем их все. Ученые из Центра им. Гельмгольца Дрезден-Россендорф (Германия) обнаружили, что размещение зеленого кристалла атакамита, который можно найти в чилийской пустыне Атакама, в магнитное поле вызывает резкое и внушительное падение его температуры. Что именно происходит во время такого нестандартного охлаждения, какую роль в этом играет структура кристалла, и как полученные знания могут быть применены на практике? Ответы на эти вопросы мы найдем в докладе ученых.
Основа исследования
Фрустрированные квантовые магнетики по своей природе характеризуются сильно вырожденными основными магнитными состояниями. Эти состояния чувствительны к воздействию приложенного давления или внешнего магнитного поля, что может привести к изменению эффективной размерности лежащей в основе спиновой системы. Такое управление может вызывать квантовые фазовые переходы от антиферромагнитного состояния к квантовому парамагнитному или наоборот. Возникающие при таком изменении основных состояний квантовые критические точки (QCP от quantum critical point) представляют собой особые точки в соответствующих диаграммах фазовых состояний: они сопровождаются выраженными ландшафтами энтропии и квантово-критическим масштабированием термодинамических величин. В случае индуцированной полем квантовой критической точки возможны значительные изменения температуры при адиабатическом намагничивании. Это делает фрустрированные квантовые магниты потенциальными кандидатами для использования в современных устройствах охлаждения. В настоящее время, однако, существует значительный недостаток знаний, особенно в отношении явления снижения размерности в фрустрированном магнетизме как ключевого элемента квантовой критичности.
Дополнительный аспект проявляется при реализации низкоразмерных квантовых магнитов в реальных материалах. Анизотропное орбитальное расположение магнитных и немагнитных ионов в кристалле может приводить к формированию магнитной системы с топологией взаимодействий, которая эффективно имеет более низкую размерность, чем трехмерная кристаллическая структура. В таких низкоразмерных магнитах магнитное поведение на низкой энергетической шкале определяется слабыми остаточными обменными взаимодействиями, и при низких температурах может возникать дальний порядок. Это явно отличает реальные магниты от их строго низкоразмерных модельных аналогов, изучаемых теоретически. В такой ситуации, чтобы подтвердить наличие квантовой критичности и изменений эффективной размерности спиновой системы в реальных материалах, требуется обширный комплекс макроскопических и микроскопических экспериментов, а также сопутствующие теоретические исследования. В рассматриваемом нами сегодня труде описано такое комбинированное исследование, раскрывающее уникальное квантовое спиновое поведение в соединении с пиловидной цепочкой, связанное с появлением квантовой критической точки (QCP). В данном случае это рассматривается как особая форма снижения размерности, когда преодолевается энергетическая шкала трехмерных остаточных связей.
В качестве объекта исследования была выбрана антиферромагнитная (AFM от antiferromagnetic) цепочка с пиловидной структурой, или дельта-цепь — фундаментальная модель в одномерном (1D) фрустрированном квантовом магнетизме, которая теоретически изучается уже на протяжении нескольких десятилетий. Она описывается гамильтонианом:

где Si — оператор спина-½ на узле i. Обменное взаимодействие J соединяет соседние спины вдоль базальной линии цепочки, тогда как J' — это обменное взаимодействие между базальными (нечетные i) и апикальными (четные i) спинами (1a). Термин −h∑iSiz учитывает наличие магнитного поля с зеемановской энергией h=gμBμ0H.
Наиболее примечательно то, что наличие плоских магнонных зон в энергетическом спектре данной модели привело к предсказанию ряда экзотических эффектов в магнитном поле, таких как плато намагниченности, макроскопические скачки намагниченности и новые магнитоэлектрические эффекты. Кроме того, теорией предсказан выраженный магнито-калорический эффект (MCE от magnetocaloric effect) вблизи поля полной поляризации.

Изображение №1
В данном исследовании представлен уникальный случай фрустрированной квантовой спиновой системы — атакамит Cu2Cl(OH)3. Недавно ученые установили, что это соединение реализует структуру пиловидной цепочки с малым отношением обменных констант J'/J ∼ 1/3 и слабыми остаточными межцепными взаимодействиями, которые приводят к антиферромагнитному дальнему порядку ниже температуры TN = 8.9 K. Используя термодинамические и микроскопические методы при высоких магнитных полях до 58 Т, было показано, что в данном соединении приложенное магнитное поле выступает как управляющий параметр, позволяя провести систему через квантовую критическую точку (QCP) при μ0Hc = 21.9 Т (поле вдоль H||c оси). С этим квантовым фазовым переходом связано снижение эффективной размерности спиновой системы, сопровождаемое подавлением дальнего магнитного порядка вблизи половины насыщения намагниченности.
