Приветствую Вас, уважаемые Читатели! Сегодня я хочу поговорить об устройстве, автором которого является русский математик Липман Израилевич Липкин (1840-1876). Уроженец Ковенской губернии Российской империи (ныне Кретингский район, Клайпедский уезд, Литва) ,Липкин в детстве получил иудейское религиозное образование у своего отца - раввина. Попав под влияние просветительского движения и науки, в 15 лет оставил семью и отправился в Германию. Получил степень доктора в Йенском университете. Изучал математику в университетах Кёнигсберга и Берлина.
В 1868 году он опубликовал геометрическое доказательство возможности преобразования прямолинейного движения в движение по окружности.
Тут важно отметить, что работа Липкина показала, что возможно именно совершенное (математически точное) преобразование движений.
Приближенное преобразование было известно еще со времен Джеймса Уатта (18 век), который для придания поршню паровой машины прямолинейного движения разработал следующую схему:
Кроме того не стоит забывать и знаменитый прямоходящий табурет Чебышева (19 век), основанный на следующей конструкции:
Но что за магия помогла Липкину разработать идеальное с геометрической точки зрения устройство? Имя ей - инверсия.
Инверсия
В стандартной евклидовой геометрии инверсия - это одно из классических преобразований, которое еще иногда называют отражением относительно окружности.

Инверсия с центром в точке О и радиусом r преобразует каждую точку M, лежащую внутри окружности, в точку N, лежащую на соответствующем луче, с выполнением соотношения (2).
Инверсия как-бы "выворачивает" круг наизнанку
Кроме того, инверсия отображает любую окружность в прямую (и наоборот). Действительно, проведем преобразование какой-нибудь окружности, проходящей через центр (важно) инверсии:

Алгоритм следующий:
-
проводим луч через инвертируемую точку и центр инверсии О;
-
из инвертируемой точки восстанавливаем перпендикуляр до пересечения с окружностью инверсии (пунктиром);
-
проводим в точке пересечения перпендикуляра и окружности касательную;
-
на пересечении получаем образ инверсии искомой точки.
А еще инверсия относится к особому классу инволютивных преобразований
Конечно, есть еще несколько вариантов взаимного расположения окружности относительно центра инверсии, но нужный нам мы уже рассмотрели. Теперь мы легко можем понять, как работает прямило Липкина.
Прямило Липкина
Схематически устройство можно представить следующим образом:
Когда точка B движется по окружности, точка D движется по идеальной прямой l. Понятно, что доказательство этого факта упирается в инверсию, а именно в утверждение, что точка D является образом точки B.
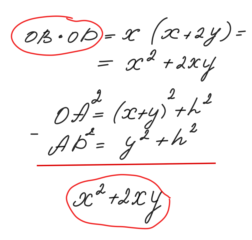
Заметим, что точки O,B и D лежат на одной прямой (это следует из равенства пар треугольников OBA-OBC и ABD-BCD). Теперь введем несколько новых обозначений:
Нам нужно доказать, что произведение отрезков OB и OD равняется константе:
Таким образом, мы нашли разность постоянных величин (физически - это стержни), которая является некоторой константой, что говорит о выполнении условия инверсии. Значит, D - это образ точки B при инверсии.
В динамике это работает следующим образом:
Стоит, впрочем, отметить, что не только Липкин дошел до разработки данного механизма. Семью годами раньше (1864) французский изобретатель Шарль Посселье описал такой же механизм, в связи с чем в иностранной литературе можно встретить название "устройство Липкина-Пеоселье".
Судьбы двух изобретателей сложились по-разному. Француз, будучи офицером инженерных войск, дослужился до звания генерал-майора, отметился в области геометрической оптики и вообще прожил достаточно долгую и сытую жизнь, скончавшись в 1913 году в возрасте 81 года.
Липкин же дожил всего до 35 лет. Сказались годы нищеты, которые сопровождали его обучение в Петербургском университете и отсутствие поддержки отца, который жаждал, чтобы кто-нибудь оказал влияние на его сына, чтобы тот направил свою жизненную силу в сторону религии.
-
Больше математики в Telegram - "Математика не для всех".
Автор:
andreybrylb
