Качество освещения влияет на ощущение цветов человеком. Для измерения качества освещения используются специальные устройства, такие как спектрометры, определяющие индекс цветопередачи. Стоимость таких приборов высока.
Однако качество освещения влияет на различные пигменты. Мы предположили, что пользуясь разницей в восприятии пигментов можно оценивать индекс цветопередачи без помощи дорогостоящих устройств.
Итак, наша гипотеза:
Расстояние между цветами некоторых пигментов изменяется в зависимости от качества источника освещения.
Цветовое расстояние будет более подробно описано в теоретическом разделе.
Мы использовали спектры ламп, любезно предоставленные Алексеем Надёжиным и открытой базой спектров пигментов chsopensource.org. Спектральная чувствительность колбочек человеческого глаза была взята из базы лаборатории Colour & Vision Research Института офтальмологии университетского колледжа в Лондоне.
1. Теоретическая часть
1.1 Модель восприятия цвета человеком
Восприятие цвета это субъективное явление, которое возникает в результате наблюдения человеком электромагнитных волн в диапазоне от 390 до 830 нм (Рис 1.1).
Электромагнитные волны могут быть получены напрямую от источника освещения, так и быть отражены (Рис.1.2).
Распределение мощности излучения электромагнитных волн характеризуется спектром.
В нашей модели мы различаем такие виды спектров:
-
Источники освещения можно охарактеризовать с помощью спектра излучения. В нём для каждого выбранного диапазона длин волн лампа излучает свет с определенной мощностью от 0 до бесконечности.
-
Спектр отражения показывает какая доля мощности источника освещения на определенном диапазоне длин волн отразилась от поверхности. При значениях близких к нулю поверхность полностью поглощает энергию, при значениях близких к 1 или 100% — полностью отражает.
-
Под спектром восприятия мы подразумеваем чувствительность сенсоров к мощности получаемого электромагнитного излучения на определенных длинах волн. В случае с человеком мы имеем в виду под спектром восприятия чувствительность колбочек (Рис 1.3), отвечающих за цветовое зрение.
Колбочки — один из двух типов фоторецепторов, периферических отростков светочувствительных клеток сетчатки глаза, названный так за свою коническую форму. Это нервные клетки, специализированные таким образом, чтобы генерировать электрические сигналы при попадании на них света.
Колбочки делятся на три типа, каждый из них со своим особым зрительным пигментом. Эти три пигмента чувствительны к различным длинам световых волн, и эти различия составляют основу цветового зрения. Пигменты колбочек трех типов имеют пики поглощения в области 430, 530 и 560 нм (рис 1.4); поэтому разные колбочки несколько неточно называют соответственно «синими», «зелеными» и «красными». Более корректными были бы названия «длинноволновые», «средневолновые» и «коротковолновые». L — long, M — medium, S — short [2]
Чувствительности колбочек были рассчитаны Стокманом и Шарпом [9]. На рисунке 1.4 изображена зависимость чувствительности колбочек, полученная данными исследователями, к мощности излучения на определенных длинах волн. Значение 1 означает, что на данной длине волны колбочки реагируют наиболее сильно.
На основе этих данных представленных выше можно получить различные сочетания активизации колбочек. Если перечислить все эти сочетания, то мы сможем задать любой цвет, который может воспринять человеческий глаз.
Таким образом мы получаем цветовое пространство LMS, представленное ответом трех типов колбочек человеческого глаза. Отклик колбочек можно посчитать как сумму всех мощностей [4]. Различные спектры воспринимаемые глазом могут дать одинаковые суммы мощностей.
1.3 Метамерия и цветовое расстояние
Метамерия (или метамеризм) — свойство зрения, при котором свет различного спектрального состава может вызывать ощущение одинакового цвета.
В более узком смысле, метамерией называют явление, когда два окрашенных образца воспринимаются одинаково окрашенными под одним источником освещения, но теряют сходство при других условиях освещения (с другими спектральными характеристиками излучаемого света). На рисунке 1.5 можно увидеть эту ситуацию.
Колбочки получают суммарный стимул от всех длин волн. Все суммарные стимулы одной колбочки — это все возможные оттенки яркости (например зелёного).
Из сочетания трёх типов колбочек мы получаем 3 независимых числовых параметра. Всевозможные комбинации из этих параметров дают точки в трёхмерном пространстве.
Если колбочка была стимулирована двумя разлиными источниками, но суммарные стимулы этих источников дали одни и те же числа, то такие цвета воспринимаются человеком одинаково.
