Не совсем тематическая для меня статья, но мне показалось интересным рассказать про астероидную опасность. В принципе, это заезженная тема, но в последние годы постепенно обретает другое содержание, поэтому, думаю, будет интересно.
Импакт

Моделирование атмосферного взрыва Тунгусского метеорита. Современные оценки дают мощность этого импакта в 5..15 мегатонн.
Импактом называется попадание астероида (в принципе любого размера) в Землю, с последующим выделением кинетической его энергии в атмосфере или на поверхности. Чем мельче импакт по энергии, тем чаще он происходит. Энергия импакта является хорошим способом определить опасно ли космическое тело для земли или нет. Первый такой порог — это где-то 100 килотонн тротилового эквивалента энерговыделения, когда прилетающий астероид (который по входу в атмосферу начинает именоваться метеоритом) перестает ограничиваться попаданием в ютьюб, а начинает приносить беды. Хорошим примером такого порогового события является челябинский метеорит 2014 года — небольшое тело характерными размерами 15...20 метров и массой ~10 тысяч тонн своей ударной волной нанесло повреждений на миллиард рублей и поранило ~300 человек.
Подборка видео падения Челябинского метеорита.
Однако челябинский метеорит целился очень хорошо, да и в целом не особо нарушил жизнь даже Челябинска, не говоря уже о всей Земле. Вероятность случайного попадания в густонаселенную территорию при столкновении с нашей планетой составляет порядка нескольких процентов, поэтому реальный порог опасных объектов начинается с мощности в 1000 раз больше — порядка сотен мегатонн, характерной энергии импакта для тел калибра 140-170 метров.

В отличии от ядерного оружия, энерговыделение метеоритов более размазано в пространстве и времени, поэтому слегка менее смертоностно. На фото — взрыв ядерной установки Ivy Mike, 10 мегатонн.
Такой метеор имеет радиус поражения в сотню километров, и удачно приземлившись, может прекратить многие миллионы жизней. Разумеется в космосе есть камни и побольше размером — 500 метровый астероид устроит региональную катастрофу, затронув местность в тысячах километров от места своего падения, полуторакилометровому под сил стереть жизнь с четверти поверхности планеты, а 10 километровый устроит новое массовое вымирание и точно уничтожит цивилизацию.
Теперь, когда мы откалибровали уровень Армагеддона от размера, можно перейти к науке.
Околоземные астероиды
Импактором может, понятно, стать только тот астероид, орбита которого в будущем пересечет траекторию Земли. Проблема в том, что сначала такой астероид надо увидеть, затем измерить его траекторию с достаточной точностью и промоделировать ее в будущее. До 80-х годов количество известных астероидов, которые пересекали орбиту Земли исчислялось десятками, и ни один из них не представлял опасности (не проходил ближе 7,5 млн километров от орбиты Земли при моделировании динамики, скажем, на 1000 лет вперед). Поэтому изучение астероидной опасности в основном сосредотачивалось на вероятностном расчете — сколько тел размером более 140 метров может быть на пересекающих Землю орбитах? Как часто происходят импакты? Опасность оценивалась вероятностно “в следующем десятилетии получить импакт мощностью больше 100 мегатонн составляет 10^-5”, но вероятность не означает, что мы не получим глобальную катастрофу уже завтра.

Расчет вероятной частоты импактов в зависимости от энергии. По вертикальной оси частота «случаев в год», по горизонтальной — мощность импакта в килотоннах. Горизонтальные полоски — допуски на величину. Красные отметки — наблюдения реальных импактов с ошибкой.
Однако качественный и количественный рост приводит к быстрому росту количества обнаруженных околоземных объектов. Появление в 90х ПЗС матриц на телескопах (которые подняли их чувствительность на 1-1,5 порядка) и одновременно автоматических алгоритмов обработки изображений ночного неба привело к росту темпа обнаружения астероидов (в т.ч. околоземных) на два порядка на рубеже веков.
Хорошая анимация обнаружения и движения астероидов с 1982 по 2012 год. Околоземные астероиды обозначены красным.
В 1998-1999 в строй вступает проект LINEAR — два телескопа-робота апертурой всего в 1 метр, снабженные всего 5-мегапиксельной (позже вы поймете, откуда “всего”) матрицей, с задачей обнаружений как можно большего количества астероидов и комет, в т.ч. околоземных. Это был не первый проект подобной направленности (на пару лет раньше был еще достаточно успешный NEAT), но первый, специально спроектированный для этой задачи. Телескоп отличали следующие особенности, которые затем станут стандартом:
- Специальная астрономическая матрица ПЗС, с обратной засветкой пикселя, увеличившая ее квантовую эффективность (количество зарегистрированных падающих фотонов) до почти до 100%, против 30% у стандартных не астрономических.
- Широкоугольный телескоп, позволяющих за ночь снимать очень большую поверхность неба
- Частный каденс — телескоп за ночь 5 раз фотографировал один и тот же участок неба с разрывом в 28 минут и повторял эту процедуру через две недели. Экспозиция кадра при этом составляла всего 10 секунд, после чего телескоп переходил на следующее поле.
- Специальные алгоритмы, которые вычитали из кадра звезды по каталогу (это было новшество) и искали движущиеся группы пикселей с определенными угловыми скоростями.