Этот результат подтверждается численными расчетами, которые показывают, что вблизи половинного насыщения для идеальной (т.е. без межцепных связей) квантовой пиловидной цепочки с J'/J = 0.3 происходит разделение базальных и апикальных спинов на две независимые подсистемы. При этом корреляции базальных спинов в сильном поле близки к корреляциям в цепочке Гейзенберга со спинами ½ и антиферромагнитным взаимодействием.
В случае атакамита, в точке квантового критического перехода слабо связанное трехмерное антиферромагнитное состояние заменяется индуцированной полем квантовой спиновой жидкостью, состоящей из одномерных подсистем, сформированных базальными спинами на фоне спинов апикальных ионов, выровненных по полю.
Атакамит, темно-зеленый минерал, недавно был идентифицирован как материал, реализующий пиловидные цепочки из Cu спинов (J = 336 K, J' = 102 K; 1a) в слабой трехмерной сети межцепных взаимодействий. Экспериментально этот материал выделяется своим необычным поведением намагниченности в сильных магнитных полях, которое напоминает широкое плато при 1/2 намагниченности выше поля в 31.5 Т при направлении поля вдоль оси H∥b. Однако было установлено, что это поведение намагниченности не связано с 1/2-плато, предсказанным для квантовой пиловидной цепочки.
Результаты исследования
Ярко выраженное сглаживание намагниченности в сильных магнитных полях M(μ0H) наблюдается также при экспериментальной геометрии с магнитным полем вдоль оси H∥c, что подтверждено как при использовании импульсных, так и при медленно изменяемых внешних магнитных полей (1b). Как и прежде, сглаживание происходит при M∼Msat/2. Однако для направления H∥c намагниченность выравнивается уже при 21.9 Т (вставка на 1b). Это делает область высоких полей гораздо более доступной для экспериментов, особенно в условиях статических магнитных полей.
С помощью 1H ЯМР-спектроскопии протонов в статических и импульсных магнитных полях до 41 Т исследовалось локальное сверхтонкое взаимодействие, действующее на ядерные моменты водорода. Это обеспечивает микроскопическое понимание магнитного порядка и его подавления в атакамите (1c и 1d). В соответствии с кристаллической симметрией в парамагнитном состоянии ожидается две линии 1H. При температуре 2 К, ниже TN, спектр ЯМР основного состояния атакамита показывает семь резонансных частот (fres). Шесть резонансов приписываются ядерным позициям H(2) (вставка на 1d), тогда как локальная симметрия в атакамите препятствует дальнейшему расщеплению линии H(1) (синие шестиугольники на 1c) в изучаемой геометрии поля.
Фокусируясь на линиях H(2), соответствующие внутренние поля [Bint = 2π/γ × fres − μ0H(γ/2π = 42/5774 Мгц/Т)] поля при низких магнитных полях парно симметричны относительно нуля, что указывает на антиферромагнитный порядок. На 1c показана зависимость внутренних полей Bint, полученных для всех наблюдаемых линий 1H. Кроме того, на 1d приведено среднее смещение каждой пары линий ⟨Bint⟩. Было обнаружено, что ⟨Bint⟩ пропорционально намагниченности во всем диапазоне полей для всех пар (синяя пунктирная линия на 1d), что подтверждает согласованность данных 1H ЯМР и измерений намагниченности.
Расщепление симметричных линий ЯМР (1c) меняется лишь незначительно при полях ниже 16 Т. При полях выше 8 Т две внутренние пары становятся неразрешимыми. С дальнейшим увеличением поля расщепление линий ЯМР значительно уменьшается, и все линии сливаются при полях выше 20.3 Т, что свидетельствует об исчезновении ступенчатой (чередующейся) намагниченности. Таким образом, результаты ЯМР подтверждают, что выравнивание кривой намагниченности при M∼Msat/2 совпадает с подавлением дальнего антиферромагнитного порядка.

