Условие задачи из знаменитой книги В.И.Арнольда «Задачи для детей от 5 до 15 лет»:
Из A в B и из B в A на рассвете (одновременно) вышли навстречу друг другу (по одной дороге) две старушки.Они встретились в полдень, но не остановились, а каждая продолжала идти с той же скоростью, и первая пришла (в B) в 4 часа дня, а вторая (в A) в 9 часов вечера. В котором часу был в этот день рассвет?
Предлагаю вам послушать (МР3) обсуждение этой задачи на радио «Говорит Москва» (С.Доренко, А.Оношко), и попробовать решить ее, прежде, чем лезть под кат, чтобы сравнить…
Первый вариант: система уравнений
Именно так решал ее я, сначала написав систему уравнений типа вот этой (s — это расстояние от А до В, х — время от рассвета до полудня):

Решить ни ее, ни похожую систему у меня долго не получалось (неизвестных всегда оказывалось на одно больше, чем уравнений, а избавиться от лишней — не выходило). Наконец, написав систему двух уравнений для расстояний АО и ОВ (О — точка встречи в полдень):
,
удалось избавиться от «лишних» неизвестных (скоростей), перемножив левые и правые стороны двух уравнений. В результате, произведение скоростей сократилось, а из оставшегося уравнения t2=36 искомое время легко нашлось:
12-t=6.
Надо сказать, что провозился я час или два, а потом, через несколько дней, когда вернулся к задаче, вконец запутался и полез за решением в интернет, где и нашел…
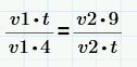
Второй вариант: пропорция
Поскольку задача «детская», то и решение имеет вполне детское. Если составить пропорцию длин отрезков пути АО/ОВ с точки зрения первой и второй старушки, то получим:
,
откуда сразу следует уравнение t2=36. (Даже скорости в пропорции не нужны, достаточно понимания того, что отрезки пути пропорциональны времени).
Таким образом, задачу вполне может решить и ученик начальной школы: это типичная олимпиадная задачка, которые я ненавижу с детства (надо — мне по крайней мере — убить кучу времени, чтобы найти решение). Между тем, задача простая, и, если ее рассматривать с практической точки зрения (получения ответа, а не поиска элегантного решения, которым, несомненно, является вариант 2), в наши дни я бы использовал…
Третий вариант: быстрое численное решение.
Я приведу его в виде документа Mathcad:

Сначала задаются начальные приближения к неизвестным (включая взятое «с потолка» оценочное значение s=20 км). Затем стандартный численный алгоритм ищет решение той самой системы уравнений, которую мы выписали в самом начале, затратив всего пару минут. Здесь s рассматривается, как неизвестная переменная, в результате получающаяся равной начальному приближению 20 км.
Повторив расчеты для серии различных разумных s, получим, что решение для s остается равным начальному приближению, а искомое время х всегда равно 6 часам. Это весьма строгое решение задачи (поскольку несложно просканировать весь интервал разумных расстояний АВ), которое, признаюсь, мне нравится больше всего, хотя и выглядит немного туповатым.
В заключение, приведу те же расчеты для s=50 км (и с использованием в расчетах единиц измерения):

Автор: polybook
