Ещё с 60-х годов известно, что метеоритный сплав железа и никеля в экстремально равновесном состоянии обладает магнитными свойствами. Но химикам до сих пор не удавалось воссоздать в лабораторных условиях такую же идеальную атомно-упорядоченную фазу L10-FeNi. Причина в том, что в космических телах L10 образуется в течение сотен миллионов или миллиардов лет, а мы живём в другом масштабе времени, к сожалению. Но сейчас проблема наконец-то решена.
Исследователи из университета Тохоку сумели сократить срок химической реакции с сотен миллионов лет до менее 300 часов. Пресс-релиз университета называет это «путешествием в машине времени», когда годы «прокручиваются» на быстрой перемотке. В научной работе авторы объясняют, что упорядоченная фаза сплава достигается благодаря трём факторам, связанным с жидким состоянием металлов: 1) высокие темпы диффузии составных элементов на более низких температурах при кристаллизации; 2) большой движущей силой при осаждении преципитата именно в виде твёрдой фазы L10; 3) возможным присутствием кластеров L10.
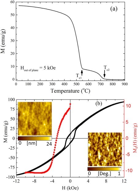
Изготовление магнита происходит при отжиге ленты Fe42Ni41,3Si8B4P4Cu0,7 в течение 288 часов при температуре 400ºC. В итоге получается структура, как в метеоритах.

Переключение намагниченности после фазового перехода во второй точке Кюри 700-750ºC происходит в магнитном поле напряжённостью минимум 3,5 килоэрстедов.

Результаты научной работы исключительно важны для современной промышленности. Выскокачественные магниты из сплавов железа и никеля широко применяются в автомобилях, бытовой технике, медицинском оборудовании и т.д. До сих пор при изготовление таких магнитов требовало использования редкоземельных металлов, таких как самарий, неодим, диспрозий.
«Хотя такие магниты изобрели в Японии, но вопрос импорта редкоземельных металлов приобрёл слишком политический характер, — сообщается в пресс-релизе. — Сейчас для Японии стало исключительно сложно сохранять промышленное превосходство и конкурентоспособность в производстве энергосберегающих технологий для электрических автомобилей/устройств следующего поколения».
Мировые запасы редкоземельных металлов ограничены, а большая часть сосредоточена в Китае. Он контролирует 95% мирового рынка, а недавно ввёл ограничения на экспорт, что не на шутку всех всполошило.
Если в стране нет месторождений, а китайцы ведут себя странно — приходится проявлять изобретательность.
Хотя японцы изобретали магнит для собственной промышленности, но воспользоваться плодами их труда могут и все остальные, тем более что аналогичные ограничения на импорт редкоземельных металлов продвигают экологи во многих других странах. Научная работа с описанием техпроцесса (производство идёт на том же обычном оборудовании, что и производство обычных магнитов с редкоземельными металлами) лежит в открытом доступе.
Автор: alizar
