
Аппараты миссии «Чанъэ-4» (спускаемый модуль и ровер) успешно выполнили научные исследования во время своего пятого лунного дня на обратной стороне Луны, прислав на Землю уже более 6,6 GB научных данных, а анализ части из них, полученных с помощь спектрометра ровера «Юйту-2» о составе мантии Луны, стал новым научным открытием.
А вот операторам ровера «Юйту-2» пришлось приложить некоторые усилия, чтобы компенсировать негативное влияние проблемы, возникшей в системе автономного вождения.
4. Гордость и страсть, история о превращении мечты в космический проект
5. Лунный орбитальный зонд NASA сделал первые снимки Китайской станции «Чанъэ-4» — два пикселя света
6. Модуль «Чанъэ-4» и ровер «Юйту-2» готовы ко второй ночи на обратной стороне Луны
7. Лунный орбитальный зонд NASA сделал новые снимки Китайской станции «Чанъэ-4» — ближе и яснее
8. Интересные факты об истории Китайской лунной программы и космической миссии «Чанъэ-4»
9. Миссия «Чанъэ-4» — третий лунный день. Ровер «Юйту-2» в поисках… камней
10. Миссия «Чанъэ-4» — научное оборудование на посадочном модуле и спутнике-ретрансляторе
12. Миссия «Чанъэ-4» — пятый лунный день для посадочного модуля и ровера «Юйту-2»
13. Связь с обратной стороной Луны — спутник-ретранслятор «Цэюцяо» (Сорочий мост)
Данные по проекту и модулям лунной миссии «Чанъэ-4»:
21 мая 2018 года: с Китайского космодрома Сичан запущен спутник-ретранслятор «Цэюцяо» (сорочий мост), он необходим для организации связи между Землей и обратной стороной Луны.
14 июня 2018 года: Cпутник-ретранслятор «Цэюцяо» вышел на гало орбиту вокруг точки Лагранжа L2 системы «Земля-Луна», примерно в 65000 км от Луны, став первым в мире спутником связи, работающим на этой орбите.
8 декабря 2018 года: Ракета-носитель «Чанчжэн-3B» со станцией «Чанъэ-4» успешно запущена с Китайского космодрома «Сичан».
3 января 2019 года: спускаемый аппарат «Чанъэ-4» совершает посадку в кратере «Карман» на обратной стороне Луны. В составе посадочного аппарата «Чанъэ-4» находится второй Китайский лунный ровер «Юйту-2», модернизированный аналог ровера «Юйту». Аппараты миссии «Чанъэ-4» продолжают сейчас работать в штатном режиме и присылать данные на Землю уже пятый месяц.
После окончания всех этапов процедуры успешной посадки и установки независимых каналов связи с аппаратами «Чанъэ-4» (посадочным модулем и ровером), началась эра исследования обратной стороны Луны, которая уже продолжается пятый месяц.
Видео спуска ровера «Юйту-2»:
Видео первого путешествия ровера «Юйту-2»:
Спускаемый модуль «Чанъэ-4»:
- 4,4 метра между противоположными посадочными опорами, масса 1200 кг.;
- продолжительность работы: один земной год.
На спускаемом модуле «Чанъэ-4» установлены приборы:
- LFS — Low Frequency Spectrometer (низкочастотный спектрометр);
- LND — Lunar Lander Neutrons and Dosimetry (нейтронный дозиметр);
- TCAM — Terrain Camera (ландшафтная камера);
- LCAM — Landing Camera (посадочная камера).

Ровер «Юйту-2»:
- высота 1 метр, ширина 1 метр (без солнечных батарей), 1,5 метра в длину, две складные солнечные панели, шесть колес;
- общая масса ровера составляет около 140 кг (310 фунтов);
- грузоподъемность — около 20 кг (44 фунта);
- может перемещаться по наклонам и имеет автоматические датчики, предотвращающие столкновение с другими объектами;
- электроэнергией ровер обеспечивается с помощью двух солнечных батарей, позволяющих роверу работать в течение лунного дня;
- максимальная скорость 200 метров в час (данную скорость на Луне все равно не достигнуть, так как элементы на поверхности не дадут разогнаться и выведут из строя ровер раньше);
- максимальная площадь исследования – 3 кв. км;
- расчетное время работы – 3 месяца (2160 часов), ровер уже превысил свой срок службы на два месяца;
- максимальная расчетная дистанция – 10 км, сейчас пройдено 190.66 метра по лунной поверхности за пять месяцев (1 место среди роверов на обратной стороне Луны, шестое место среди всех лунных роверов), таблица расстояния роверов приведена тут;
- режим управления: автоматический (объезд небольших препятствий), ручной (основной) — оператор управляет с Земли.
На ровере «Юйту-2» установлены приборы:
- LPR — Lunar Penetrating Radar (лунный георадар);
- ASAN — Advanced Small Analyzer for Neutrals (малый анализатор нейтральных частиц);
- VNIS — Visible and Near-Infrared Imaging Spectrometer (инфракрасный спектрометр);
- PCAM — Panoramic Camera (двойная панорамная камера).

