Когда-то люди считали, что находятся в центре мироздания. Потом центр мироздания в сознаниях думающих людей заняло Солнце, потом — центр Галактики, а потом стало ясно, что наша Галактика, Млечный Путь — всего лишь одна из множества галактик, и она тоже не находится «в центре всего». А это самое «всё»,— то есть, Вселенная, наполненная материей в виде пыли, газа и звёзд, а также энергией в виде излучения,— расширяется и расширяется, причём чем дальше от нас находится объект, тем быстрее он от нас удаляется.
Зависимость скорости удаления объекта от расстояния до него называется «постоянной Хаббла». С ней тоже не всё так просто — во-первых, её не так-то легко измерить, а во-вторых, она ещё и не постоянная в прямом смысле. Однако вне сомнений остаётся простой наблюдаемый факт: объекты разлетаются от нас во все стороны, и чем дальше объект — тем быстрее он удаляется.
Когда Эйнштейн впервые выдвинул свою новую теорию гравитации, заменившую ньютоновскую — теорию общей относительности, — он продемонстрировал радикально новый взгляд на Вселенную. Вместо того чтобы рассматривать пространство и время как независимые, абсолютные сущности, где пространство — это статичная трёхмерная сетка, а время — просто неумолимая, движущаяся вперёд линия, в начале XX века произошли три великих события, которые шли рука об руку.
▍ Первое
В 1905 году появилась Специальная теория относительности, а вместе с ней и представление о том, что ни пространство, ни время не являются абсолютными величинами, а воспринимаются только относительно наблюдателя. Если два наблюдателя находились в разных местах или по-разному перемещались в пространстве, они воспринимали пространство и время по-разному.
Правда, вместе с этой идеей появились новые вопросы (как это часто бывает в науке). Если у Ньютона пространство было основной всего, неизменяемой и вечной сценой, на которой разворачивалось действие, перемещались предметы, действовали силы и т.п., то у Эйнштейна пространство-время начало вести себя довольно легкомысленно, искривляясь под воздействием материи и энергии. Ведутся споры о том, является ли пространство-время основой всего, или же существует какая-то более базовая, истинная и неизменная «сцена», на которой всё происходит?
К тому же, с появлением квантовой теории обнаружилась несовместимость её с теорией относительности. Каждая из них по отдельности отлично справлялись с описанием физического мира и справляются до сих пор, однако вместе они уживаться никак не хотят. Тут есть свои варианты.
А) Пространство и/или время дискретны. Представьте, что существует наименьший возможный масштаб длины. Тогда у нас появляется проблема: согласно теории относительности Эйнштейна, вы можете положить воображаемую линейку в любом месте, и с точки зрения наблюдателя, двигающегося относительно неё, её видимая длина будет меняться. Если бы пространство было квантованным, наблюдатели, движущиеся с разными скоростями, получили бы разные минимально возможные масштабы длины.
Это наводит на мысль о существовании «привилегированной» системы отсчёта, в которой одна конкретная скорость перемещения в пространстве давала бы максимально возможную длину, а все остальные были бы короче её. Не всем нравится такая перспектива, но она требует отказаться от чего-то важного в физике, например, от Лоренц-инвариантности или локальности. Дискретизация времени также создаёт большие проблемы для общей теории относительности.
Б) Пространство и время непрерывны. Возможно, что все эти наши проблемы являются артефактами неполной теории квантовой Вселенной. Возможно, пространство и время — это действительно непрерывный фон для всего происходящего, и, несмотря на их квантовую природу, их нельзя разбить на фундаментальные единицы. Это может быть пенистое пространство-время с большими флуктуациями энергии на крошечных масштабах, и у него может и не быть самого маленького масштаба.
В) Пространство и/или время могут быть как дискретными, так и непрерывными, но существует конечное разрешение, с которым мы можем их изучать. В этом кроется суть разницы между тем, что может быть «реальным» или «фундаментальным», и тем, что поддаётся измерению. Представьте, что у вас есть непрерывная структура, но ваша способность видеть её ограничена. Когда вы спускаетесь на определённый, достаточно малый масштаб расстояния, она кажется размытой. Мы не сможем понять, является ли она действительно непрерывной или дискретной; мы можем только сказать, что не можем различить структуру ниже определённого масштаба длины.
