
Плутон и другие транснептуновые объекты в поясе Койпера
С конца 1980-х гг астрономы обнаружили более пяти тысяч планетных тел, которые вращаются вокруг разных звёзд, кроме нашего Солнца. Но до сих пор неизвестно, как официально называть такие тела.
10 ноября 2015 года на заседании Американского астрономического общества выступил профессор планетарной астрономии Жан-Люк Марго (Jean-Luc Margot) из Калифорнийского университета в Лос-Анджелесе. Он предложил простой вычислительный тест, чтобы чётко отличать планеты от других тел, таких как карликовые планеты или малые планеты.
Чтобы решить проблему с Плутоном, в 2006 году Международный астрономический союз сформулировал определение планеты: это тело, вращающееся вокруг Солнца, достаточно массивное, чтобы иметь шарообразную форму под воздействием собственной гравитации, имеющее вблизи своей орбиты «пространство, свободное от других тел».
У определения Международного астрономического союза имеется явный недостаток: оно подходит только для тел в Солнечной системе. Даже если заменить в нём слово «Солнце» на слово «звезда», всё равно остаются проблемы с определением сферической формы потенциальной планеты.
Профессор Марго предлагает расширить определение на все планетарные системы, то есть на экзопланеты, и отказаться от параметра формы планетарного тела.
Новый тест на соответствие определению планеты учитывает соотношение трёх параметров: масса звезды, масса планеты и период обращения. Три параметра легко получить с помощью земных или орбитальных телескопов.
Предлагается переформулировать определение планеты следующим образом.
Планетой считается небесное тело, которое:
1) вращается вокруг одной или нескольких звёзд или звёздных остатков;
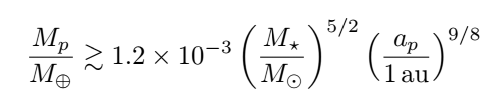
2) имеет достаточную массу для очистки (или динамического влияния) пространства около орбиты, при этом соблюдается следующее соотношение:

где M — масса, a — большая полуось, а подписи p, ★, ⊕, ☉ соответствуют планете, звезде, Земле и Солнцу, соответственно (формула для планетарной системы с одной звездой);
3) имеет массу менее 13-ти масс Юпитера, то есть номинальное значение меньше массы, необходимой массы для начала термоядерного синтеза дейтерия.
Предложенным критериям соответствуют все восемь планет Солнечной системы…
… и все известные экзопланеты.

Специалисты из Международного астрономического союза считают, что вопрос с классификацией экзопланет можно отложить на будущее, но в последнее время астрономы находят сотни новых экзопланет, так что решение проблемы не терпит задержки. Возможно, следует рассмотреть его пораньше.
Требование иметь вблизи своей орбиты «пространство, свободное от других тел» из официального определения означает, что планета должна быть способна очистить себе путь по орбите, притягивая или отбрасывая мелкие космические тела в орбитальных окрестностях. Новый тест позволяет вычислить, способна ли потенциальная планета очистить район около своей орбиты за определённый период времени, такой как время жизни звезды. Тест довольно простой и позволяет быстро классифицировать 99% всех известных экзопланет, для остальных пока нет всех необходимых данных.
В Солнечной системе тест чётко помещает все восемь планет в одну категорию, а карликовые планеты Плутон, Эриду и Цереру — в другую категорию. Любопытно, что если бы Земли не было, а по нашей орбите вращалась только одна Луна, она считалась бы полноценной планетой, по этим критериям.
«Несоответствие между планетами и не-планетами просто поразительное, — говорит профессор Жан-Люк Марго. — Резкое различие между ними предполагает, что существует фундаментальная разница в том, каким образом формировались эти тела, а сам акт их классификации открывает возможность понять что-то основательное в природе».
Профессор планетарной астрономии обращает внимание, что планетарные тела, способные очистить себе путь на орбите, и поэтому считающиеся планетами, преимущественно имеют сферическую форму. Если у тела есть достаточная масса, чтобы очистить орбитальное окружение, то этой массы также достаточно, чтобы преодолеть сопротивление вещества и сформировать практически идеальный шар, говорит Марго. Это важный нюанс, потому что астрономы не могут определить форму экзопланеты для соответствия критерию Международного астрономического союза. Сейчас новые экзопланеты находят по изменению яркости звезды, когда перед ней проходит планетарное тело. Мощности телескопов и близко не хватает, чтобы напрямую наблюдать планеты, а уж тем более наблюдать их форму.

В то же время, астрономы всегда могут определить три параметра для формулы Марго, так что этот тест выглядит вполне подходящим для практического применения.
Ближайшая генеральная ассамблея Международного астрономического союза назначена на 2018 год.
Автор: alizar
