Если говорить об «электромагнетизме Максвелла», то народ в целом делится на две группы: первые считают, что знают на эту тему если не всё, то вполне достаточно. Потому что ничего сложного там нет. Вторые не совсем знают эту тему и не хотят знать. Так как непонятные формулы и вообще.
Натыкаясь в разных местах на то, как объясняются некоторые моменты: с одной стороны убедительно, с другой сомнительно, с третьей неверно, с четвертой, в принципе и верно… думаю, стоит на всякий случай приглядеться им, а так как начать придется от оснований, то и «самые маленькие» могут поднянуться без боязни формул.
Прежде всего нас будет интересовать, как образуются и распространяются электромагнитные волны от «электрических» и «магнитных» полей, а посему сразу лакмусовая бумажка:
Если эта схема вам прекрасно знакома и не вызывает рефлекса кое-что пояснить и дополнить, чтобы не ввела других в заблуждение, то прошу под кат. Если она вам прекрасно знакома, и вы поняли, что там требуется допояснять, то гуляйте дальше) Пост не для вас.
Если схема не очень знакома или понятна, можете заглянуть.
Чтобы идти по порядку, начнем с далека, а именно — возьмем и рассмотрим окружность. Казалось бы, о чем тут говорить, фигуры проще не бывает. С детства мы привыкли рисовать, взяв точку-центр на бумаге и очертив все точки на одинаковом от центра расстоянии.
Потом мы узнаем другие способы «нарисовать» круг. Казалось бы, совсем разные принципы, а ведут к одному и тому же.
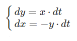
Возьмем один из них, один из полезнейших на мой взгляд:
Что это было? Ничто иное, как дифференциальное уравнение окружности. Смысл которого звучит так:
«Есть две взаимодействующие сущности. Первая прикладывает силы, чтобы усилить вторую. Вторая, по мере сил, пытается ослабить первую.»
Эту динамику мы можем записать в форме самой простой системы дифф. уравнений в мире (не считая экспоненты)

Образно говоря, в любой момент очень короткого периода одинаковой длины «dt», изменение «у» (т.е. «dy») зависит от величины «x».
При этом в этот же момент изменение «x» (т.е. «dx») зависит от величины «y».
Оба уравнения аналогичны уравнению механики макромасштабов — «расстояние = скорость * время». Только в данном случае отрезки «dt» очень малы (а точнее, бесконечно малы, но сути не меняет).
При чем все эти зависимости линейные, и об окружности им ничего не известно. А принцип инь-ян проявляется в противостоящих знаках воздействия одного элемента на другой.
Если система находится не в равновесии, т.е. «x» и «y» не равны нулю, это взаимодействие, складывая все микро-отрезки времени, приведет к бесконечному циклу колебаний.
<html>
<body>
<canvas height='300' width='300' id='cnv' style="border: 1px solid black"></canvas>
<canvas height='300' width='200' id='cnv2' style="border: 1px solid black"></canvas>
<script>
var cnv = document.getElementById("cnv");
var cx = cnv.getContext('2d');
var cnv2 = document.getElementById("cnv2");
var cx2 = cnv2.getContext('2d');
var h = parseInt(cnv.getAttribute("height"));
var w = parseInt(cnv.getAttribute("width"));
var h2 = parseInt(cnv2.getAttribute("height"));
var w2 = parseInt(cnv2.getAttribute("width"));
var id = cx.createImageData(w, h);
var id2 = cx2.createImageData(w2, h);
var rd = Math.round;
var x = 0, y = 1, x1, y1;
var dt = 0.0001;
var t=0;
i=1000000; while (i--) {
dx = -y;
dy = x;
x1 = x + dx*dt;
y1 = y + dy*dt;
t = t + dt;
x = x1; y = y1;
// draw (x, y)
drawOn(id, rd(100*x + 150), rd(100*y + 150), w, h, 0, 0, 0);
// draw x(t), y(t)
drawOn(id2, rd(10*t), rd(100*y + 150), w2, h2, 255, 0, 0);
drawOn(id2, rd(10*t), rd(100*x + 150), w2, h2, 0, 0, 255);
}
drawHorizLine(id, 0, w, h/2, w, h);
drawHorizLine(id2, 0, w2, h2/2, w2, h2);
cx.putImageData(id, 0, 0);
cx2.putImageData(id2, 0, 0);
function drawOn(id, x, y, w, h, red, green, blue) {
if (x < w && y < h && x >=0 && y >=0) {
var idx = 4*(x + y*w);
id.data[idx] = red;
id.data[idx+1] = green;
id.data[idx+2] = blue;
id.data[idx+3] = 255;
}
}
function drawHorizLine(id, xFrom, xTo, y, w, h) {
for (var x = xFrom; x < xTo; x++) {
drawOn(id, x, y, w, h, 0, 0, 0);
}
}
</script>
</body>
</html>
Из этого же представления мы получаем как результат — функции синус и косинус, т.к. «х» и «у» ими соответственно и являются (с точностью до масштаба).
Отсюда же сразу понятно, почему производная синуса — косинус, косинуса — минус синус… и почему цепочка производных зацикливается. И тянется в бесконечность…
Если посмотреть на «x» и «y» (синус и косинус) на одной оси, то они конечно сдвинуты на пи/2