Изображение №2
Далее были изучены термодинамические свойства атакамита в двух областях магнитного поля — с дальним антиферромагнитным порядком и без него. Для этого проводились измерения теплоемкости в статических магнитных полях до 35 Т (направление поля вдоль оси H∥c) и при температурах, достигающих температур среды гелия-3. Магнитный вклад в удельную теплоемкость (cmag), представленный на графиках выше в виде cmag/T, четко разделяется на область антиферромагнитной фазы и область вне ее.
В первой области, при полях ниже 21.8 Т (2a), наблюдается аномалия перехода при температуре TN, которая смещается в область более низких температур при увеличении приложенного поля. Аналогичное изменение TN при изменении поля наблюдается и в температурной зависимости намагниченности. Кроме того, в промежуточных полях аномалия cmag при TN резко сужается, приобретая вид, напоминающий фазовый переход первого рода. Максимальное значение cmag/T при 16 Т близко к 13 Дж/(моль·К2). При дальнейшем увеличении поля аномалия снова ослабевает. По результатам измерений теплоемкости фазовая граница прослеживается до точки (1 К, 21.5 Т), что позволяет сделать вывод о полном подавлении антиферромагнитного порядка при μ0Hc = 21.9.
Во второй области, при полях выше 23 Т (2b), аномалия перехода в cmag/T исчезает и появляется широкая аномалия. Она напоминает поведение, вызванное низкоэнергетическими спиновыми возбуждениями с энергетической щелью ΔPM, зависящей от магнитного поля.

Изображение №3
Для установления энтропийного ландшафта на диаграмме фаз «поле–температура» атакамита была проведена оценка магнитной энтропии Smag путем интеграции данных по теплоемкости по формуле: Smag(T) = ∫T0cmag(T')/T'dT'.
Выше представлен контурный график Smag(T, μ0H), полученный путем линейной интерполяции между значениями энтропии, рассчитанными для фиксированных магнитных полей. Туда же были добавлены значения TN, извлеченные из максимумов cmag/T, а также максимумов данных по ∂M/∂T. Эти значения обозначают границу антиферромагнитной (AFM) фазы. Стоит отметить, что изменение характера AFM-перехода в сторону перехода первого рода при приложении магнитного поля (2a) может указывать на дополнительную сложность поведения системы в поле.
Энтропийный ландшафт на графике выше сильно искажен, что приводит к выраженному магнитокалорическому эффекту (MCE) при адиабатическом (де)магничивании. Изоэнтропы проходят по направлению снижения температуры при увеличении магнитного поля внутри AFM-фазы и по направлению повышения температуры при увеличении магнитного поля за пределами AFM-фазы. Смена знака производной (∂T/∂(μ0H))Smag происходит на границе AFM-фазы или вблизи нее. Такое поведение указывает на наличие квантовой критической точки, индуцированной магнитным полем.
Аномальное поведение низкоэнергетических спиновых возбуждений, связанное с возникновением квантовой критической точки (QCP) при 21.9 Тл, отражается в термодинамических величинах. Ниже 21.9 Тл подавление антиферромагнитного (AFM) порядка проявляется в виде исчезновения магнонной щели ΔAFM в магнитном изоляторе атакамите. Было проведено моделирование этого путем аппроксимации теплоемкости при низких температурах формулой: cmag ∝ exp(−ΔAFM/kBT) (например, темно-серая кривая аппроксимации для 0 Тл на 2b).
После подавления AFM-порядка магнитным полем, низкотемпературная теплоемкость снова может быть описана аналогичной экспоненциальной зависимостью, но уже с другой щелью:
cmag ∝ exp(−ΔPM/kBT) (например, красные кривые на 2b). Полученные таким образом значения щелей ΔAFM и ΔPM приведены на изображении №3.
В совокупности эволюция этих параметров в магнитном поле показывает, что в районе квантовой критической точки происходит закрытие щели (ΔAFM) и последующее открытие новой щели (ΔPM) для спиновых возбуждений в атакамите. Примечательно, что полевая зависимость ΔPM(μ0H) описывается линейной функцией: ΔPM/kB = A(μ0H − μ0Hc), где аппроксимация дает A = 1.11 К/Тл и μ0Hc = 21.8 Тл (красная линия на графике выше), что полностью соответствует значению магнитного поля, при котором происходит насыщение намагниченности и подавление AFM-порядка.