▍ Второе
Был найден способ «сплести» пространство и время воедино: его открыл учитель Эйнштейна Герман Минковский в 1908 году. Эта его ткань пространства-времени, должна была заменить независимые понятия пространства и времени, существовавшие по отдельности.
Пространство Минковского — это математическое описание пространства-времени в отсутствие гравитации. Она объединяет инерциальные пространственные и временные многообразия в четырёхмерную модель.
Модель помогает показать, как интервал времени между любыми двумя событиями не зависит от инерциальной системы отсчёта, в которой они зафиксированы. Математик Герман Минковский разработал её на основе работ Хендрика Лоренца, Анри Пуанкаре и других, заявив, что она «выросла на экспериментальных физических основаниях».
▍ Третье
Появилась идея о том, что гравитацию также можно включить в картину пространства-времени, где материя и энергия искривляют ткань пространства-времени, а это искривлённое пространство-время в свою очередь указывает материи и энергии, как двигаться.
Но вот в чём загвоздка: если материя и энергия искривляют ткань пространства-времени, то это означает, что эта ткань не будет статичной, а будет меняться со временем. Кривизну можно представить себе с положительным знаком, как поверхность сферы, с отрицательным, как чипсы Pringles (или седло, кому что ближе), или же можно говорить о нулевой кривизне — плоской, как лист бумаги на столе. Однако есть и ещё вариант: искривление может привести к расширению или сжатию пространства-времени.
Измерения постоянной Хаббла для объектов, находящихся на разных расстояниях от нас
Эйнштейн попытался представить, что произойдёт, если Вселенная будет заполнена равномерно распределёнными массивными частицами, находящимися в покое по отношению друг к другу и к пространству-времени. По формулам общей теории относительности выходило, что пространство начнёт искривляться таким образом, что эти частицы будут становиться все ближе и ближе друг к другу, пока все они не встретятся в одной точке. Неизбежно получится решение, которое Карл Шварцшильд вывел всего через несколько месяцев после того, как общая теория относительности была изложена в своей окончательной форме: чёрная дыра.
Поэтому Эйнштейн понял, что должна существовать какая-то другая форма энергии, которая удерживает Вселенную от гравитационного коллапса, и ввёл то, что мы знаем сегодня как космологическую постоянную или тёмную энергию: это единственный способ уравновесить неизбежный в противном случае гравитационный коллапс, который он мог придумать. Позднее он назвал это своей величайшей ошибкой, но ещё позже выяснилось, что не всё так однозначно. Теперь мы называем эту силу тёмной энергией.

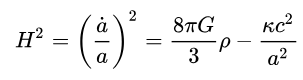
Уравнение выше иногда называют самым важным уравнением в космологии. Это уравнение вывел российский и советский физик Александр Александрович Фридман в 1922 году, получив точное решение полевых уравнений Эйнштейна. Уравнение связывает изменение масштаба Вселенной слева от равенства (H — та самая постоянная Хаббла) с материей, энергией и кривизной (и космологической постоянной) справа.
Эйнштейн рассуждал примерно так: «Если ваша Вселенная статична и не расширяется и не сжимается, то если в неё добавить материю, она должна начать сжиматься. Поэтому, если мы не хотим, чтобы она сжималась, мы можем добавить другую форму энергии, которая ведёт себя иначе (например, космологическую постоянную), и наблюдать, как Вселенная вместо этого расширяется. А если мы правильно настроим материю и другую форму энергии, они уравновесятся, и мы получим статичную Вселенную!»
Поскольку в то время ещё не было сделано необходимых измерений, наблюдателю казалось, что Вселенная статична. Но по наблюдениям, которые впервые были сделаны в 1920-х годах и с тех пор подтверждаются с гораздо большей точностью, и при взгляде на объекты, находящиеся на огромных расстояниях, Вселенная действительно расширяется.
