
Мир вокруг нас кажется хаотичным и непредсказуемых, однако это не совсем так. Различные процессы являются плодами деятельности тех или иных физических или химических явлений, подчиняющихся законам неизменным с начала времен. Любознательность человека позволила нам ответить на многие вопросы, понять как, что и почему происходит. А ученым становится все сложнее получить хоть немного удивления во время своих исследований. Но мы знаем далеко не все, и далеко не все является тем, чем казалось ранее. Лирику в сторону, сегодня мы познакомимся с исследованием, в котором группа ученых обнаружила наличие хиральности полярных скирмионов в спроектированном ими материале. Что в этом необычного, чем отличаются эти скирмионы от магнитных и почему ученые так заинтересовались изучением этого явления? На эти и другие вопросы мы найдем ответы в докладе исследовательской группы. Поехали.
Основа исследования
Для начала стоит напомнить, что атомы магнитных материалов, обладающие собственным магнитным моментом электрона, ведут себя словно магниты, говоря простыми словами. При намагничивании вещества спины атомов выстраиваются определенным образом, что и делает это вещество магнитом.
В 2009 году исследователи обнаружили весьма увлекательную особенность отдельных атомов. Их спины закручивались в воронки (вихри). Подобная структура получила название скирмион, в честь британского физика Тони Скирме, который еще в далеком 1962 году описал математическую модель вихревых спинов.

Изображение а — скирмион «еж», b — спиралевидный скирмион.
Одной из важных для ИТ особенностью скирмионов является их топологическая устойчивость. Суть в том, что любое возмущение может изменить направление спинов, но закрученность останется прежней. Таким образом можно хранить информацию в двоичном виде: 0 — нет скирмиона, 1 — есть скирмион. А учитывая нанометровые размеры подобных структур, плотность хранения информации также может значительно возрасти.
Выходя из этой информации было предположено существование и антискирмионов, чей топологический заряд будет противоположным обычным скирмионам.
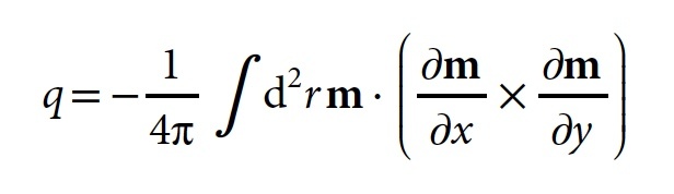
Двумерные спиновые структуры обладают нетривиальной топологией, которая отвечает за их определенный уровень устойчивости. Такие структуры характеризуются топологическим зарядом:

где m = m(r, t) это вектор направления магнитных моментов во времени и пространстве.
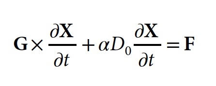
Скирмионы (q = 1) и антискирмионы (q = -1) обладают противоположными зарядами и могут возникать парами в случае, если возникает деформация однородного состояния (q = 0). Описание динамики скирмионов и антискирмионов возможно аппроксимировать, если считать ядро неподвижным, что уменьшает необходимое число переменных для описания их движения.
Формула, представленная ниже, описывает затухающее гиротропное движение положения ядра (Х) скирмионов и антискирмионов в ответ на приложенную силу (F):

