
Взгляд на чрезвычайно отдалённую часть Вселенной открывает нам галактики, движущиеся от нас с огромными скоростями. На таких расстояниях галактик видно больше, они меньше по размеру, не такие развитые и удаляются с большими красными смещениями, чем те, что расположены недалеко
Когда вы смотрите на удалённую Вселенную, вы повсюду видите галактики – во всех направлениях, на все миллионы и миллиарды световых лет. Человечеству доступны для наблюдения примерно два триллиона галактик, а общая сумма всего, что есть во Вселенной, гораздо больше и невероятнее, чем большинство из нас может себе представить. Один из наиболее сбивающих с толку фактов состоит в том, что все видимые нами галактики в среднем подчиняются одному правилу: чем дальше они от нас, тем быстрее, по-видимому, они движутся в сторону от нас. Это открытие, сделанное Эдвином Хабблом со своими помощниками в 1920-х, привело нас к картине расширяющейся Вселенной. Но что означает, что Вселенная расширяется? Наука знает это, а теперь будете знать и вы!

Чем дальше мы смотрим, тем более древнюю и неразвитую Вселенную видим. Но это только если Общая теория относительности применима ко Вселенной и управляет её расширением.
1) Во что расширяется Вселенная? Это один из вопросов, звучащих разумно, поскольку всё остальное, что может расширяться, состоит из материи и существует в рамках пространства и времени Вселенной. Но сама Вселенная – это и есть пространство и время, и оно содержит всю имеющуюся материю и энергию. Говоря о «расширении Вселенной» мы имеем в виду, что расширяется пространство, и мы видим, что отдельные галактики и их скопления разлетаются друг от друга. Лучшая из визуализаций этого процесса – это тесто с изюминками, поднимающееся в результате выпекания в печи.

Модель «хлеба с изюмом» расширения Вселенной, в которой относительные расстояния увеличиваются при расширении пространства (теста).
Тесто – ткань пространства, изюминки – связанные структуры (галактики или группы/скопления галактик), и с точки зрения любой изюминки все остальные двигаются от неё, и чем дальше изюминка, тем быстрее она убегает. Только в случае Вселенной нет никакой печки и воздуха снаружи теста; есть только тесто (пространство) и изюминки (материя).

Красное смещение вызывается не движением галактик от нас – красное смещение света, путешествующего от удалённых точек пространства к нам, происходит из-за растяжения пространства между нами и галактиками
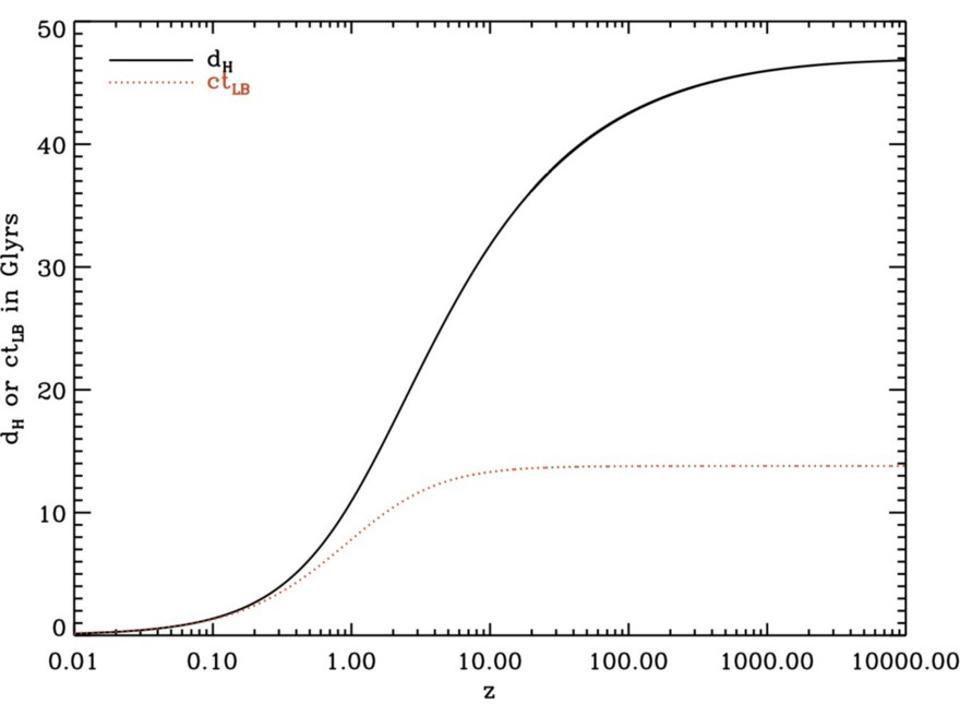
2) Откуда нам знать, что расширяется ткань пространства – может, это просто галактики движутся с разными скоростями? Если объекты движутся от вас по всем направлениям, то, возможно, пространство между вами и ими расширяется; но это лишь одна из возможностей. Также звучит разумным, что вы могли оказаться в центре взрыва, и многие объекты просто оказались дальше от вас и двигаются быстрее сегодня, поскольку приобрели больше энергии во время взрыва. Если бы это было так, то выделялись бы два свидетельства этого:
- На больших расстояниях галактик с высокими скоростями было бы меньше, поскольку они бы разлетались в стороны в пространстве с течением времени.
- Соотношение красного смещения и дальности на больших расстояниях имело бы весьма определённую форму, отличающуюся от того случая, когда расширяется ткань пространства.