Пятый лунный рабочий день завершился, вот какие новые фотографии с обратной стороны Луны прислали аппараты на Землю.
Красивая тень от только что проснувшегося ровера «Юйту-2»:


Интересная поверхность обратной стороны Луны:


Следы ровера «Юйту-2» и небольшие камни, которые он объезжает:



А вот какие камни остаются в стороне от маршрута ровера «Юйту-2»:

Привязка панорамы со спускаемого модуля к реальному рельефу обратной стороны Луны в зоне посадки:

Очень далекие горы, увеличение с камеры посадочного модуля:

И самое одинокое фото – спускаемый аппарат «Чанъэ-4» теперь более чем в 100 метрах от ровера «Юйту-2» (и вероятность, что ровер обратно вернется к спускаемому аппарату очень маленькая):


Вот как далеко (общая его дистанция за пять лунный дней — 190.66 метра) уехал ровер «Юйту-2» от места посадки и спускаемого аппарата «Чанъэ-4»:

Кстати, на основании открытия, о котором пойдет речь ниже в публикации, операторам ровера «Юйту-2» была дана команда увести ровер от места посадки на расстояние не менее двух километров, чтобы была возможность проводить научные исследования и сравнивать результаты с данными, полученными около места посадки.
Таким образом, ровер «Юйту-2» ждет большое и сложное путешествие к центру кратера Карман.

Какие проблемы возникли с ровером «Юйту-2» в пятый лунный день его работы?
На самом деле, расчетное время работы ровера «Юйту-2» — три земных месяца, а уже прошло почти в два раза больше, так что должны начаться поломки и проблемы с элементами ровера «Юйту-2».
Почему он смог так превысить свое время работы? Потому что операторы на Земле максимально старались обезопасить его движения по обратной стороне Луны, минимизировав возможность возникновения повреждений.
За первые два лунных дня ровер «Юйту-2» проехал 120 метров (это разведка места посадки и изучение поверхности обратной стороны Луны), в третий лунный день ровер проехал 43 метра (операторы приступили к научно-исследовательской фазе проекта, при которой роверу необходимо долгое время задерживаться на одном месте, так что в этот день были определены и изучены места для исследований), в четвертый лунный день ровер проехал 16 метров, в пятый лунный день уже 12 метров, отмерив на своем одометре расстояние, равное 190.66 метра, которое было пройдено им по обратной стороне Луны.
Почему же в пятый лунный день совсем мало проехал ровер «Юйту-2»?
Оказывается, у него произошла поломка в системе автоматического обхода препятствий.
Используя эту систему, ровер «Юйту-2» может в автоматическом режиме выполнять объезд небольших препятствий, которые зафиксируют его бортовые камеры и сенсоры.
Если перед ним будет большой камень или кратер, то он может самостоятельно остановиться и спланировать новый маршрут в обход этого места, в этом случае оператор в ЦУПе может зарегистрировать данную ситуацию и перестроить планируемый маршрут на новый уже после совершения маневра объезда ровером в автоматическом режиме и его остановки.
Так вот, в пятый лунный день у ровера «Юйту-2» начали нештатно работать сенсоры системы автоматического обхода препятствий, которые активируют сигналы тревоги при возникновении препятствий перед ровером. Из-за этого ровер «Юйту-2» несколько раз замирал, и в этот момент не передавалось управление операторам на Земле.
Причина сбоя в работе системы обхода препятствий ровера была установлена достаточно оперативно – происходила засветка сенсоров системы из-за отражения солнечного света от элементов корпуса ровера.

Операторы в ЦУП на Земле смогли компенсировать эту ситуацию с помощью корректировки программного обеспечения системы обхода препятствий и перезагрузки этой системы на ровере. Только после выполнения всех этих удаленных манипуляций с Земли, ровер «Юйту-2» смог продолжить свои исследования обратной стороны Луны в штатном режиме.
Какое новое открытие сделал ровер «Юйту-2» с помощью своего научного инструмента VNIS — Visible and Near-Infrared Imaging Spectrometer (инфракрасный спектрометр)?
Что это за научный прибор VNIS, который установлен на ровере «Юйту-2».
Лунный инфракрасный спектрометр VNIS (The Visible and Near-Infrared Imaging Spectrometer) был разработан в Шанхайском институте технической физики Китайской академии наук.
В спектрометре используются неколлинеарные акустооптические перестраиваемые фильтры, он состоит из видеоспектрометра VIS/NIR (0,45–0,95 мкм) и коротковолнового ИК-спектрометра (0,9–2,4 мкм), также в его составе есть калибровочный блок с защитой от пыли и загрязнений.
Спектрометр установлен спереди на борту ровера «Юйту-2», имеет следующие ограничения по позиционированию и работе с лунным материалом (оператору на Земле нужно буквально ловить интересные участки поверхности в маленькое окошко перед ровером):


