
Шельфовая ветровая электростанция Sheringham Shoal, Великобритания
Критики альтернативной энергетики часто говорят, что она развивается только благодаря государственным субсидиям и налоговым льготам. Якобы себестоимость «зелёной» энергии гораздо выше, чем традиционной, получаемой от сжигания углеводородов и расщепления атомных ядер. До недавнего времени так и было. Но правда в том, что альтернативная энергетика становится более рентабельной с каждым годом. Сейчас европейская ветровая энергетика приближается к важному рубежу: планируются три новых ветровые станции на прибрежном шельфе, которые впервые будут построены без государственных субсидий.
Шельфовые ветровые электростанции по определению дороже, чем наземные установки. Здесь башни ветрогенераторов устанавливают на фундаменты из свай, забитых на глубину до 30 метров. Для передачи энергии на берег нужно прокладывать подводные кабели длиной в десятки километров.
Шельфовым ветровым электростанциям требуются более высокие башни и более массивные фундаменты, а солёная вода угрожает коррозией металлических конструкций. Во всех отношениях морские ветряки гораздо дороже, чем наземные аналоги. Правда, у них есть и важное преимущество — они имеют бóльшую эффективность из-за регулярных морских ветров. Но это не влияет на высокую стоимость строительства морских конструкций.
Однако европейцам удалось довести до рентабельности даже шельфовые ветровые электростанции. Инвесторы решили, что их выгодно строить даже без государственных субсидий. Правда, это пока теоретические планы, которые предусматривают установку ветрогенераторов на 13 и 15 МВт, а таких ещё не существует. Сейчас самая большая турбина имеет мощность только 8 МВт. Но немецкие инвесторы расчитывают, что через несколько лет производители — Siemens Gamesa и MHI Vestas Offshore Wind — изготовят-таки требуемое оборудование. Понадобятся не только ветрогенераторы, но и новые системы передачи электроэнергии по морскому дну: несколько инновационных технологий сейчас проходят испытания.
Возможно, в строительстве первых рентабельных шельфовых ветровых электростанций будет участвовать одна из крупнейших в мире фирм-производителей ветрогенераторов и ветровых электростанций — Siemens Gamesa Renewable Energy. Свою экспертную оценку даёт Бент Кристенсен (Bent Christensen), который в компании Siemens Gamesa Renewable Energy отвечает за финансовое прогнозирование стоимости электроэнергии. Он объясняет, что в 2013 году новые проекты ветровых электростанций поставляли электроэнергию по цене примерно 160 евро за мегаватт-час, и тогда представители индустрии поставили «реалистичную долговременную цель» понизить стоимость энергии до 100 евро за мегаватт-час к 2020 году. Так вот, по его словам, эта цель достигнута уже сейчас.
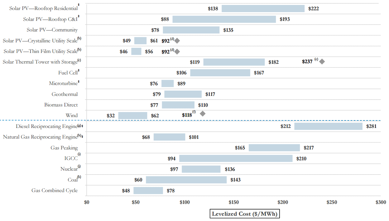
Эти оценки подтверждают независимые аналитики. Например, в декабре 2016 года финансовая консалтинговая компания Lazard опубликовала анализ рынка (pdf), в котором вывела несубсидируемую стоимость электроэнергии в новых шельфовых проектах в 105 евро за мегаватт-час, это снижение на 27% по сравнению с 2014 годом. Компания сделала вывод, что шельфовая энергия ветра дешевле, чем угольные электростанции, солнечные панели на крышах и даже дешевле, чем атомная энергия! На диаграмме приведена себестоимость без субсидий.

Три электростанции в Северном море, которые планируется построить без государственных субсидий, показаны на карте.
На карте показан также энергетический хаб, который будет концентрировать энергию от нескольких электростанций — и поставлять её в разные страны. Планируется проложить каналы в Великобританию, Нидерланды, Германию, Данию и Норвегию. По идее, владельцы станций могут продавать электроэнергию туда, где она дороже в данный момент. Энергетический хаб предолагают сделать на одном или нескольких искусственных островах в Северном море (см. видео).
На острове могут посменно жить техники, которые обслуживают ветрогенераторы, там будут храниться запчасти и швартоваться служебные суда. По идее, это удешевит обслуживание ветровых электростанций поблизости. Но главное, что остров снизит потери на преобразование и передачу электроэнергии, здесь разместятся конвертеры HVDC, на сухой почве.
Три новых проекта обещают ещё сильнее снизить себестоимость электричества. Например, датская компания Dong Energy закладывается вообще в беспрецедентную цену 62 евро за мегаватт-час. Эта компания уже начала строить шельфовую электростанцию Hornsea Project One неподалёку в Северном море, которую позиционируют как самую большую шельфовую электростанцию в мире. 7-мегаваттные ветряки высотой по 190 метров в море займут в море территорию 407 км², что можно сравнить с довольно крупным городом. К 2020 году они выйдут на максимальную мощность 1,2 гигаватта, так что этот гигантский город-электростанция в 120 км от берега станет первой в мире ветровой электростанцией гигаваттного масштаба.
Ещё одну электростанцию в Северном море планирует немецкая компания Energie Baden-Württemberg, которая тоже рассчитывает на цену ниже 75 евро за мегаватт-час.
По мнению экспертов, такое стремительное падение цен вызвано сильной конкуренцией на всех фронтах — от производства ветрогенераторов до услуг по установке и прокладке кабелей.
Автор: alizar