Если учесть все современные наблюдения и провести расчёты, окажется, что скорость расширения — то, что мы называем постоянной Хаббла, или H, — на самом деле уменьшается со временем. Поэтому правильнее называть эту величину «параметром Хаббла». Постоянной он является только по отношению к пространству.
После Большого взрыва, когда во Вселенной преобладало излучение, этот параметр был больше, чем сейчас. Со временем он уменьшался — сначала в ту эпоху, когда во Вселенной начала преобладать материя, и после этого, когда тёмная энергия взяла вверх. В итоге он стремится к конечному, положительному, ненулевому значению.
Мы говорим о том, что расширение Вселенной ускоряется, не потому, что H, скорость этого расширения, увеличивается со временем (она на самом деле уменьшается). Причина в том, что то, что мы наблюдаем, как почти все галактики во Вселенной, не связанные с нашей гравитационно, удаляются от нас. Если бы мы могли наблюдать за тем, как эти галактики удаляются от нас с течением времени, на протяжении всей истории, то увидели бы, что когда во Вселенной преобладало излучение, видимая скорость рецессии (удаления) этих галактик уменьшалась. Когда во Вселенной начала преобладать материя, их видимая скорость рецессии уменьшалась медленнее (поскольку гравитация была сильнее тёмной энергии), а с тех пор, когда во Вселенной начала преобладать тёмная энергия, их видимая скорость рецессии увеличивается. Получается, что увеличивается скорость удаления галактик от нас, а не скорость расширения самой Вселенной.
Важно отметить, что тёмная энергия — это не какая-то «отрицательная энергия» или «отталкивающая гравитация». Это такая же форма энергии, как и любая другая, и она является частью великого космического баланса — расширения Вселенной против суммы всех различных форм материи и энергии внутри неё. Самое большое её отличие от остальных форм энергии заключается в том, что в то время как плотность материи и излучения падает по мере расширения Вселенной, плотность тёмной энергии не падает: она остаётся постоянной, поскольку, судя по всему, является характеристикой самого пространства (вакуума). И именно из-за этого отдельные галактики, попавшие в зону нашего космического расширения, с течением времени всё быстрее и быстрее удаляются от нас.
Плотность материи — это отношение массы к объёму. Поскольку частицы имеют фиксированную массу, и их существует фиксированное количество, то плотность изменяется обратно пропорционально объёму: удвойте «масштаб» Вселенной, и плотность материи станет в 8 раз меньше первоначальной.
Кванты излучения безмассовые, поэтому их плотность — это просто энергия, делённая на объём. Но нужно учитывать, что в то время как количество квантов фиксировано, энергия каждого кванта определяется длиной его волны, а эта длина волны линейно зависит от масштаба Вселенной. В результате при удвоении масштаба Вселенной уменьшается не только количество квантов на этот объём, но и энергия каждого кванта. При удвоении масштаба Вселенной плотность излучения уменьшается в 16 раз.
Однако тёмная энергия ведёт себя как форма энергии, присущая самому пространству: плотность её энергии всегда постоянна, и не зависит от расширения Вселенной. Поэтому ей так хорошо удаётся расталкивать галактики друг от друга (а точнее, порождать новое пространство между ними — таковы сейчас представления о происходящем).
В то же время важно помнить, что мы не уверены на 100%, что тёмная энергия действительно ведёт себя так, как будто её плотность постоянна: как настоящая космологическая константа. Тёмная энергия может незначительно увеличиваться или уменьшаться в плотности или силе с течением времени. На этот вопрос нам поможет ответить следующая крупная миссия НАСА — космический телескоп имени Нэнси Грейс Роман. Он проведёт ключевые измерения, которые с максимальной точностью покажут, как на самом деле ведёт себя тёмная энергия. Ведь от этого, в конце концов, зависит судьба Вселенной!
© 2025 ООО «МТ ФИНАНС»
Автор: valisak
