
Наверное, у каждого в детстве была мечта (и не одна). Можно попытаться даже вспомнить то чувство, которое переполняет душу ребенка при исполнении его мечты или тот далекий знакомый блеск в глазах… Я же в детстве мечтала иметь свой ночник.
Сейчас я учусь на 4ом курсе БГУИР и когда нам сообщили, что курсовой проект по схемотехнике можно сделать не на бумаге, а на железяке, меня осенило: ночник, который так желался в детстве, можно сделать самой. Причем сделать не просто объект, который будет освещать комнату в темное время суток, а устройство, каким можно будет с легкостью управлять под любое настроение. А почему бы и нет? Я решила добавить возможность менять цвета с помощью рук: чем ближе рука подносится к ночнику, тем ярче горит один из цветов (RGB). А также хотелось бы управлять ночником с помощью пульта ДУ.
Сразу признаюсь, что идею я подсмотрела на сайте cxem.net. Если вкратце, в этом примере использовалась RGB-матрица, которая управлялась с помощью регистров сдвига, и ультразвуковые датчики расстояния. Но я подумала, что матрица светит исключительно в одну сторону, мне же хотелось, чтобы ночник светил по сторонам.
Обоснование элементов схемы
Я обратила свое внимание на микроконтроллеры Arduino. UNO вполне подходящий вариант для моей задумки, во-первых потому что это наиболее популярная платформа и количество пинов не слишком велико, в отличие от Mega, во-вторых к ней можно подключить внешний источник питания, в моем случае он 12В, в отличие от Nano, в третьих… ну думаю можно остановиться на этих двух пунктах. Платформа пользуется огромной популярностью во всем мире благодаря удобству и простоте языка программирования, а также открытой архитектуре и программному коду.
Более подробную информацию о данной плате можно с легкостью найти на просторах интернета, так что не буду перегружать статью.
Итак, основные требования, предъявляемые системе. Необходимы:
– датчики, которые будут отслеживать расстояние до преграды для управления системой;
– датчик для считывания сигналов с пульта дистанционного управления;
– светодиоды, которые и будут обеспечивать необходимую функциональность освещения;
– управляющий блок, который будет управлять всей системой.

В качестве датчиков расстояния для проекта необходимы дальномеры, каждый из которых будет соответствовать определенному цвету: красный, зеленый, синий. Датчики расстояния будут следить за расстоянием руки до ночника и, чем ближе рука будет подноситься к определенному датчику, тем сильнее будет гореть цвет, соответствующий этому дальномеру. И наоборот, чем дальше рука, тем меньше подается напряжение на цвет, соответствующий датчику.
Наиболее популярные дальномеры на данный момент это Sharp GP2Y0A21YK и HC-SR04. Sharp GP2Y0A21YK — это инфракрасный дальномер. Он оснащен ик-излучателем и ик-приемником: первый служит источником луча, отражение которого ловит второй. При этом ик-лучи датчика для человеческого глаза невидимы и при такой интенсивности безвредны.
По сравнению с ультразвуковыми датчиком HC-SR04, у этого датчика есть и достоинства, и недостатки. К достоинствам можно отнести нейтральность и безвредность. А недостатки — меньший радиус действия и зависимость от внешних помех, в том числе — некоторых типов освещения.
В качестве датчиков расстояния для проекта использованы ультразвуковые дальномеры HC-SR04.
Принцип действия HC-SR04 основан на хорошо известном явлении эхолокации. При его использовании излучатель формирует акустический сигнал, который отразившись от преграды, возвращается к датчику и регистрируется приемником. Зная скорость распространения ультразвука в воздухе (примерно 340м/с) и время запаздывания между излученным и принятым сигналом, легко рассчитать расстояние до акустической преграды.
Вход TRIG подключается к любому выводу микроконтроллера. На этот вывод нужно подавать импульсный цифровой сигнал длительностью 10 мкс. По сигналу на входе TRIG датчик посылает пачку ультразвуковых импульсов. После приема отраженного сигнала, датчик формирует на выводе ECHO импульсный сигнал, длительность которого пропорционально расстоянию до преграды.
Ик-датчик. Разумеется, с данного датчика будет считываться и декодироваться сигнал, необходимый для дистанционного управления. TSOP18 отличаются между собой только по частоте. Для проекта выбран датчик VS1838B TSOP1838.
В основе проекта лежала идея об освещении помещения любым цветом, это говорит о том, что понадобятся 3 основных цвета из которых будет получено освещение: красный, зеленый, синий. Поэтому была выбрана модель светодиодов SMD 5050RGB, которые отлично справятся с поставленной задачей.
В зависимости от величины напряжения, подаваемого на каждый светодиод, они будут менять интенсивность этого освещения. Светодиод должен быть подключен через резистор, иначе рискуем испортить не только его, но и Arduino. Резистор нужен для того, чтобы ограничить ток на светодиоде до приемлемой величины. Дело в том, что внутреннее сопротивление светодиода очень низкое и, если не использовать резистор, то через светодиод пройдет такой ток, который попросту спалит и светодиод, и контроллер.
Планки со светодиодами, которые используются в проекте, питаются от 12В.
В связи с тем, что напряжение на светодиодах в «выключенном» состоянии равно 6В и необходимо регулировать питание, которое превосходит 5В, в схему необходимо добавить транзисторы в ключевом режиме. Мой выбор пал на модель BC547c.
Рассмотрим вкратце, для тех, кто подзабыл, принцип работы n-p-n транзистора. Если напряжение не подавать вовсе, а просто взять и замкнуть выводы базы и эмиттера пусть даже и не накоротко, а через резистор в несколько Ом, получится, что напряжение база-эмиттер равно нулю. Следовательно, нет и тока базы. Транзистор закрыт, коллекторный ток пренебрежительно мал, как раз тот самый начальный ток. В этом случае говорят, что транзистор находится в состоянии отсечки. Противоположное состояние называется насыщение: когда транзистор открыт полностью, так, что дальше открываться уже некуда. При такой степени открытия сопротивление участка коллектор эмиттер настолько мало, что включать транзистор без нагрузки в коллекторной цепи просто нельзя, сгорит моментально. При этом остаточное напряжение на коллекторе может составить всего 0,3…0,5В.
Эти два состояния – насыщение и отсечка, используются в том случае, когда транзистор работает в ключевом режиме наподобие обычного контакта реле. Основной смысл такого режима в том, что малый ток базы управляет большим током коллектора, который в несколько десятков раз больше тока базы. Большой ток коллектора получается за счет внешнего источника энергии, но все равно усиление по току, что называется, налицо. В нашем случае, микросхема, рабочее напряжение которой 5В, включает 3 планки со светодиодами, работающими от 12В.
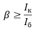
Рассчитаем режим работы ключевого каскада. Требуется рассчитать величину резистора в цепи базы, чтобы светодиоды горели в полную мощность. Необходимое условие при расчете, чтобы коэффициент усиления по току был больше либо равен частному от деления максимально возможного тока коллектора на минимально возможный ток базы:

Поэтому планки могут быть на рабочее напряжение 220В, а базовая цепь управляться от микросхемы с напряжением 5В. Если транзистор рассчитан на работу с таким напряжением на коллекторе, то светодиоды будут гореть без проблем.
Падение напряжения на переходе база-эмиттер 0,77В при условии, что ток базы 5мА, ток коллектора 0,1А.
Напряжение на базовом резисторе составит:

По Закону Ома:

Из стандартного ряда сопротивлений выбираем резистор 8,2 кОм. На этом расчет закончен.
Хочу обратить ваше внимание на одну проблему, с которой я столкнулась. При использовании библиотеки IRremote Arduino зависал при регулировании синего цвета. После долгого и тщательного поиска в интернете оказалось, что данная библиотека использует по умолчанию таймер 2 для этой модели Arduino. Таймеры используются для управление выходами ШИМ.
Tаймер 0 (Системное время, ШИМ 5 and 6);
Tаймер 1 (ШИМ 9 и 10);
Tаймер 2 (ШИМ 3 и 11).
Первоначально у меня был использован ШИМ 11 для регулирования синего цвета. Поэтому будьте внимательны при работе с ШИМ, таймерами и сторонними библиотеками, которые могут их использовать. Странно, что на главной странице на гитхабе об этом нюансе не было ничего сказано. При желании вы можете раскомментировать строчку с таймером 1 и закомментировать 2.
Подключение элементов на макетной плате выглядит следующим образом:

После тестирования на макетке начались фазы «Размещение элементов на плате» и «Работа с паяльником». После первого тестирования готовой платы в голову закрадывается мысль: что-то пошло не так. И тут начинается знакомая многим фаза «Кропотливая работа с тестером». Однако неполадки (случайно спаялись несколько соседних контактов) были быстро устранены и вот он долгожданный озорной огонек светодиодов.

Далее дело стояло только за корпусом. По этому поводу были выпилены фанерки с отверстиями для наших датчиков. Задняя крышка делалась специально съемной, чтобы можно было насладиться видом изнутри и, при желании, что-то доделать или переделать. Также в ней имеются 2 отверстия для перепрограммирования платы и питания.
Корпус клеился на двухкомпонентном эпоксидном клее. Стоит отметить особенность данного клея, для тех, кто с ним раньше не встречался. Данный товарищ поставляется в двух отдельных емкостях, при смешивании содержимого которых происходит моментальная химическая реакция. После смешивания действовать приходится быстро, в пределах 3–4 минут. Для дальнейшего использования нужно смешать новую порцию. Так что если пытаетесь это повторить, мой вам совет, смешивать маленькими порциями и действовать весьма быстро, время на подумать будет не так уж и много. Поэтому стоит заранее продумать, как и где склеить корпус. Причем за один присест это сделать не получится.
Для крепления планок со светодиодами в верхнюю крышку была вставлена трубка через которую прекрасно прошли все провода.

Когда возник вопрос с абажуром, я вспомнила как в детстве делала поделки из простой нитки, клея и воздушного шарика, который служил основой. Принцип для абажура взят тот же, однако обматывать многогранник оказалось сложнее, чем шарик. За счет давления, оказываемого нитками на конструкцию, кверху она начала сужаться и нитки стали опадать. Экстренно, с руками в клею, было принято решение укрепить конструкцию сверху. И тут пришел на помощь компакт диск. В итоге получился вот такой ночник:

Что хочется сказать в итоге
Чтобы я изменила в проекте? Для подачи сигнала TRIG датчиков расстояния можно было бы использовать один выход Arduino вместо трех. Так же я бы предусмотрела отверстие для ик-датчика (о котором я забыла), который пока, увы, спрятан в корпусе из которого он, естественно, не может считывать сигналы с пульта. Однако, кто сказал, что нельзя ничего перепаивать и сверлить?

Хочется отметить, что это был интересный семестр, и отличная возможность попробовать сделать что-то не на бумаге, благодаря чему я могу поставить еще одну галочку около пункта «детская мечта». И если вам кажется, что пробовать что-то новое сложно, и вы не знаете за что первым делом взяться, не стоит переживать. У многих в голове пролетает мысль: с чего бы тут начать и как это вообще можно сделать? В жизни много возникает задач от которых можно растеряться, но стоит только попробовать как вы заметите, что с огоньком в глазах вы можете свернуть горы, пусть даже для этого придется немножко постараться.
Ссылка на исходный код.
Автор статьи: Анастасия Ковш
Автор: ne4ta