Для объяснения возникновения квантовой критической точки (QCP) был предложен следующий сценарий: доминирующее обменное взаимодействие J осуществляется между базальными спинами [Cu(1)], которые образуют сильные антиферромагнитные связи, в то время как апикальные спины [Cu(2)] слабо связаны с ними посредством более слабого взаимодействия J0. Фрустрация препятствует однозначному выравниванию апикальных спинов относительно базальных, из-за чего они становятся более легко поляризуемыми. Однако, поскольку именно апикальные спины обеспечивают трехмерную связь между базальными цепочками, эта связь разрушается, когда апикальные спины полностью выравниваются под действием внешнего магнитного поля. Таким образом, поведение системы за пределами квантовой критической точки характеризуется как ансамбль развязанных спиновых цепочек Гейзенберга с S=1/2, образованных базальными спинами, в присутствии поляризованного магнитным полем ансамбля апикальных спинов.

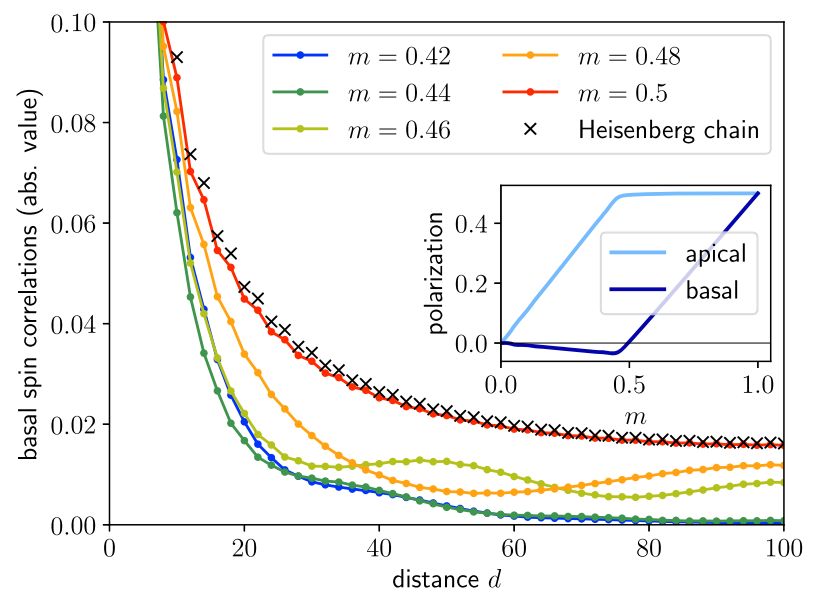
Изображение №4
Ученые представили численные доказательства данного сценария путем выполнения расчетов методом DMRG (от density-matrix renormalization group, т. е. метод ренормализации матрицы плотности) для цепочки из L = 200 узлов с периодическими граничными условиями. На графике выше показаны спин-спиновые корреляции между базальными спинами в различных секторах общего спина вплоть до половины насыщения. Наблюдалось увеличение корреляционной длины с ростом m, и в точке половинного насыщения корреляции хорошо описываются моделью чистой антиферромагнитной цепочки Гейзенберга со спинами S = 1/2. Вставка на графике выше показывает, как поляризация распределяется между апикальными и базальными узлами. При малых значениях m апикальные спины сильно поляризованы вдоль поля, тогда как базальные спины сначала слабо поляризованы в противоположном направлении, чтобы оптимизировать взаимное обменное взаимодействие. При достижении половинного насыщения поляризация базальных спинов проходит через ноль. В этот момент апикальные спины становятся полностью насыщенными, и две подсистемы (базальная и апикальная) развязываются друг от друга.
Экспериментально были найдены подтверждения предложенному сценарию в следующих наблюдениях:
-
Антиферромагнитный дальний порядок в атакамите полностью подавляется при критическом поле 21.9 Тл (что подтверждается методом ЯМР; 1c), хотя это поле значительно ниже ожидаемого значения полного насыщения магнитного момента (1b). Отсутствие дальнего порядка свидетельствует об эффективном снижении размерности спиновой системы — от трехмерной магнитно упорядоченной фазы к одномерному поведению. Связанная с этим квантовая критическая точка (QCP), представляющая собой низкотемпературную границу AFM-фазы, выделяется на фоне сильно искаженного энтропийного ландшафта.
-
В магнитных полях выше границы AFM-фазы внутренние поля, измеренные методом 1H-ЯМР, хорошо совпадают с рассчитанными значениями в рамках модели поляризованной под действием поля подсистемы Cu(2) (апикальные спины). Это также подтверждается макроскопической намагниченностью порядка M ≈ Msat/2 в этом диапазоне полей.