Оригинальный снимок (сложение 5 экспозиций с каденсом 28 минут) телескопа LINEAR и после обработки алгоритмом. Красный кружок — околоземный астероид, желтые кружки — астероиды главного пояса.

Сам телескоп проекта LINEAR, расположенный в White Sands, штат Нью Мексико.
LINEAR станет звездой первой величины астероидного поиска, обнаружив за 12 следующих лет 230 тысяч астероидов и в том числе 2300 пересекающих орбиту Земли. Благодаря еще одному проекту MPC (Minor Planet Center) информация по найденным кандидатам в астероиды распространяется по разным обсерваториям для доп измерений орбит. В 2000-х в строй вступает похожий автоматизированный обзор неба Catalina (который будет больше нацелен на поиск именно околоземных объектов, и будет находить их сотнями в год).

Количество обнаруженных разными проектами околоземных астероидов по годам
Постепенно оценки вероятности Армагеддона вообще начинают уступать оценкам вероятности смерти от конкретного астероида. Среди сначала сотен, а затем тысяч околоземных астероидов выделяется примерно 10% чьи орбиты проходят ближе 0,05 астрономических единиц от орбиты Земли (примерно 7,5 млн км), при этом размер астероида должен превышать размер 100-150 метров (абсолютную звездную величину тела солнечной системы H<22 ).
В конце 2004 НАСА рассказало миру о том, что обнаруженный в начале года астероид Апофис 99942 с вероятностью 1 к 233 попадет в Землю в 2029 году. Астероид, по современным измерениям имеет диаметр около 330 метров и оценочную массу в 4 миллиона тонн, что дает примерно 800 мегатонн энергии взрыва.

Радарное изображение астероида Апофис. Измерение траектории радаром в обсерватории Аресибо позволило уточнить орбиту и исключить вероятность столкновения с Землей.
Вероятность
Однако на примере Апофиса всплыла та самая вероятность конкретного тела стать импактором. Зная орбиту астероида с конечной точностью и интегрируя его траекторию опять же с конечной точностью, к моменту потенциального столкновения можно оценить только эллипс, в который придется, скажем, 95% возможных траекторий. По мере уточнения параметров орбиты Апофиса эллипс уменьшался, пока из него окончательно не выпала планета Земля, и теперь известно, что 13 апреля 2029 года астероид пройдет на расстоянии не менее 31200 км от поверхности Земли (но опять же, это ближайший край эллипса ошибки).

Иллюстрация того, как сжималась трубка возможных орбит астероида Апофис в моменте возможного столкновения по мере уточнения параметров орбиты. В итоге Земля оказалась не затронута.

Еще одна интересная иллюстрация по Апофису — рассчет возможных точек столкновения (с учетом неопределенности) для столкновения в 2036 году. Видно, кстати, что траектория проходила рядом с местом падения Тунгусского метеорита.
Кстати, для быстрой оценки сравнительной опасности околоземных астероидов было разработано две шкалы — простая Туринская и более сложная Палермская. Туринская просто перемножает вероятность столкновения и размер оцениваемого тела, назначая ему значение от 0 до 10 (так, Апофис на пике вероятности столкновения имел 4 балла), а Палермская вычисляет логарифм соотношения вероятности импакта конкретного тела с фоновой вероятностью импакта такой энергии от сегодня до момента возможного столкновения.

При этом положительные значения по Палермской шкале означают, что одно единственное тело становиться более значимым потенциальным источником катастрофы, чем все остальные — открытые и неоткрытые вместе взятые. Еще один важный момент Палермской шкалы — это применяемая свертка вероятности импакта и его энергии, дающие довольно контринтуитивную кривую степени риска от размера астероида — да, 100 метровые камни вроде не способны причинять значимый ущерб, но их много и выпадают они относительно часто, в целом неся большее количество потенциальных жертв, чем 1,5 километровые “убийцы цивилизаций”.
Однако вернемся к истории обнаружения околоземных астероидов и средин них потенциально опасных объектов. В 2010 году в строй вступил первый телескоп системы Pan-STARRS, с сверхширокопольным телескопом апертурой 1,8 метра, оборудованный матрицей в 1400 мегапикселей!