Таким образом, если множество всех комбинаций стимулов колбочек — это множество цветов воспринимаемых человеком, то точка в этом пространстве — это отдельный цвет. А две точки расположенные близко — это цвета воспрининаемые как похожие.
Метамерия — это частный случай, когда цвета находятся на малом расстоянии в цветовом пространстве.
Поскольку цветовое пространство является трехмерным, то для нахождения цветового расстояния мы будем использовать формулу расстояния между двумя точками в трехмерной системе координат.

1.2 Источники освещения
Все источники "белого" света отличаются по их спектральному составу. Для удобства их оценивают по более обобщенным характеристикам: цветовой температуре и индексу цветопередачи. Под цветовой температурой мы понимаем насколько "желтый" или "синий" оттенок света имеет тот или иной источник освещения. Индекс цветопередачи будет описан далее.
1.2.1 Типы ламп
Бывает несколько основных видов искусственных источников освещения:
Лампы накаливания — излучение света от этого типа источника вызвано нагревом вольфрамовой нити, по которой течет электрический ток. Нагретая до высокой температуры нить начинает излучать свет. Обладает хорошей цветопередачей, близкой к естественному источнику освещения, но низкой энергоэффективностью. В галогеновых лампах накаливания вместо вольфрамовой нити используют пары галогенов (брома или йода) (См. рисунок 1.6). Здесь и далее по горизонтальной оси показана длина волны источника (в нанометрах), по вертикальной - относительная яркость источника на данной волне.
Светодиодное освещение представляет тип полупроводникового диода, который излучает свет, когда через него протекает ток. Может обладать как посредственной, так и хорошей цветопередачей. (См. рисунок 1.7)
Ртутные лампы. В колбах или трубках этих газоразрядных излучателей при подаче электричества проходят газовые разряды через пары ртути. Обладает спектром далеким от естественного с ярко выраженными пиками и как следствие низким индексом цветопередачи. (См. рисунок 1.8)
Мы отобрали 13 ламп разных типов с показателями CRI от 81 до 99 и цветовой температурой от 2600К до 4200К (См. таблицу 1.9). Данные предоставлены Алексеем Надёжиным. Использовался спектрометр MK350D. Номер лампы в базе соответствует номеру на сайте lamptest.ru
Рис 1.9 Лампы выбранные для расчетов [1]
|
Номер в базе Lamptest.ru |
Название |
CRI |
Тип |
Цвет. темп. |
|
1956 |
CFL Lexman LTBG23W27H-W |
80 |
CFL |
4200 |
|
4338 |
LED Космос LED20WA60E2745 |
81 |
LED |
4049 |
|
4181 |
LED Osram AC29690 LED |
82 |
LED |
3774 |
|
4268 |
LED REV 32430 0 |
82 |
LED |
2656 |
|
1955 |
CFL Lexman LTBG23W27H-L |
84 |
CFL |
2700 |
|
3178 |
LED Wyze Wyze Bulb WLPA19 |
90 |
LED |
4053 |
|
2364 |
LED OSRAM LEDHDCLA60 8W/927 230V GL FR E27 |
90 |
LED |
2700 |
|
3967 |
LED Фотон LED P45-C 8W E27 3000K |
94,2 |
LED |
2974 |
|
3781 |
LED Uniel КАКСОЛНЦЕ LED-G45 |
95 |
LED |
4034 |
|
3821 |
LED Voltega True colors VG10-A60E27 |
95,2 |
LED |
2889 |
|
3953 |
LED Navigator Supervision |
98 |
LED |
2660 |
|
3959 |
LED Navigator Supervision |
98,4 |
LED |
4052 |
|
2161 |
STD Лисма Б 230-95-2 |
99,7 |
STD |
2757 |
1.2.2 Индексы цветопередачи
CRI (color rendering index) — это количественная мера способности источника света верно отображать цвета освещаемых объектов в сравнении с идеальным или естественным источником света. Передача цветов под источниками освещения с разным CRI продемонстрирована на рисунке 1.10. CRI принимает значения от 1 до 100 (1 — наихудшая цветопередача, 100 — наилучшая).
Для получения коэффициента цветопередачи какого‑либо источника света (лампы) фиксируется сдвиг цвета, наблюдаемый при направлении тестируемого источника света на эталонные цвета. Чем меньше отклонение видимого цвета от естественного (больше индекс цветопередачи), тем лучше характеристика цветопередачи тестируемой лампы.
