Есть одна очень миленькая математическая задачка, которая может быть интересна людям на очень разных уровнях:
У вас есть четыре двойки и какое-то целевое натуральное число. При помощи любых математических операций сгенерируйте целевое число при помощи этих двоек, не используя больше никаких цифр.
Некоторые примеры могут придумать и дети из начальной школы:

В средних классах дети узнают о степенях, факториалах и так далее, что существенно расширяет диапазон:

А потом уже идут хитрости; например, число 22 (двадцать два) можно считать допустимым использованием двух двоек и так далее; так что можно записать:

Известно, что получить 7 очень сложно, но если допустить применение ещё более математических инструментов, например, гамма-функции, то всё становится просто:

Чем большими математическими навыками обладает человек, тем больше чисел он сможет вывести. Можно почитать обсуждение и найти в нём забавные заклинания с применением интегралов, периодических дробей и операторов комбинаторики. В одном из моих любимых примеров используются комплексные числа:

Так что эта задача не перестаёт быть интересной даже после того, как защитишь диплом в университете! На самом деле, это, похоже, было любимым досугом математиков в 1920-х. Но потом Поль Дирак всё испортил, найдя общее решение для любого числа.
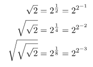
Всё дело во вложенных квадратных корнях:

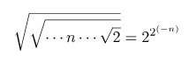
Если применить квадратный корень n раз:

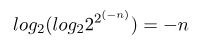
То остаётся лишь использовать логарифмы по основанию 2:

И ещё раз:

Так мы приходим к общей формуле:

Тут есть лишь один небольшой изъян: используется не четыре, а три двойки. Впрочем, это легко исправить. Так как

мы можем заменить любую цифру на это выражение и получить ровно четыре двойки:

Кто-то может сказать, что это жульничество, но всё соответствует правилам задачки! Стоит отметить, что сущность n на самом деле нигде не встречается — это лишь вспомогательное обозначение числа повторяющихся квадратных корней. Вот, например, ещё один способ выразить 7:

Здесь ровно четыре двойки и при этом для вычислений используется только приемлемые элементарные математические операции. Очевидно, таким образом можно выразить любое число; самое сложное — писать все эти квадратные корни!
Благодарность
Я прочитал об этой истории в книге Грэма Фармело (Graham Farmelo) The Strangest Man: The Hidden Life of Paul Dirac, Quantum Genius. Я ещё её читаю, и мне всё нравится.
Автор: PatientZero