G, равный -qG0z, это гировектор;
α — постоянная затухания;
D0 — структурный фактор.
Динамика в вышеуказанном уравнении неньютоновская, а следовательно гиротропный отклик зависит от q и диктует направление, в котором движется ядро.
Тут стоит уточнить: полярные скирмионы — это топологические образования, состоящие из противоположных электрических зарядов, то есть диполей.
При этом самой занятной особенностью является тот факт, что эти пузырьки полярных скирмионов являются электрическими аналогами магнитных скирмионов, но не магнитными скирмионами как таковыми. Чем лучше изучены полярные скирмионы, тем больше у нас будет инструментов для манипулирования ими и, следовательно, инструментов для контроля над хиральностью и даже над отрицательной емкостью.
Исследования в области спинтроники и скирмионики активно рассматривают именно магнитные скирмионы. Однако полярные скирмионы такой чести не были удостоены.
Как же ученые дошли до открытия, рассматриваемого нами сегодня? Дело в том, что сложные топологические структуры это отличное место для изучения и поисков возникающих в них явлений и экзотических фаз. Ученые путем изменения эпитаксиальных ограничений обнаружили пузырьки полярных скирмионов при комнатной температуре в слое титаната свинца (PbTiO3), с обеих сторон покрытого слоями титаната стронция (SrTiO3), другими словами в гетероструктуре (PbTiO3)n/(SrTiO3)n.
За этим исследованием лежит теория о том, что вполне возможно получить пузырьки нанодоменов и скирмионоподобные топологические структуры в сегнетоэлектриках* путем взаимодействия упругой, электростатической и градиентной энергий.
Сегнетоэлектричество (или же ферроэлектричество)* это возникновение спонтанной поляризации в кристалле при определенной температуре даже без внешнего электрического поля.
А сегнетоэластиком называют монокристаллические вещества, чья кристаллическая решетка может спонтанно деформироваться при понижении температуры и фазовом переходе.
Образцы для исследования — [(PbTiO3)n/(SrTiO3)n]m (n = 12–20, m = 1–8) — были изготовлены на монокристаллических подложках из титаната стронция (SrTiO3) путем импульсного лазерного напыления в совокупности с дифракцией быстрых электронов.

Анализ топологии (выше) путем RSM картирования показал образования кольца (изображения b и d) при распределении интенсивности. Проявления подобного топологического явления в обратном пространстве может быть обусловлено сегнетоэлектрическими нанодоменами.
Также RSM анализ показал согласования топологий трехслойной структуры и подложки SrTiO3, где размер кольца и его ширина в плоскости (g, h) практически одинаковы. При этом наблюдается сильное отличие от периодических вихревых нанодоменов, наблюдавшихся ранее на DyScO3 (e, f).
Необходимо было выяснить источник такой дифракционной картины, для чего был применен метод визуализации посредством ПЭМ (просвечивающий электронный микроскоп).

Изображение №1
ПЭМ снимки три-слоя (m = 1), т.е. исследуемой гетероструктуры и сверхрешетки (m = 8) показаны на изображениях 1а и 1b, соответственно. По ним мы можем заметить модуляцию интенсивности с масштабом длины около 8 нм, что свидетельствует о формировании антипараллельных полярных областей.
Снимки ПРЭМ (просвечивающий растровый электронный микроскоп) три-слоя позволили определить наличие смеси круглых (около 8 нм в диаметре) и продолговатых элементов (1с). А вот в сверхрешетке преобладали массивы только из круглых элементов (1d).
Ученые считают, что подобная топология достаточно необычна, ввиду того что доменные стенки разбиты на множество областей более близкого порядка вдоль множества плоскостных направлений, что и приводит к отчетливым круговым и вытянутым элементам. Ранее подобное не наблюдалось.
На вставках (верхний правый угол на 1с и 1d) показаны рентгеновские снимки после быстрого преобразования Фурье, на которых отчетливо видно четыре лепестка с вращательной симметрией, то есть с неель-подобным вращением поляризации.
Далее ученые провели ряд математических расчетов для подтверждения того, что наблюдаемая топология очень похожа на магнитные скирмионы и имеет точное и определяемое скирмионное число. Расчеты показали, что локальные электрические диполи постоянно вращаются в плоскости и вне ее на границе между PbTiO3 и SrTiO3(2а и 2b).