Фотография галактики Андромеда с телескопа Pan-STARRS 1, позволяющая оценить его широкоугольность. Для сравнения в поле врисована полная луна и цветными квадратиками — «обычное» поле зрения больших астрономических телескопов.
В отличии от LINEAR он делает 30 секундные снимки с глубиной обзора в 22 зв. величины (т.е. мог обнаружить астероид размером 100-150 метров на расстоянии в 1 астрономическую единицу, против километрового предела на таком расстоянии для LINEAR), а высокопроизводительный сервер (1480 ядер и 2,5 петабайта жестких дисков) превращает снятые каждую ночь 10 терабайт в список транзиентных явлений. Тут надо отметить, что основное предназначение Pan-STARRS не поиск околоземных объектов, а звездная и галактическая астрономия — поиск изменений на небе, например далеких сверхновых, или катастрофических событий в тесных двойных системах. Однако в этом телескопе-бредне за год обнаруживались и сотни новых околоземных астероидов.

Серверная Pan-STARRS. Вообще говоря, фото аж 2012 года, сегодня проект довольно сильно расширился, добавлен второй телескоп, строится еще два.
Необходимо упомянуть и еще одну миссию — космический телескоп НАСА WISE и его продление NEOWISE. Этот аппарат делал снимки в далеком инфракрасном диапазоне, обнаруживая астероиды по их ИК свечению. Вообще говоря, изначально он был нацелен на поиск астероидов за орбитой Нептуна — объектов пояса Койпера, рассеянного диска и коричневых карликов, но в миссии-продлении, после того, как в телескопе закончился хладагент, и его температура стала слишком велика для первоначальной задачи, этим телескопом было найдено порядка 200 околоземных тел.
В итоге, за последние 30 лет количество известных околоземных астероидов выросло с ~50 до 15000. Из них на сегодня 1763 занесены в список потенциально опасных объектов, из которых ни один не имеет оценок больше 0 по Туринской и Палермской шкалам.
Много астероидов
Много это или мало? После миссии NEOWISE NASA сделала переоценку модельного количества астероидов так:

Здесь на картинке закрашенным изображены известные околоземные астероиды (не только опасные объекты), контурами — оценка существующих, но пока не найденных. Ситуация на 2012 год.
Сейчас оценки доли обнаруженных астероидов делаются через модельный синтез популяции и расчет видимости тел этой популяции с Земли. Такой подход позволяет хорошо оценить долю обнаруженных тел не только через экстраполяцию функции «размер-количество тел», но и с учетом видимости.

Красная и черная кривая — модельные оценки количества тел разных размеров на околоземных орбитах. Синие и зеленые пунктирные линии — обнаруженное количество.

Черная кривая из предыдущей картинки в табличной форме.
Здесь в таблице размеры астероидов приведены в единицах H — абсолютных звездных величин для объектов солнечной системы. Грубый пересчет в размеры производится по этой формуле и из него можно сделать вывод, что нам известно больше 90% околоземных объектов размером больше 500 метров и примерно половина размером с Апофис. Для тел от 100 до 150 метров известно всего около 35%.
Однако, можно вспомнить, что жалких 30 лет назад известно было около 0,1% опасных объектов, так что прогресс впечатляет.

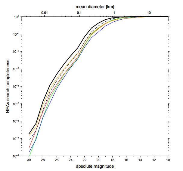
Еще одна оценка доли обнаруженный астероидов в зависимости от размера. Для тел размером в 100 метров сегодня детектированно несколько процентов об общего количества.
Однако это не конец истории. Сегодня в Чили сооружается телескоп LSST — еще один обзорный телескоп-монстр, который будет вооружен 8 метровой оптикой и 3,2 гигапиксельной камерой. За несколько лет, начиная с 2020, сняв примерно 50 петабайт (вообще девиз проекта «превращая небеса в базу данных) снимков LSST, должен обнаружить ~100,000 околоземных астероидов, определив орбиты почти 100% тел опасных размеров. Кстати, кроме астероидов телескоп должен выдать еще несколько миллиардов объектов и событий, а та самая база данных в итоге должна составить 30 триллионов строк, что представляет определенную сложность для современных СУБД.

Для выполнения своей задачи LSST имеет очень необычную оптическую схему, где третье зеркало помещено в центр первого.

Охлаждаемая до -110 С 3,2 гигапиксельная камера с зрачком 63 см — рабочий инструмент LSST.
Человечество спасено? Не совсем. Есть класс камней, находящихся на внутренних по отношению к Земле орбитах в резонансе 1:1, которые очень сложно увидеть с Земли, есть долгопериодические кометы — обычно относительно крупные тела, обладающие очень высокими по отношению к Земле скоростями (т.е. потенциально очень мощные импакторы), которые мы можем сегодня заметить за не более, чем 2-3 года до столкновения. Однако, фактически, впервые за последние три века, с тех пор, как родилась идея столкновения Земли с небесным телом, через несколько лет мы будем иметь базу данных траекторий подавляющего количества несущих Земле опасных тел.
В следующей части я опишу точку зрения науки по методам воздействия на опасные астероиды.
Автор: tnenergy