TM-30
Другая система оценки качества освещения. Обладает более высокой точностью нежели CRI, так как в TM-30–15 используется 99 эталонных цветов — более обширная база образцов, представляющих более практичные, реальные цвета.[6]
1.4 Пигменты
В любой краске есть пигменты. Они придают ей цвет. Каждый пигмент обладает своими уникальными спектральными характеристиками. Существуют стандартизованные пигменты для красок. Мы взяли 48 цветных пигментов разных оттенков красного (Рис 1.12), синего (Рис 1.14), желтого (Рис 1.11), и зеленого (Рис 1.13). Данные взяты из открытой базы проекта Cultural Heritage Science Open Source [3]. Спектры отражения получены при помощи спектрометра GorgiasUV на основе базы пигментов Pigments Checker [10].
Рис 1.11 Спектры "желтых" пигментов
По горизонтали: длина волны в нанометрах
По вертикали: 0 - полное поглощение 100 - полное отражение
Рис 1.12 Спектры "красных" пигментов
По горизонтали: длина волны в нанометрах
По вертикали: 0 - полное поглощение 100 - полное отражение
Рис 1.13 Спектры "зеленых" пигментов
По горизонтали: длина волны в нанометрах
По вертикали: 0 - полное поглощение 100 - полное отражение
Рис 1.14 Спектры "синих" пигментов
По горизонтали: длина волны в нанометрах
По вертикали: 0 - полное поглощение 100 - полное отражение
Различные спектры отражения пигментов на рисунках 1.11–14 дают возможность предполагать, что разные лампы будут влиять на ощущаемый цвет.
Спектр, который будет восприниматься глазом определенного пигмента под определенным источником освещения, рассчитывался по формулам:

Где - мощность лампы на длине волны
- коэффициент отражения на длине волны
,
- отклики колбочек на длине волны
.
Графически пример такого расчёта можно увидеть на рисунке ниже:

2. Практическая часть
Мы поместили данные по пигментам [3], источникам освещения[1] и отклику колбочек[5] в гугл-таблицу.
Таблица 2.1 Фрагмент таблицы с данными пигментов взятыми с CHSOS [3]
|
Длина волны округл, нм |
yellow |
yellow |
.. |
purple |
|
390 |
12,291 |
7,386 |
.. |
31,563 |
|
391 |
12,476 |
7,385 |
.. |
31,895 |
|
.. |
.. |
.. |
.. |
.. |
|
830 |
12,662 |
7,357 |
.. |
32,169 |
Таблица 2.2 с данными ламп предоставленные Алексеем Надёжиным, проект Lamptest.ru [1]
|
Тип лампы |
cfl |
cfl |
.. |
std |
|---|---|---|---|---|
|
Длина волны (округл до 0,1 нм) |
Космос LED20WA60E2745 |
Osram |
.. |
Osram |
|
390 |
0,0005 |
0,0005 |
.. |
0,0182 |
|
391 |
0,0005 |
0,0005 |
.. |
0,0189 |
|
392 |
0,0004 |
0,0005 |
.. |
0,0195 |
|
.. |
.. |
.. |
.. |
.. |
|
830 |
0,0001 |
0,0002 |
.. |
0,9250 |
Для моделирования восприятия цвета необходимо перемножить спектр отражения (при идеальном источнике освещения), спектр излучения (источника, освещающего нашу цветовую мишень) и спектр восприятия колбочек. Так мы получим координаты в цветовом пространстве LMS [4]. Для оценки различия мы использовали формулу цветовой разницы
Сравнивали мы только пигменты похожих цветовых оттенков, под одним и тем же источником освещения, так как сравнение двух разных пигментов под разными источниками освещения и сравнение одних и тех же пигментов нам ничего не даст.
На рисунке 2.1 мы создаем список colors и переменные L, M, S. рассчитываем L, M и S, в циклах перебираем все возможные комбинации ламп и пигментов и считаем для них LMS на определенных длинах волн, в colors записываем координаты в цветовом пространстве LMS для всех возможных полученных цветов
Рис 2.1 Расчет L, M и S для конкретных пигментов, ламп на определенных длинах волн
colors = []
L = 0
M = 0
S = 0
for l in range(1, len(ls[1]) - 1):
for p_col in range(1,len(pg[1]) - 1):
L = 0
M = 0
S = 0
for st in range(len(ls)):
L = L + ls[st][l] * pg[st][p_col] * lms[st][1]
M = M + ls[st][l] * pg[st][p_col] * lms[st][2]
S = S + ls[st][l] * pg[st][p_col] * lms[st][3]
colors.append([])
colors[l-1].append([L, M, S])
Создаем словарь Entfernungen, в который записываем все цветовые разницы для всех возможных пар пигментов под одним источником освещения.
