Сегодня научная коллаборация LIGO-Virgo объявила об обнаружении гравитационных волн от второго источника и обнародовала результаты первого научного цикла наблюдений (всего три события за четыре месяца наблюдений). Статья опубликована в Physical Review Letters.

GW151226 в деталях
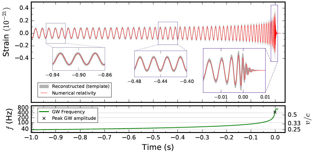
В феврале ученые объявили об первом прямом наблюдении гравитационных волн, а теперь опубликованы результаты второго события, которое случилось 26 декабря 2015 года и носит условное название GW151226. На этот раз сигнал оказался не столь четкий (соотношение сигнал-шум 13), но достоверность по-прежнему больше 5σ. Сигнал возник при слиянии двух черных дыр массами 14.2 и 7.5 солнечной в одну — массой 20 солнечных. Разница в массе (в 2 солнечных) была преобразована в энергию гравитационных волн.

Большим отличием по сравнению с предыдущим открытием состоит в необходимости дополнительного согласованного фильтра для извлечения сигнала из шума. Как видно на картинке, в шуме сложно увидеть сигнал непосредственно, поэтому ученые используют знания о шумах детекторов и модели для процесса слияния черных дыр.
Вторым отличием является сам сигнал — масса системы черных дыр значительно меньше, и процесс слияния занимает дольше времени: около 1 секунды и 45 обращений черных дыр друг вокруг друга (для сравнения, в предыдущем событии слияние длилось всего 0.2 секунды).

Как и раньше, на оба детектора (Ливингстон и Хэнфорд) пришел сигнал, что позволило исключить локальные ошибки, а также сделать оценку и на расстояние до объекта — около 440 МПк (триангуляцией).
Первый научный цикл
В январе 2016 завершился первый научный цикл работы детекторов и сейчас они проходят процедуру обновления — будет увеличена мощность лазеров и внесены другие изменения, что позволит значительно увеличить чувствительность. Всего за четыре месяца работы детектора было зарегистрировано три события, соответствующих слиянию двух черных дыр: два с достоверностью больше 5σ, а одно с низкой достоверностью (87%). Оба главных события отлично согласуются с предсказаниями Общей Теории Относительности.
Эти открытия позволяют тестировать множество предсказаний, которые дает ОТО, а также давать оценки на параметры систем, которые мы наблюдаем, и тем самым проверять те или иные расширения ОТО (и другие теории гравитцаии).
Откуда мы знаем, что мы действительно обнаружили гравитационные волны

На самом деле сигнал должен соответствовать многим критериям, что мы могли утверждать, что это действительно гравитационная волна. Во-первых, амплитуда сигнала должна быть значительно больше шумов в системе. Сам детектор чрезвычайно чувствителен, и множество разнообразных источников шума мешают измерениям: это и сейсмические шумы, и электронные, и лазерные, и тепловые, и множество других. Детекторы тщательно характеризуются на предмет восприимчивости к этим шумам, а сами шумы — измеряются непрерывно. Затем эти данные используются для фильтрации сигнала.
Во-вторых, нужно удостовериться, что ничто другое не могло вызвать такой сигнал. Существует множество нестационарных явлений (глитчи), которые возникают изредка и на короткое время и могут иметь форму очень похожую на грав. волну. Ученые ищут возможные источники таких явлений, изучают их, воспроизводят, проверят отклик системы на них и классифицируют. Это дает возможность сопоставлять зарегистрированный сигнал с известными источниками и делать вывод о похожести на глитч.
Наконец, измерения производятся на двух независимых детекторах, разнесенных на несколько тысяч километров. Любое локальное явление проявилось бы только одном из них, а гравитационная волна действует сразу на оба.
В итоге, залог успеха — очень хорошо знать как сам детектор, так и все возможные источники шумов вокруг, и производить независимые измерения по нескольким каналам.
Что теперь?
Открытие грав. волн. было, несомненно, одним из важнейших событий в современной физике. За эти несколько месяцев основатели LIGO получили уже 4 награды, включая приз Мильнера за прорыв в науке, да и нобелевка не за горами. Но второе наблюдение в некотором смысле даже важнее — это значит, мы можем действительно наблюдать десятки событий в год. Это уже не просто везение, а научный прогресс. Детекторы будут обновлены, построен новый в Индии, запущен после обновления Virgo в Италии, и подземная криогенная KAGRA в Японии — и мы сможем наблюдать не только слияния черных дыр, но и парные нейтронные звезды, и взрывы сверхновых...Недавние успехи в пробном космическом интерферометре — LISA Pathfinder — дают нам надежду на строительство гигантских космических детекторов для наблюдения за низкочастотными сигналами — сверхмассивными черными дырами в центре галактик.
Теперь остается немного подождать — и надеяться, что результаты этих наблюдений не совпадут с какой-либо из наших теорий, и заставят нас снова двигаться вперед и искать более глубокое понимание законов природы.
Больше о гравитационных волнах
- Статья о первом детектировании и отличный обзор с подробностями
- Официальный сайт LIGO о первом событии, и подробностями детектирования
- Недавнее интересное интервью с Кипом Торном
Автор: Shkaff