Изображение №2
В верхней и нижней части слоя PbTiO3 диполи имеют плоскостную поляризацию, соединяющую верхние области с расходящейся поляризацией и нижние полярные области со сходящейся (2c, 2e). Также наблюдается уплотнение закручивающейся поляризации в средней плоскости x – y слоя PbTiO3 (2b, 2d).
Анализ текстуры поляризации на верхнем и нижнем интерфейсах PbTiO3 / SrTiO3 (2c, 2e) позволил выявить скирмионы типа «еж», а вот внутри слоя PbTiO3 были обнаружены скирмионы типа «спиралевидный» (2d).
Также ученые определили текстуру поляризации, где локальный параметр порядка имеет нулевое вращение, но положительную дивергенцию (векторы направлены наружу) в верхней плоскости (2с). В нижней же плоскости происходит обратная ситуация (2e): имеет место отрицательная дивергенция (векторы направлены во внутрь). В среднем слое плоскостной компонент поляризации проявляется только компонентом, параллельным доменной стенке, как в обычных спиралевидных скирмионах (2d).
Из этих наблюдений ученые сделали вывод, что трехмерные пузырьки полярных скирмионов это, своего рода, эволюция двумерных скирмионов вдоль нормали пленки: от верха к низу слоя PbTiO3, соответственно, от скирмиона «еж» до спиралевидного и опять до ежа. Данные топологические структуры, несмотря на свою эволюцию, остаются эквивалентными, поскольку могут преобразовываться друг в друга за счет непрерывной деформации.
Следующим шагом в исследовании необычного образца с необычными свойствами стало изучение атомной структуры пузырька скирмиона. Для этого было проведено поляризационное картирование (изображение №3).

Изображение №3
Картирование вектора смещения титана на изображениях, полученных ранее, показало наличие микроскопического поля смещения вокруг одного пузырька скирмиона. Векторная карта (3а), соответствующая этим данным, показываем область, в которой обратное смещение титана движется от края к центру, что напоминает структуру скирмиона типа «еж».
В поперечном сечении (3b) четко видно цилиндрическую полярную область с антипараллельной (вверх-вниз) поляризацией. Вектор поляризации вращается на границах вблизи интерфейса PbTiO3 / SrTiO3, что согласуется с расхождением поляризации, наблюдаемым на изображении 3а. Совместив оба типа изображений (двумерное и с поперечным сечением) ученые выявили ежеподобную структуру в верхней части слоя PbTiO3.
Посредством 4D-ПРЭМ анализа сверхрешетки [(PbTiO3)16/(SrTiO3)16]8 были получены изображение (3d) и карта полярного порядка с использованием потока вероятности (3е). Дабы подтвердить наблюдения ученые провели моделирование распространения луча через структуру модели, показанной на изображении №2. Результаты моделирования показаны на 3f и 3g.
Совокупность этих наблюдений говорит о формировании полярной скирмионной структуры, компоненты которой похожи на структуру «еж», где направление поляризации вращается сверху вниз от центра к краю скирмиона. Расходимое и сходящееся вращение поляризации в верхней и нижней частях полярной структуры напоминает спиновую конфигурацию неелевских скирмионов в ферромагнетиках. Подобные структуры должны были, по мнению ученых, обладать нестандартными свойствами, такими как хиральность и нулевым скирмионным числом.
Это необходимо было проверить, для чего была проведена резонансная дифракция рентгеновского излучения сверхрешетки [(PbTiO3)16/(SrTiO3)16]8.