-
Поведение теплоемкости атакамита при низких температурах и μ0H > μ0Hc отражает полевое открытие щели спиновых возбуждений ΔPM, что согласуется с полной поляризацией магнитной подсистемы Cu(2) (апикальных спинов). Линейная зависимость ΔPM(μ0H) указывает на увеличение энергетического разрыва между полностью поляризованным основным состоянием апикальных спинов и их первым возбужденным состоянием — антиферромагнитным возбуждением. В том же диапазоне полей оставшаяся подсистема Cu(1) (базальные спины), формирующая слабо поляризованную спиновую цепочку S = 1/2 с обменным взаимодействием J = 336 К, вклад в теплоемкость при низких температурах практически не дает.
-
Энтропийный ландшафт системы сильно искажен, что приводит к выраженному магнитокалорическому эффекту (MCE), а изоэнтропы вблизи квантовой критической точки ведут себя по-разному в пределах AFM-фазы и за ее пределами. Хотя на основании зависимости T(μ0H)Smag нельзя однозначно судить о размерности системы, поведение изоэнтроп отражает изменение квантово-критических показателей и/или размерности системы, что согласуется с теоретическими описаниями квантовых фазовых переходов.
В заключение, минерал атакамит представляет собой уникальный пример для изучения явления снижения размерности на квантовой критической точке (QCP). На основе обширных микроскопических и макроскопических исследований в высоких магнитных полях, дополненных расчетами методом ренормализации матрицы плотности, ученые установили, что при подавлении дальнего антиферромагнитного порядка в точке QCP восстанавливается поведение обнаженной "пилообразной" спиновой цепочки — за счет эффективного снижения размерности спиновой системы. Помимо фундаментального значения этого нового состояния, сильное влияние QCP на энтропийную карту подчеркивает перспективность фрустрированных квантовых магнитов для применения в системах охлаждения.
Для более детального ознакомления с нюансами исследования рекомендую заглянуть в доклад ученых и дополнительные материалы к нему.
Эпилог
В рассмотренном нами сегодня труде ученые подробно изучили весьма необычный эффект кристалла атакамита. Помещение его в магнитное поле приводит к резкому и значительному снижению его температуры.
Как показали опыты, атакамит является природный минерал с фрустрированной магнитной структурой. При воздействии сильного магнитного поля спиновый порядок внутри кристалла нарушается, что сопровождается резким изменением энтропии и, как следствие, значительным понижением температуры.
Данное поведение связано с особенностями кристаллической структуры: медные ионы формируют "пилообразные" цепочки, в которых магнитные моменты частично фрустрированы и слабо связаны между собой. Применение магнитного поля устраняет эту связь, разрушая трехмерный магнитный порядок и вызывая снижение размерности системы до одномерной.
Хотя сам атакамит не планируется использовать в практических целях, открытый физический механизм представляет фундаментальный интерес и может стать основой для поиска новых материалов для энергоэффективного магнитного охлаждения на базе фрустрированных квантовых магнитов.
Немного рекламы
Спасибо, что остаётесь с нами. Вам нравятся наши статьи? Хотите видеть больше интересных материалов? Поддержите нас, оформив заказ или порекомендовав знакомым, облачные VPS для разработчиков от $4.99, уникальный аналог entry-level серверов, который был придуман нами для Вас: Вся правда о VPS (KVM) E5-2697 v3 (6 Cores) 10GB DDR4 480GB SSD 1Gbps от $19 или как правильно делить сервер? (доступны варианты с RAID1 и RAID10, до 24 ядер и до 40GB DDR4).
Dell R730xd в 2 раза дешевле в дата-центре Maincubes Tier IV в Амстердаме? Только у нас 2 х Intel TetraDeca-Core Xeon 2x E5-2697v3 2.6GHz 14C 64GB DDR4 4x960GB SSD 1Gbps 100 ТВ от $199 в Нидерландах! Dell R420 - 2x E5-2430 2.2Ghz 6C 128GB DDR3 2x960GB SSD 1Gbps 100TB - от $99! Читайте о том Как построить инфраструктуру корп. класса c применением серверов Dell R730xd Е5-2650 v4 стоимостью 9000 евро за копейки?
Автор: Dmytro_Kikot