Итак, к чему все это.
Вернемся к электромагнитным волнам. Пустое 3-хмерное пространство. Как известно, два вида полей, электрическое и магнитное, проявляют схожую зависимость между собой.
Грубо говоря, изменение интенсивности магнитного поля порождает разницу электрического потенциала (закон Фарадея). И так же изменение электрического потенциала в точке пространства порождает магнитное поле (закон Ампера).
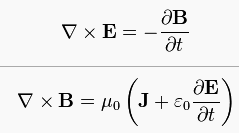
В уравнениях Максвелла эти зависимости между «E» (электрическое поле) и «B» (магнитное поле) выглядят так

(еще два дополнительных уравнения сводятся к «закону сохранения энергии», и нам не будут интересны)
Прежде чем вникать в детали, следует заметить, что эта система дифф.ур. очень похожа на дифф. ур. инь-яна. Главные элементы здесь — «E», «B» и «t», на остальные параметры можно не обращать внимания, например «J» это внешнее электрическое воздействие, которое не будем рассматривать, а остальное можно принять за константы и забыть.
Кроме этого надо заметить, что и «Е», и «B», это не просто два числа, а поля трехмерных векторов в каждой точке трехмерного пространства. Но это тоже в данном случае ничего кардинально не меняет.
Зато важный элемент — треугольник с крестиком перед «Е» и «B», т.н. «ротор» поля. Из-за него как раз рождаются определенные сомнения и вопросы. К ротору вернемся чуть позже, посмотрим, что за вопросы и неясности вызывает.
Итак, мы видели, что круговая динамика это две связанные величины, которые на одном графике от времени, представляют собой две волны со сдвигом пи/2.
Таким же образом из начального возмущения распространяется электромагнитная волна, через зацикленность интенсивностей и их изменений. Изменение электрического поля порождает магнитное поле, которое, увеличиваясь (=изменяясь), порождает обратное электрическое поле, которое… и т.д. Это классическое (и верное) объяснение, известное наверное каждому.
Но… посмотрим на схему с которой все началось:

Сдвиг… где тут сдвиг? Векторы, обозначающие интенсивности полей, колеблются в одной фазе!
Ошибка? Смотрим на вики. Там то же самое. Ошибка на вики? Смотрим гугл. Что там у нас?
Какие-то непонятные споры… Должен быть сдвиг или нет? Консенсуса нет. Одни говорят «сдвиг должен быть, там везде все неправильно». Другие «доказывают», что правильно. Шок, как так? Идеальная и элегантная теория, которой 300 лет в обед, и еще какие-то неясности?
Например объяснение: www.sciforums.com/threads/luminiferous-ether.57402
Hi BillyT,
From my understanding Vern is correct. Your citation of Maxwell's equation is a good idea, but you are incomplete. In free space you have no currents and no charges so Maxwell's 4 equations simplify down to 2 equations (considering a single spatial dimension):
dE/dx = -dB/dt
dE/dt = -c2 dB/dxSo when the temporal derivative of one is maximal the spatial derivative of the other is minimal (maximally negative). If you consider a simple single-frequency sinusoidal plane wave you find that this happens for E and B in phase. In the above equations:
E = Emax cos(kx-wt)
B = Bmax cos(kx-wt)
Вот, вышло, что должны быть в фазе. И еще в разных местах в интернете другие вариации на эту тему.
Правильно ли? Нет, неправильно.
Почему неправильно? Потому что ротор поля это не его производная по пространству!
dE/dx — так нельзя.
В других местах «упрощают» пространство до двумерного другими способами и получают тот же результат. Так тоже нельзя, ротору нужны 3 измерения (не меньше).
Посмотрим, что за это несчастный ротор. Думаю, вещь знакомая со школы.
Дело в том, что изменение электрического поля порождает не абы какое магнитное поле, а «закрученное». Типичный пример, изначальный ток по проводу, порождающий изменение электропотенциала вдоль линии провода, создает закрученное вокруг провода магнитное поле.

То же самое с изменяющимся потенциалом магнитного поля, если изменение имеет векторную направленность, электрическое напряжение будет закручено вокруг него.

Поэтому ротор поля это не дифференциал, это специальный способ выразить его значение (наподобие смены системы координат), иначе говоря, ротор — это и есть значение поля.
Как в итоге выглядит каскадная зацикленная волна таких закрученностей?
Довольно сложно описать…
Совсем упрощенная схема выглядит так

Но это большое упрощение, такой картинки с колечками вообще не возникает, т.к. все находится во вращении и это скорее спирали, вращающиеся вокруг друг друга. Но при этом и не спирали, т.к. расходятся в пространстве, и взаимосложение даст еще более дивную картину.
Однако в любом случае… сдвиг на пи/2 есть.
Что же насчет классического рисунка? Классический рисунок представляет собой пример однонаправленной волны линейной поляризации… Что-то похожее на лазер. Такую поляризованную волну можно получить, прибавляя к электро- волне круговой поляризации ее зеркальное отражение (стереоизомер). Получится ли после такого сложения волна с колебаниями электропотенциала и магнитной интенсивности в одной фазе?
Следует помнить, что стереоизомеры вращательно-поляризованных волн не симметричны, т.к. векторы сопуствующего магнитного поля всегда повернуты под прямым углом в одну и ту же сторону.
А поэтому… вполне возможно? Или вполне возможно нет?
Автор: mkovalevich