Изображение №4
Согласно смоделированной структуре (изображение №2), воображаемая линия вдоль любого направления в центральной плоскости каждого слоя PbTiO3 пересекает только блоховские доменные стенки, в результате чего вдоль этой линии локальная поляризация демонстрирует спиральное вращение. Подобная текстура спиральной поляризации практически идентична конфигурации, возникающей в полярно-вихревых массивах. Соответственно, это должно приводить к аналогичному дихроичному сигналу от хиральной электронной структуры.
RSM исследование показало наличие двух наборов упорядочивания (4а). Первый — вдоль направления вне плоскости имеются правильные пики, связанные с периодичностью вне плоскости сверхрешетки (около 12 нм). Второй — имеются сателлитные пики (один из них на 4b) в перпендикулярном или плоскостном направлении, соответствующие плоскостному упорядочению полярных структур (около 8 нм). Поскольку энергия рентгеновских лучей настраивается через края поглощения титана L3 и L2, интенсивность пиков дифракции сателлита чувствительна к периодическим искажениям, в частности к хиральным признакам анизотропных титановых орбиталей.
Измерив спектры с правым и левым круговым поляризованным светом (4с), отделив фоновую флуоресценцию (4d) и взяв во внимание разницу двух полученных спектров (4е), ученые измерили рентгеновский круговой дихроизм. Присутствие ярко выраженного дихроизма на краю L3 свидетельствует о наличии хиральных структур. При этом круговой дихроизм наблюдался и в сверхрешетке, и в три-слое.
Ученые поясняют немагнитную природу наблюдаемого кругового дихроизма хиральной конфигурацией зарядовых квадрупольных моментов.
В дополнение к вышеописанным измерениям ученые также проверили интенсивность резонансного рассеяния и круговой дихроизм как функции вектора латерального рассеяния (4f). В теории, наличие блоховских структурных компонентов должно привести к нарушению закона Фриделя из-за нарушения инверсионной симметрии вдоль плоскости. Именно по этой причине наблюдаемая асимметрия в интенсивности зеркальных дифракционных пиков является доказательством блоховской компоненты поляризации в скирмионных пузырьках.
Суммируя все наблюдения, расчеты и измерения можно с уверенностью сказать, что в исследуемой гетероструктуре присутствуют пузырьки полярных скирмионов.
Для более детального ознакомления с нюансами исследования настоятельно рекомендую заглянуть в доклад ученых.
Эпилог
Данное исследование позволило обнаружить необычные скирмионные структуры в слое PbTiO3. Эти скирмионы являются электрическими, а не магнитными, как мы привыкли их называть ранее. Кроме этого в них совмещаются характеристики как Нееля, так и Блоха.
Ученые отмечают, что подобная трехмерная скирмионная структура сильно отличается от общеизвестной двумерной. Пузырьки скирмионов возможно перемещать с помощью электрического поля, что дает больший контроль и возможность использовать подобные структуры там, где это ранее было невозможно.
В дальнейшем ученые планируют использовать данное исследование в своей следующей работе по спин-зарядовой связи в сверхрешетках. Практическое применение подобных технологий пока не обсуждается, так как еще многое предстоит исследовать. Понятно одно — получая контроль над структурой любого материала и над его свойствами, можно добиться невероятных результатов.
Благодарю за внимание, оставайтесь любопытствующими и хорошей всем рабочей недели, ребята!
Спасибо, что остаётесь с нами. Вам нравятся наши статьи? Хотите видеть больше интересных материалов? Поддержите нас оформив заказ или порекомендовав знакомым, 30% скидка для пользователей Хабра на уникальный аналог entry-level серверов, который был придуман нами для Вас: Вся правда о VPS (KVM) E5-2650 v4 (6 Cores) 10GB DDR4 240GB SSD 1Gbps от $20 или как правильно делить сервер? (доступны варианты с RAID1 и RAID10, до 24 ядер и до 40GB DDR4).
(KVM) E5-2650 v4 (6 Cores) 10GB DDR4 240GB SSD 1Gbps до лета бесплатно при оплате на срок от полугода, заказать можно тут.
Dell R730xd в 2 раза дешевле? Только у нас 2 х Intel TetraDeca-Core Xeon 2x E5-2697v3 2.6GHz 14C 64GB DDR4 4x960GB SSD 1Gbps 100 ТВ от $199 в Нидерландах! Dell R420 — 2x E5-2430 2.2Ghz 6C 128GB DDR3 2x960GB SSD 1Gbps 100TB — от $99! Читайте о том Как построить инфраструктуру корп. класса c применением серверов Dell R730xd Е5-2650 v4 стоимостью 9000 евро за копейки?
Автор: Dmytro_Kikot