Минералы, такие как пироксен, плагиоклаз, оливин и ильменит, которые составляют большую часть лунных поверхностных пород, имеют отличительные спектральные характеристики:

Структурная схема работы спектрометра:

Основные технические характеристики спектрометра:

Внешний вид спектрометра:

Геометрические размеры окна детекции:

Данные, получаемые спектрометром:
Самая сложная задача у ровера «Юйту-2» — заниматься получением научных данных с использованием бортового стационарного спектрометра VNIS (Visible and Near-Infrared Imaging Spectrometer), у которого ширина поля зрения датчика составляет всего несколько сантиметров, поэтому необходимо очень точно и аккуратно позиционировать ровер «Юйту-2», чтобы можно было выводить «глаз» спектрометра на нужный участок лунной поверхности получать корректные данные с оптимального расстояния.

После своей небольшой прогулки по Луне, ровер «Юйту-2» достиг интересной каменной «полянки», в центре которой был обнаружен большой камень диаметром 20 сантиметров. Ученых сразу заинтересовала эта находка, ее происхождение (метеорит, лунное образование) и процесс образования.
Общий вид панорамы поверхности во время поиска камней:

Каменистая поверхность, до большого камня (его диаметр 20 сантиметров) расстояние 120 сантиметров:

Увеличенное изображение большого камня:


Работа со спектрометром:


Далее, данные со спектрометра ровера «Юйту-2» передаются в аэрокосмический центр управления Китайской академия космических технологий, где они анализируются, хранятся и часть из них, наконец, стала открыта научному обществу и миру.
Планетарной особенностью глубинной структуры Луны является ее разделение на мощную жесткую, холодную внешнюю сферу и разогретую, частично расплавленную и пластичную внутреннюю область.
Толщина коры Луны в среднем составляет 68 км, изменяясь от 0 км под лунным морем Кризисов до 107 км в северной части кратера Королёва на обратной стороне.
Под корой находится мантия и малое ядро из сернистого железа (радиусом приблизительно 340 км и массой, составляющей 2% массы Луны).

Однако, на обратной стороне Луны кора тоньше и проще исследовать мантию Луны.

Ученые из Китайской академии наук представили в журнале Nature первичные результаты анализа с поверхности обратной стороны Луны с помощью спектрометра VNIS – были получены первые данные о составе мантии Луны, оказывается, что в ней содержатся богатые железом минералы.
В составе элементов, находящихся на лунной поверхности в двух исследуемых районах ровером «Юйту-2» с помощью спектрометра VNIS было обнаружено присутствие пироксенов и оливинов — минералов с высоким содержанием железа.

Эти породы изначально входили в состав верхней мантии и оказались на поверхности Луны из-за падений метеоритов и астероидов.
При этом кора Луны состоит из более легких минералов класса плагиоклазов.
Конечно, это открытие требует дополнительного подтверждения и детального изучения образцов. Но уже многие ученые заявляют, что в целом новые данные «получены в рамках корректного и аккуратного применения спектроскопических методов, и минеральный состав определен достаточно надежно».
Место посадки аппаратов миссии «Чанъэ-4» находится в кратере Карман, в бассейне Южный полюс-Эйткен, глубина которого достигает 8 км.




Топографическая фотография зоны посадки в кратере Карман обратной стороны Луны спускаемого модуля «Чанъэ-4» (сделано зондом LRO, NASA):

Возраст бассейна Южный полюс-Эйткен составляет 4,2–4,3 млрд лет. Он образовался вследствие удара огромной силы.
Моделирование удара по близкой к вертикальной траектории показывает, что немалое количество вещества Луны должно было быть выброшено на поверхность с глубин до 200 километров — из мантии (была пробита лунная кора до нижнего слоя).

