Факт никогда не шёл рука об руку с чудом. Правда презирает помощь чудес. Факт совпадёт с любым другим фактом во вселенной, и именно так можно узнать, является он фактом или нет. Ложь не совпадёт ни с чем, кроме другой лжи.
— Роберт Грин Ингерсолл
Один из самых удивительных фактов, касающихся Вселенной – то, что она познаваема! Несколько основных законов, свойств и частиц, насколько мы знаем, может привести нас от горячей, плотной и почти однородной Вселенной к сложной системе из миллиардов звёзд в миллиардах галактик, наблюдаемых нами.

Один из самых удивительных, но и самых надёжных результатов исследования Вселенной – то, что тёмная материя, одна из форм материи, не взаимодействующая со светом, атомами или сама с собой, за исключением гравитационного взаимодействия, не только существует, но и преобладает над количеством атомов в пять раз!
К этому заключению приводит огромное количество доказательств, двумя лучшими из которых служат флюктуации в реликтовом излучении

и распределение галактик – известное, как крупномасштабные структуры – по Вселенной.

Что нам хотелось бы сделать дальше, так это выяснить, как создать и/или обнаружить тёмную материю, чтобы понять, что она собой представляет.
К сожалению, поскольку она не взаимодействует с обычной материей, кроме как через гравитацию, а гравитация слабее раз в 1030, чем остальные известные взаимодействия, нам пока это сделать не удалось. Но один из вопросов, которые мы можем задать, и ответить через наблюдения – какова кинетическая энергия тёмной материи по отношению к её массе.

Флюктуации реликтового излучения от этого совершенно не зависят. Тёмная материя могла бы двигаться с ультрарелятивистскими скоростями, или вообще практически не двигаться, и эти флюктуации вообще бы никак не изменились.
Но многие вещи чувствительны к скорости тёмной материи. В качестве аналогии подумайте о ней, как о молекулах внутри шарика.

Если молекулы двигаются быстро, это означает высокую температуру, и шарик подвергается давлению изнутри, в результате чего он становится большим, а газ в шарике – разреженным.
С другой стороны, если молекулы двигаются медленно, это соответствует малой температуре, давление шара изнутри небольшое, и он становится маленьким, а газ внутри него – плотным.
Но эту аналогию нельзя применить к тёмной материи полностью. Обычные молекулы сталкиваются между собой и с поверхностью шара. Тёмная материя просто летает с той скоростью, какая у неё имеется в расширяющейся Вселенной. Она может либо двигаться достаточно медленно, чтобы способствовать гравитационному коллапсу объектов (и формированию звёзд, галактик, скоплений, и т.п.), или двигаться быстро, затрудняя их формирование.
Заглянем в прошлое Вселенной, чтобы прояснить этот вопрос.

Мы увидим множество структур, накладывающих ограничение на температуру, или скорость тёмной материи. Во Вселенной возрастом в несколько сотен миллионов лет мы обнаружим не только галактики или квазары, хотя и их наличие очень важно.

Мы обнаружим на меньших масштабах сколлапсировавшие частички изначального водорода, очень плотные и холодные. Из-за глубины и малой ширины линий на графиков – линии поглощения холодных кусочков водорода в ранней Вселенной – мы можем неплохо ограничить скорость движения тёмной материи.

Так что мы можем отвергнуть представление о горячей тёмной материи, большую часть которой составляет некое подобие обычных релятивистских нейтрино малой массы. Но мы можем провести симуляцию разных температур тёмной материи – горячей, холодной, или чего-то среднего, и посмотреть на получаемые предсказания.

Сверху вниз – модели холодной, тёплой и горячей тёмной материи
Тут начинается самое интересное. Холодная и тёплая ТМ дают результаты, в целом совпадающие с наблюдениями за структурами малых и крупных масштабов. На масштабах от сотен тысяч световых лет и выше эти два типа ТМ формируют почти неотличимые структуры. Но на меньших масштабах, не превышающих отдельную крупную галактику, существуют весьма явные различия.

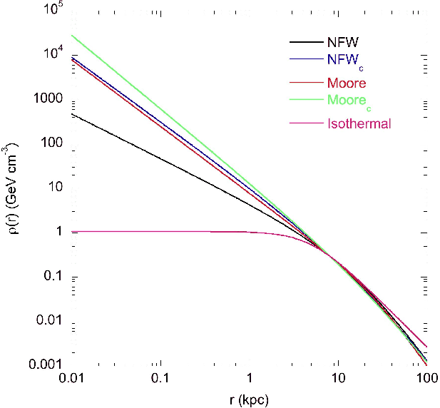
Для симуляции можно изучить отдельные галактики и воссоздать распределение тёмной материи в них. Предсказания теории холодной ТМ совпадают с четырьмя верхними линиями, которые сложно примирить с наблюдениями. Изотермическая модель (нижняя линия) всегда работает лучше, но для неё нет подходящих кандидатов среди частиц (а для холодной ТМ есть WIMPы, аксионы и куча других кандидатов).
Но астрономы давно считают, что тёплая ТМ подошла бы лучше. Физики предпочитали холодную ТМ, поскольку её легче было бы обнаружить – именно там и сконцентрированы усилия большинства проектов, включая CDMS, XENON, Edelweiss и БАК.

Но давно уже существовала другая загадка. На масштабах отдельных галактик типа нашего Млечного пути, холодная ТМ предсказывает большое количество комковатых галактик-спутников. И хотя в нашей локальной группе их много, но всё же не так много, как нужно.
Карлос Френк [Carlos Frenk] из Даремского университета – а буква F в профиле NFW взята именно из его фамилии – последние несколько лет работал над набором очень чувствительных симуляций ТМ и формирования структур, в результате чего получил очень важные результаты.

Тёплая ТМ работает! Карликовые галактики вокруг Млечного пути не такие плотные и их не так много, как требовала того теория холодной ТМ, но результаты симуляции тёплой ТМ совпадают с наблюдениями!
Это особенно удивительно, поскольку мы можем сравнить результаты влияния холодной и тёплой ТМ на крупных масштабах, где наши наблюдения уже давно весьма точны.

Они одинаковые! На крупных масштабах холодная и тёплая ТМ дают идентичные результаты для скоплений. Это замечательно, ибо именно тут наша теория наилучшим образом совпадает с наблюдениями!
А на меньших масштабах?

Тёплая ТМ справляется лучше. Но если тёплая ТМ будет ответом на нашу астрономическую загадку, то что это будет означать для физики?
Это значит, что мы не найдём её там, где ищем сейчас. Возможно, это стерильные нейтрино; четвёртый вид нейтрино, не спаривающийся с другими так, как мы привыкли? Возможно, это новый тип частиц, о котором мы не думали ранее? Возможно, это нечто вроде аксиона, только рождённого не холодным (как предсказывает стандартная теория), или горячим (в виде термального реликта), а тёплым, благодаря новому типу взаимодействий или спариваний?
Как бы там ни было, пришло время вновь открыть дверь для тёплой ТМ, а не отметать эту идею из-за отсутствия подходящих частиц-кандидатов. Гравитация и формирование структур не врут, так прислушаемся же к тому, что они говорят нам!
Автор: SLY_G