Рис 2.2 Расчет цветовой разницы
Entfernungen = {}
for l in range(len(colors)):
for p in range(len(colors[l])):
l2 = l
nach = 0
if l == l2:
nach = p + 1
for p2 in range(nach, len(colors[l2])):
c1 = colors[l][p]
c2 = colors[l2][p2]
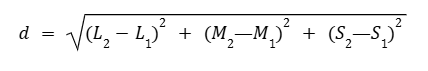
d = ((c2[0]-c1[0])**2+(c2[1]-c1[1])**2+(c2[2]-c1[2])**2)**0.5
Entfernungen[l,p, l2,p2] = d
Полученные данные о цветовом расстоянии были занесены в таблицу вместе с информацией о сравниваемых пигментах и освещающих их лампах. L1, L2 — номера ламп, difference — полученное цветовое расстояние, CRI выбранной лампы, TM-30 лампы, P1, P2 номера сравниваемых пигментов.
Таблица 2.3 с цветовой разностью между парами пигментов
|
Лампа |
Цветовая разница |
CRI лампы |
TM-30 |
Пигмент 1 |
Пигмент 2 |
|
Лисма |
0,03 |
82 |
84 |
NR4 |
PR |
|
REV 32430 0 |
0,08 |
100 |
100 |
PR264 |
PR |
|
.. |
.. |
.. |
.. |
.. |
.. |
Была создана сводная таблица 2.4, в которой демонстрируется, какие пигменты обладают цветовой разницей d меньше 0,2.
Таблица 2.4 Количество пар пигментов под освещением с определенным CRI с цветовой разницей d меньше 0,2.
|
|
Пара 1 |
Пара 2 |
Пара 3 |
... |
Пара N |
|
|
PB31 |
PR264 |
PR264 |
.. |
PY39 |
|
CRI лампы |
PB30 blue bice |
NR4carmine lake |
PR alizarine |
.. |
PY lead tin 2 yellow |
|
82 |
|
|
|
.. |
|
|
82 |
|
|
|
.. |
|
|
84 |
|
|
|
.. |
|
|
85 |
|
|
|
.. |
|
|
88 |
|
|
|
.. |
|
|
91 |
|
1 |
1 |
.. |
|
|
94 |
|
1 |
1 |
.. |
|
|
95 |
|
1 |
1 |
.. |
1 |
|
96 |
|
1 |
1 |
.. |
|
|
98 |
|
1 |
1 |
.. |
|
|
98 |
|
1 |
1 |
.. |
|
|
100 |
1 |
1 |
1 |
.. |
1 |
На основании результатов нашего исследования мы сделали прототип колорчекера (см. рисунок 3.3.) Мы выбрали три пары пигментов:
-
PR264 (pyrrole red rubine) и NR4 (carmine lake)
-
PR264 (pyrrole red rubine) и PR (alizarine)
-
PB31 (blue egyptian) и PB30 (blue bice).
Сравнение первых двух пар позволит выявить источники света выше CRI 90, а третья пара позволит выявить источники света с CRI близким к 100.
Список литературы
-
lamptest.ru URL: https://lamptest.ru/review/
-
Глаз, , зрение / Хьюбел Дэвид, Мир, 1990.
-
CHSOS URL: https://chsopensource.org/services/
-
Цвет: от шестнадцатеричных кодов до глаза // Habr URL: https://habr.com/ru/articles/353 582/
-
Cone Fundamentals // URL: http://www.cvrl.org/cones.htm
-
В чем разница между CRI и CQS, & IES TM-30 и почему это важно? // Unitop URL: https://www.unitopledstrip.com/ru/difference‑between‑cri‑cqs‑ies‑tm-30/ (дата обращения: 28.04.24).
-
Палочки и колбочки // МГК URL: https://mgkl.ru/patient/stroenie‑glaza/palochki‑i-kolbochki (дата обращения: 28.04.24)
-
Влияние внешнего освещения на принятие оценочного решения о качестве полиграфических оттисков // КомпьюАрт URL: https://compuart.ru/article/19 083 (дата обращения: 28.04.24).
-
Stockman, A., & Sharpe, L. T. (2000). Spectral sensitivities of the middleand long‑wavelength sensitive cones derived from measurements in observers of known genotype. Vision Research, 40, 1711–1737.
-
Pigments Checker // CHSOS URL: https://chsopensource.org/pigments‑checker/
Дата написания работы - май 2024 года
Авторы
Иннокентий Глухов
ученик 10 класса школы №1553 имени В.И.Вернадского
Илья Петров
Научный руководитель
Автор: Robgnokfar