Разница между объяснением на основе простого движения (пунктир) и предсказаниями ОТО (сплошная) для расстояний в расширяющейся Вселенной. Нашим наблюдениям однозначно соответствуют предсказания ОТО.
На больших расстояниях плотность галактик оказывается выше, чем поблизости от нас. Это совпадает с картиной, в которой расширяется пространство, поскольку заглядывать вдаль – это всё равно, что заглядывать в прошлое, где расширение было не таким сильным. Мы также видим, что отношение красного смещения к расстоянию у далёких галактик совпадает с картиной расширения ткани пространства, и вовсе не совпадает со случаем, когда галактики просто движутся от нас. На этот вопрос наука даёт ответ двумя очень разными способами, и оба ответа поддерживают вариант расширяющейся Вселенной.

График видимой скорости расширения (ось y) в зависимости от расстояния (ось x) совпадает со Вселенной, быстрее расширявшейся в прошлом, но до сих пор расширяющейся сегодня. Это современная версия наблюдения, расширяющая дистанции в тысячи раз по сравнению с тем, что делал Хаббл. Отметьте, что точки не лежат на прямой, что говорит об изменении скорости расширения со временем
3) Всегда ли Вселенная расширялась с одной скоростью? Мы называем эту скорость постоянной Хаббла, но она постоянна по всему пространству, а не по всему времени. Вселенная сейчас, сегодня, расширяется медленнее, чем это было в прошлом [Вот тут Итан объясняет, почему расширение замедляется, а галактики разлетаются всё быстрее / прим. перев.]. Когда мы говорим о скорости расширения, имеется в виду скорость на единицу расстояния: сегодня это порядка 70 км/с/Мпк (километров в секунду на мегапарсек; мегапарсек – 3 260 000 световых лет). Но скорость расширения зависит от плотности всего, что есть во Вселенной, включая и материю с излучением. С расширением Вселенной материя и излучение внутри неё становятся менее плотными, и с падением плотности материи и излучения падает и скорость расширения. Вселенная в прошлом расширялась быстрее, и замедляется со времён горячего Большого взрыва. Постоянная Хаббла названа так не очень точно; её надо бы назвать параметром Хаббла.

Варианты отдалённой судьбы Вселенной предлагают несколько возможностей, но если тёмная энергия действительно является постоянной, о чём говорят наши данные, то Вселенная будет продолжать следовать красной кривой
4) Будет ли Вселенная расширяться вечно, или она когда-нибудь остановится, или даже сожмётся обратно? Множество поколений этот вопрос был святым Граалем космологии и астрофизики, и на него можно было ответить, только определив как скорость расширения Вселенной, так и все присутствующие в ней типы и количества энергии. Теперь мы успешно измерили, сколько нормальной материи, излучения, нейтрино, тёмной материи и тёмной энергии присутствует в ней, а также скорость расширения Вселенной. На основании законов физики и прошлых событий весьма вероятным кажется то, что Вселенная будет расширяться вечно. Хотя эта вероятность не равна 100%; если что-то, к примеру, тёмная материя, будет вести себя в будущем по-другому, не так, как в прошлом или сегодня, все наши выводы придётся пересмотреть.
5) Есть ли галактики, убегающие от нас быстрее скорости света, и не запрещено ли это? С нашей точки зрения пространство между нами и любой удалённой точкой расширяется. Чем дальше что-то находится, тем быстрее оно удаляется от нас. Даже если бы скорость расширения была крохотной, достаточно далёкий объект в итоге преодолел бы порог любой конечной скорости, поскольку скорость расширения (скорость на единицу расстояния), помноженная на достаточно большое расстояние, даст вам любое значение скорости. Но ОТО этого не запрещает! Закон, запрещающий движение быстрее света, применим только к движениям объектов в пространстве, а не к расширению самого пространства. На самом деле сами галактики двигаются со скоростями порядка сотен или тысяч км/с, что гораздо меньше, чем 300 000 км/с, ограничение скорости, устанавливаемое светом. Убегание и красное смещение вызвано расширением Вселенной, а не истинным движением галактики.

Внутри наблюдаемой Вселенной (жёлтый круг) есть примерно 2 триллиона галактик. До галактик, находящихся на расстоянии большем, чем треть пути от нас до границы, никогда нельзя будет добраться из-за расширения Вселенной, поэтому объём, открытый для изучения человеком, составляет всего 3% от наблюдаемой Вселенной
Расширение Вселенной – обязательное следствие наличия материи и энергии, заполняющей пространство-время, подчиняющееся ОТО. Пока есть материя, есть гравитационное притяжение, поэтому либо гравитация выигрывает и всё сжимается, либо гравитация проигрывает и выигрывает расширение. Нет никакого центра расширения, нет ничего за пределами пространства, куда расширялась бы Вселенная; расширение испытывает сама ткань Вселенной, везде и постоянно. И что самое обидное, даже если бы мы сегодня покинули Землю и отправились бы в путь со скоростью света, нам оказались бы доступными лишь 3% галактик из всей наблюдаемой Вселенной; 97% из них уже за пределами наших возможностей. Вселенная может быть сложным местом, но, по крайней мере, теперь вы знаете ответы на пять из наиболее часто запутывающих всех вопросов!
Автор: Вячеслав Голованов