Таким образом, ровер «Юйту-2» с помощью спектрометра VNIS в кратере Карман обнаружил на поверхности обратной стороны Луны камни и породы, попавшие туда с большой глубины, предположительно из мантии.
Как проводились исследования.
После анализа фотографий и получения первичных спектрограмм разных мест лунной поверхности на маршруте ровера, операторы и ученые в ЦУП на Земле выбрали два места (между ними расстояние около 50 метров) для проведения там полного цикла научных исследований (на получение данных в течении одного такого цикла требуется несколько земных суток).
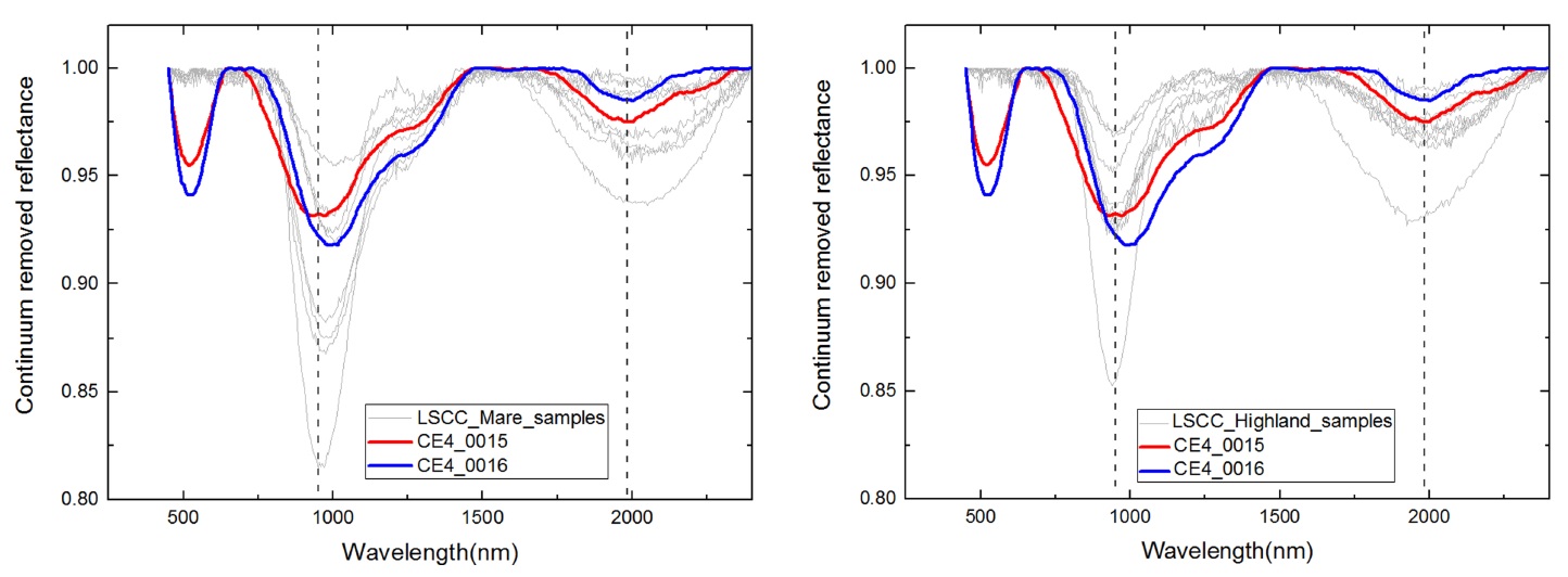
Ровером «Юйту-2» с помощью спектрометра VNIS выполнялись обширные исследования поверхности Луны в двух точках маршрута (CE4_0015 и CE4_0016):

Данные этих измерений, после анализа и обработки на Земле:





Вот для сравнения тестовые калибровочные образцы на графике:


Вот такое интересное научное открытие сделал ровер «Юйту-2» с помощью спектрометра VNIS — грунт в зоне прилунения аппаратов миссии «Чанъэ-4» содержит оливин и пироксен — высокоплотные минералы с низким содержанием кальция и высоким содержанием железа, которые попали на поверхность из верхней мантии Луны под бассейном Южный полюс–Эйткен после ударного события, создавшего близлежащий кратер Финсен.
Лунные базальты и плагиоклазы, ставшие материалом для образования слоя реголита, покрывающего поверхность Луны были обнаружены ранее, и на Землю их привозили в большом количестве с Луны для исследований.
А в этом открытии на поверхности Луны обнаружили элементы, которые содержатся в мантии Луны (очень глубоко), а не на поверхности. Но нашли научным способом — не проводили бурение на сотни километров вглубь, а исследовали участок на обратной стороне Луны, на который в результате удара метеоритаастероида в соседний кратер были выброшены из недр Луны частички верхнего слоя мантии.
Первое открытие, которое было сделано еще в январе 2019 года: анализ данных с температурных датчиков аппаратов «Чанъэ-4» показал, что на поверхности во время лунной ночи на обратной стороне Луны температура опускается до -190°C.
Кстати, в настоящее время продолжает работать специальный Китайский интернет-портал «Система публикаций и сбора научных данных и исследований лунного и глубокого космоса», где уже начали публиковаться и обрабатываться полученные данные и изображения от «Чанъэ-4» (и там уже есть гигабайты данных от более ранних миссий).

Так что лунные исследования продолжаются, а нас ожидают новые открытия:


Автор: Денис
